LEY DEL IMPUESTO SOBRE LA RENTA
Nueva Ley publicada en el Diario Oficial de la Federación el 11 de
diciembre de 2013
TEXTO VIGENTE
Última reforma publicada DOF
23-04-2021
|
Notas de vigencia: 1.
La
reforma a las fracciones XI, XVII, XIX y XX del artículo 79, publicada en el DOF 08-12-2020, entrará en vigor el 1 de julio de 2021. 2.
Las adiciones de un tercer párrafo a la
fracción V del artículo 27 y la fracción XXXIII al artículo 28, publicadas en
el DOF 23-04-2021, entrarán en
vigor el 1 de agosto de 2021. |
Al margen un sello con el Escudo Nacional, que dice:
Estados Unidos Mexicanos.- Presidencia de la República.
ENRIQUE
PEÑA NIETO, Presidente de los
Estados Unidos Mexicanos, a sus habitantes sabed:
Que el Honorable Congreso de la Unión, se ha servido
dirigirme el siguiente
DECRETO
"EL CONGRESO GENERAL DE LOS ESTADOS UNIDOS
MEXICANOS, D E C R E T A :
SE
REFORMAN, ADICIONAN Y DEROGAN DIVERSAS DISPOSICIONES DE LA LEY DEL IMPUESTO AL
VALOR AGREGADO; DE LA LEY DEL IMPUESTO ESPECIAL SOBRE PRODUCCIÓN Y SERVICIOS;
DE LA LEY FEDERAL DE DERECHOS, SE EXPIDE LA LEY DEL IMPUESTO SOBRE LA RENTA, Y
SE ABROGAN LA LEY DEL IMPUESTO EMPRESARIAL A TASA ÚNICA, Y LA LEY DEL IMPUESTO
A LOS DEPÓSITOS EN EFECTIVO
ARTÍCULOS
PRIMERO A SEXTO. ……….
ARTÍCULO
SÉPTIMO. Se expide la Ley del
Impuesto sobre la Renta:
LEY DEL IMPUESTO SOBRE
LA RENTA
TÍTULO I
DISPOSICIONES GENERALES
Artículo
1.
Las personas físicas y las morales están obligadas al pago del impuesto sobre
la renta en los siguientes casos:
I. Las
residentes en México, respecto de todos sus ingresos, cualquiera que sea la
ubicación de la fuente de riqueza de donde procedan.
II. Los
residentes en el extranjero que tengan un establecimiento permanente en el
país, respecto de los ingresos atribuibles a dicho establecimiento permanente.
III. Los
residentes en el extranjero, respecto de los ingresos procedentes de fuentes de
riqueza situadas en territorio nacional, cuando no tengan un establecimiento
permanente en el país, o cuando teniéndolo, dichos ingresos no sean atribuibles
a éste.
Artículo
2.
Para los efectos de esta Ley, se considera establecimiento permanente cualquier
lugar de negocios en el que se desarrollen, parcial o totalmente, actividades
empresariales o se presten servicios personales independientes. Se entenderá
como establecimiento permanente, entre otros, las sucursales, agencias,
oficinas, fábricas, talleres, instalaciones, minas, canteras o cualquier lugar
de exploración, extracción o explotación de recursos naturales.
No obstante lo dispuesto en el párrafo
anterior, cuando un residente en el extranjero actúe en el país a través de una
persona física o moral, distinta de un agente independiente, se considerará que
el residente en el extranjero tiene un establecimiento permanente en el país,
en relación con todas las actividades que dicha persona física o moral realice
para el residente en el extranjero, aun cuando no tenga en territorio nacional
un lugar de negocios, si dicha persona concluye habitualmente contratos o
desempeña habitualmente el rol principal que lleve a la conclusión de contratos
celebrados por el residente en el extranjero y estos:
I. Se celebran a nombre o por cuenta del
mismo;
II. Prevén la enajenación de los derechos de
propiedad, o el otorgamiento del uso o goce temporal de un bien que posea el
residente en el extranjero o sobre el cual tenga el derecho del uso o goce
temporal, u
III. Obligan al residente en el extranjero a prestar un
servicio.
Párrafo con fracciones reformado DOF 09-12-2019
Para efectos del párrafo anterior, no se considerará
que existe un establecimiento permanente en territorio nacional cuando las
actividades realizadas por dichas personas físicas o morales sean las mencionadas en el artículo 3
de esta Ley.
Párrafo adicionado DOF 09-12-2019
En caso de que un residente en el extranjero realice
actividades empresariales en el país, a través de un fideicomiso, se
considerará como lugar de negocios de dicho residente, el lugar en que el
fiduciario realice tales actividades y cumpla por cuenta del residente en el
extranjero con las obligaciones fiscales derivadas de estas actividades.
Se considerará que existe establecimiento permanente
de una empresa aseguradora residente en el extranjero, cuando ésta perciba
ingresos por el cobro de primas dentro del territorio nacional u otorgue
seguros contra riesgos situados en él, por medio de una persona distinta de un
agente independiente, excepto en el caso del reaseguro.
De igual forma, se
considerará que un residente en el extranjero tiene un establecimiento
permanente en el país, cuando actúe en el territorio nacional a través de una
persona física o moral que sea un agente independiente, si éste no actúa en el
marco ordinario de su actividad. Para estos efectos, se considera que un agente
independiente no actúa en el marco ordinario de sus actividades, entre otros,
cuando se ubique en cualquiera de los siguientes supuestos:
Párrafo reformado DOF 09-12-2019
I. Tenga
existencias de bienes o mercancías, con las que efectúe entregas por cuenta del
residente en el extranjero.
II. Asuma
riesgos del residente en el extranjero.
III. Actúe
sujeto a instrucciones detalladas o al control general del residente en el
extranjero.
IV. Ejerza
actividades que económicamente corresponden al residente en el extranjero y no
a sus propias actividades.
V. Perciba
sus remuneraciones independientemente del resultado de sus actividades.
VI. Efectúe
operaciones con el residente en el extranjero utilizando precios o montos de
contraprestaciones distintos de los que hubieran usado partes no relacionadas
en operaciones comparables.
Se presume que una persona física o moral no es un
agente independiente, cuando actúe exclusiva o casi exclusivamente por cuenta
de residentes en el extranjero que sean sus partes relacionadas.
Párrafo adicionado DOF 09-12-2019
Tratándose de servicios de construcción de obra,
demolición, instalación, mantenimiento o montaje en bienes inmuebles, o por
actividades de proyección, inspección o supervisión relacionadas con ellos, se
considerará que existe establecimiento permanente solamente cuando los mismos
tengan una duración de más de 183 días naturales, consecutivos o no, en un
periodo de doce meses.
Para los efectos del párrafo anterior, cuando el
residente en el extranjero subcontrate con otras empresas los servicios relacionados
con construcción de obras, demolición, instalaciones, mantenimiento o montajes
en bienes inmuebles, o por actividades de proyección, inspección o supervisión
relacionadas con ellos, los días utilizados por los subcontratistas en el
desarrollo de estas actividades se adicionarán, en su caso, para el cómputo del
plazo mencionado.
Se considerarán ingresos atribuibles a un
establecimiento permanente en el país, los provenientes de la actividad
empresarial que desarrolle o los ingresos por honorarios y, en general, por la
prestación de un servicio personal independiente, así como los que deriven de
enajenaciones de mercancías o de bienes inmuebles en territorio nacional,
efectuados por la oficina central de la persona, por otro establecimiento de
ésta o directamente por el residente en el extranjero, según sea el caso. Sobre
dichos ingresos se deberá pagar el impuesto en los términos de los Títulos II o
IV de esta Ley, según corresponda.
También se consideran ingresos atribuibles a un
establecimiento permanente en el país, los que obtenga la oficina central de la
sociedad o cualquiera de sus establecimientos en el extranjero, en la
proporción en que dicho establecimiento permanente haya participado en las
erogaciones incurridas para su obtención.
Artículo
3. No
se considerará que constituye establecimiento permanente un lugar de negocios
cuyo único fin sea la realización de actividades de carácter preparatorio o
auxiliar respecto a la actividad empresarial del residente en el extranjero. Se
considera que no se constituye un establecimiento permanente cuando se realicen
las siguientes actividades, siempre que tengan el carácter de preparatorio o
auxiliar:
Párrafo reformado DOF 09-12-2019
I. La
utilización o el mantenimiento de instalaciones con el único fin de almacenar o
exhibir bienes o mercancías pertenecientes al residente en el extranjero.
II. La
conservación de existencias de bienes o de mercancías pertenecientes al
residente en el extranjero con el único fin de almacenar o exhibir dichos
bienes o mercancías o de que sean transformados por otra persona.
III. La
utilización de un lugar de negocios con el único fin de comprar bienes o
mercancías para el residente en el extranjero.
IV. La
utilización de un lugar de negocios con el único fin de desarrollar actividades
de propaganda, de suministro de información, de investigación científica, de
preparación para la colocación de préstamos, o de otras actividades similares.
Fracción reformada DOF 09-12-2019
V. El
depósito fiscal de bienes o de mercancías de un residente en el extranjero en
un almacén general de depósito ni la entrega de los mismos para su importación
al país.
El párrafo anterior no será aplicable cuando el
residente en el extranjero realice funciones en uno o más lugares de negocios
en territorio nacional que sean complementarias como parte de una operación de
negocios cohesiva, a las que realice un establecimiento permanente que tenga en
territorio nacional, o a las que realice en uno o más lugares de negocios en
territorio nacional una parte relacionada que sea residente en México o
residente en el extranjero con establecimiento permanente en el país. Tampoco
será aplicable el párrafo anterior cuando el residente en el extranjero o una
parte relacionada, tenga en territorio nacional algún lugar de negocios en
donde se desarrollen funciones complementarias que sean parte de una operación
de negocios cohesiva, pero cuya combinación de actividades dé como resultado
que no tengan el carácter preparatorio o auxiliar.
Párrafo adicionado DOF 09-12-2019
Lo dispuesto en este artículo también será aplicable
en el caso de actividades realizadas a través de una persona física o moral,
distinta de un agente independiente.
Párrafo adicionado DOF 09-12-2019
Artículo
4.
Los beneficios de los tratados para evitar la doble tributación sólo serán
aplicables a los contribuyentes que acrediten ser residentes en el país de que
se trate y cumplan con las disposiciones del propio tratado y de las demás
disposiciones de procedimiento contenidas en esta Ley, incluyendo la de
presentar la declaración informativa sobre su situación fiscal en los términos
del artículo 32-H del Código Fiscal de la Federación o bien, la de presentar el
dictamen de estados financieros cuando se haya ejercido la opción a que se
refiere el artículo 32-A del citado Código, y de designar representante legal.
Además de lo previsto en el párrafo anterior,
tratándose de operaciones entre partes relacionadas, las autoridades fiscales
podrán solicitar al contribuyente residente en el extranjero que acredite la
existencia de una doble tributación jurídica, a través de una manifestación
bajo protesta de decir verdad firmada por su representante legal, en la que
expresamente señale que los ingresos sujetos a imposición en México y respecto
de los cuales se pretendan aplicar los beneficios del tratado para evitar la
doble tributación, también se encuentran gravados en su país de residencia,
para lo cual deberá indicar las disposiciones jurídicas aplicables, así como
aquella documentación que el contribuyente considere necesaria para tales
efectos.
En los casos en que los tratados para evitar la doble
tributación establezcan tasas de retención inferiores a las señaladas en esta
Ley, las tasas establecidas en dichos tratados se podrán aplicar directamente
por el retenedor; en el caso de que el retenedor aplique tasas mayores a las
señaladas en los tratados, el residente en el extranjero tendrá derecho a
solicitar la devolución por la diferencia que corresponda.
Las constancias que expidan las autoridades
extranjeras para acreditar la residencia surtirán efectos sin necesidad de
legalización y solamente será necesario exhibir traducción autorizada cuando
las autoridades fiscales así lo requieran.
Artículo 4-A. Para efectos de esta Ley, las entidades extranjeras
transparentes fiscales y las figuras jurídicas extranjeras sin importar que la
totalidad o parte de sus miembros, socios, accionistas o beneficiarios acumulen
los ingresos en su país o jurisdicción de residencia, tributarán como personas
morales y estarán obligadas al pago del impuesto sobre la renta de conformidad
con el Título II, III, V o VI de esta Ley, en caso que les sea aplicable. Para
efectos de lo anterior, cuando actualicen lo dispuesto por la fracción II del
artículo 9 del Código Fiscal de la Federación se considerarán residentes en
México.
Se consideran entidades extranjeras, las sociedades y
demás entes creados o constituidos conforme al derecho extranjero, a condición
de que tengan personalidad jurídica propia, así como las personas morales
constituidas conforme a derecho mexicano que sean residentes en el extranjero,
y se consideran figuras jurídicas extranjeras, los fideicomisos, las
asociaciones, los fondos de inversión y cualquier otra figura jurídica similar
del derecho extranjero, siempre que no tengan personalidad jurídica propia.
Se considera que las entidades extranjeras y las
figuras jurídicas extranjeras son transparentes fiscales, cuando no sean
residentes fiscales para efectos del impuesto sobre la renta, en el país o
jurisdicción donde estén constituidas ni donde tengan su administración
principal de negocios o sede de dirección efectiva, y sus ingresos sean
atribuidos a sus miembros, socios, accionistas o beneficiarios. Cuando se
consideren residentes fiscales en México, dejarán de considerarse transparentes
fiscales para efectos de esta Ley.
Lo dispuesto en este artículo no será aplicable a los
tratados para evitar la doble imposición, en cuyo caso, serán aplicables las
disposiciones contenidas en los mismos.
Artículo adicionado DOF 09-12-2019
Artículo 4-B. Los residentes en México y los residentes en el
extranjero con establecimiento permanente en el país por los ingresos
atribuibles al mismo, están obligados a pagar el impuesto de conformidad con
esta Ley, por los ingresos que obtengan a través de entidades extranjeras
transparentes fiscales en la proporción que les corresponda por su
participación en ellas. En los casos que la entidad extranjera sea parcialmente
transparente, los contribuyentes sólo acumularán el ingreso que se les
atribuya. Para determinar el monto de los ingresos señalados en este párrafo,
se considerará la utilidad fiscal del año de calendario de la entidad
extranjera calculada en los términos del Título II de esta Ley.
Los residentes en México y los residentes en el
extranjero con establecimiento permanente en el país por los ingresos
atribuibles al mismo, también se encuentran obligados a pagar el impuesto de
conformidad con esta Ley, por los ingresos que obtengan a través de figuras
jurídicas extranjeras en la proporción que les corresponda, sin importar su
tratamiento fiscal en el extranjero. En caso que las figuras jurídicas
extranjeras sean transparentes fiscales, los ingresos se acumularán en los
términos del Título de esta Ley que le corresponda al contribuyente y serán
gravables en el mismo año de calendario en que se generen. En estos casos, los
contribuyentes podrán efectuar la deducción por los gastos e inversiones que
realizó la figura jurídica siempre que sean deducibles de conformidad con el
Título de esta Ley que les corresponda, siempre que se realice en la misma
proporción que acumularon los ingresos y se cumpla con las reglas de carácter
general que emita el Servicio de Administración Tributaria.
En caso que las figuras jurídicas extranjeras sean
consideradas residentes fiscales en un país o jurisdicción en el extranjero o
en México, el monto de los ingresos será la utilidad fiscal del año de
calendario de dicha figura jurídica calculada en los términos del Título II de
esta Ley y se deberán de acumular por el contribuyente al 31 de diciembre del
año de calendario que se generaron.
Lo dispuesto en este artículo sólo será aplicable
cuando el residente en México tenga una participación directa sobre la entidad
extranjera transparente fiscal o figura jurídica extranjera, o cuando tengan
una participación indirecta que involucre otras entidades extranjeras
transparentes fiscales o figuras jurídicas extranjeras. En caso que su
participación indirecta involucre por lo menos una entidad extranjera que no
sea transparente fiscal, los ingresos que se obtengan a través de la entidad
extranjera transparente fiscal o la figura jurídica extranjera sobre la cual
tiene participación la entidad extranjera que no sea transparente fiscal,
estarán sujetos a lo dispuesto por el Capítulo I del Título VI de esta Ley en
caso de ser aplicable.
Los ingresos obtenidos de conformidad con este
artículo se considerarán generados directamente por el contribuyente. Los
impuestos pagados por o a través de entidades extranjeras transparentes o
figuras jurídicas extranjeras a las que se refiere este artículo, se
considerarán pagados directamente por el contribuyente, en la misma proporción
en que hayan acumulado el ingreso de dicha entidad o figura.
Si los ingresos de la entidad extranjera transparente
fiscal o figura jurídica extranjera están sujetos a un impuesto establecido en
esta Ley y éste ha sido efectivamente pagado, el mismo podrá ser acreditado por
el contribuyente en los términos del artículo 5 de esta Ley y demás
disposiciones fiscales aplicables. En estos casos, el mismo será acreditable en
su totalidad considerando la misma proporción en que se haya acumulado el
ingreso de dicha entidad o figura.
Los contribuyentes señalados en este artículo deberán
llevar una cuenta por cada una de las entidades extranjeras transparentes
fiscales y figuras jurídicas extranjeras en los mismos términos del artículo
177 de esta Ley, para efectos de no duplicar la acumulación del ingreso cuando
dicha entidad distribuya efectivamente un dividendo o utilidad, o cuando la
figura jurídica entregue dichos ingresos o los ponga a disposición del
contribuyente.
Se considera que las entidades extranjeras son
parcialmente transparentes, cuando la legislación fiscal extranjera de que se
trate atribuya una parte de sus ingresos a sus socios o accionistas, mientras
que la parte restante se atribuya a dicha entidad.
Lo dispuesto en los párrafos anteriores será aplicable
aun cuando la entidad extranjera transparente fiscal o figura jurídica extranjera
no distribuya o entregue los ingresos regulados por este artículo. Para
determinar la proporción de los ingresos que le corresponda a los
contribuyentes, sobre las entidades extranjeras transparentes fiscales y las
figuras jurídicas extranjeras, se considerará lo dispuesto por los párrafos
cuarto y quinto del artículo 177 de esta Ley sin importar que las personas
obligadas de conformidad con este artículo no tengan control sobre dichas
entidades o figuras.
Adicionalmente, la contabilidad de la entidad
extranjera transparente fiscal o figura jurídica extranjera, o la documentación
que permita comprobar sus gastos e inversiones, deberá estar a disposición de
las autoridades fiscales. En caso de no cumplir con esta obligación, no se
permitirá la deducción de los gastos e inversiones realizados por dicha entidad
o figura jurídica.
Artículo adicionado DOF 09-12-2019
Artículo
5.
Los residentes en México podrán acreditar, contra el impuesto que conforme a
esta Ley les corresponda pagar, el impuesto sobre la renta que hayan pagado en
el extranjero por los ingresos procedentes de fuente ubicada en el extranjero,
siempre que se trate de ingresos por los que se esté obligado al pago del
impuesto en los términos de la presente Ley. El acreditamiento
a que se refiere este párrafo sólo procederá siempre que el ingreso acumulado,
percibido o devengado, incluya el impuesto sobre la renta pagado en el
extranjero.
Tratándose de ingresos por dividendos o utilidades
distribuidos por sociedades residentes en el extranjero a personas morales
residentes en México, también se podrá acreditar el monto proporcional del impuesto sobre la renta pagado por
dichas sociedades que corresponda al dividendo o utilidad percibido por el
residente en México. Quien efectúe el acreditamiento
a que se refiere este párrafo considerará como ingreso acumulable, además del
dividendo o utilidad percibido, sin disminuir la retención o pago del impuesto
sobre la renta que en su caso se haya efectuado por su distribución, el monto
proporcional del impuesto sobre la renta corporativo pagado por la sociedad,
correspondiente al dividendo o utilidad percibido por el residente en México,
aun cuando el acreditamiento del monto proporcional
del impuesto se limite en términos del párrafo séptimo de este artículo. El acreditamiento a que se refiere este párrafo sólo procederá
cuando la persona moral residente en México sea propietaria de cuando menos el
diez por ciento del capital social de la sociedad residente en el extranjero,
al menos durante los seis meses anteriores a la fecha en que se pague el
dividendo o utilidad de que se trate.
Para los efectos del párrafo anterior, el monto
proporcional del impuesto sobre la renta pagado en el extranjero por la
sociedad residente en otro país correspondiente al dividendo o utilidad
percibido por la persona moral residente en México, se obtendrá aplicando la
siguiente fórmula:
![]()
Donde:
MPI: Monto proporcional del impuesto sobre la
renta pagado en el extranjero por la sociedad residente en el extranjero en
primer nivel corporativo que distribuye dividendos o utilidades de manera
directa a la persona moral residente en México.
D: Dividendo o utilidad distribuido por la
sociedad residente en el extranjero a la persona moral residente en México sin
disminuir la retención o pago del impuesto sobre la renta que en su caso se
haya efectuado por su distribución.
U: Utilidad que sirvió de base para repartir
los dividendos, después del pago del impuesto sobre la renta en primer nivel
corporativo, obtenida por la sociedad residente en el extranjero que distribuye
dividendos a la persona moral residente en México.
IC: Impuesto sobre la renta corporativo pagado
en el extranjero por la sociedad residente en el extranjero que distribuyó
dividendos a la persona moral residente en México.
Adicionalmente a lo previsto en los párrafos
anteriores, se podrá acreditar el monto proporcional del impuesto sobre la renta pagado por la sociedad residente en el
extranjero que distribuya dividendos a otra sociedad residente en el extranjero,
si esta última, a su vez, distribuye dichos dividendos a la persona moral
residente en México. Quien efectúe el acreditamiento
conforme a este párrafo, deberá considerar como ingreso acumulable, además del
dividendo o utilidad percibido en forma directa por la persona moral residente
en México, sin disminuir la retención o pago del impuesto sobre la renta que en
su caso se haya efectuado por su distribución, el monto proporcional del
impuesto sobre la renta corporativo que corresponda al dividendo o utilidad
percibido en forma indirecta por el que se vaya a efectuar el acreditamiento, aun cuando el acreditamiento
del monto proporcional del impuesto se limite en términos del párrafo séptimo
de este artículo. Este monto proporcional del impuesto sobre la renta pagado en
un segundo nivel corporativo se determinará de conformidad con la siguiente
fórmula:
![]()
Donde:
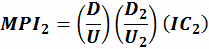
MPI2:
Monto proporcional del impuesto sobre la
renta pagado en el extranjero por la sociedad residente en el extranjero en
segundo nivel corporativo, que distribuye dividendos o utilidades a la otra
sociedad extranjera en primer nivel corporativo, que a su vez distribuye
dividendos o utilidades a la persona moral residente en México.
D: Dividendo o utilidad distribuido por la
sociedad residente en el extranjero a la persona moral residente en México sin
disminuir la retención o pago del impuesto sobre la renta que en su caso se
haya efectuado por su distribución.
U: Utilidad que sirvió de base para repartir
los dividendos, después del pago del impuesto sobre la renta en primer nivel
corporativo, obtenida por la sociedad residente en el extranjero que distribuye
dividendos a la persona moral residente en México.
D2:
Dividendo o utilidad distribuida por
la sociedad residente en el extranjero a la sociedad residente en el extranjero
que distribuye dividendos a la persona moral residente en México, sin disminuir
la retención o pago del impuesto sobre la renta que en su caso se haya
efectuado por la primera distribución.
U2:
Utilidad que sirvió de base para
repartir los dividendos después del pago del impuesto sobre la renta en segundo
nivel corporativo, obtenida por la sociedad residente en el extranjero que
distribuye dividendos a la otra sociedad residente en el extranjero que
distribuye dividendos a la persona moral residente en México.
IC2: Impuesto sobre la renta corporativo pagado
en el extranjero por la sociedad residente en el extranjero que distribuyó
dividendos a la otra sociedad residente en el extranjero que distribuye
dividendos a la persona moral residente en México.
El acreditamiento a que se
refiere el párrafo anterior, sólo procederá siempre que la sociedad residente
en el extranjero que haya pagado el impuesto sobre la renta que se pretende
acreditar se encuentre en un segundo nivel corporativo. Para efectuar dicho acreditamiento la persona moral residente en México deberá
tener una participación directa en el capital social de la sociedad residente
en el extranjero que le distribuye dividendos de cuando menos un diez por
ciento. Esta última sociedad deberá ser propietaria de cuando menos el diez por
ciento del capital social de la sociedad residente en el extranjero en la que
el residente en México tenga participación indirecta, debiendo ser esta última
participación de cuando menos el cinco por ciento de su capital social. Los
porcentajes de tenencia accionaria señalados en este párrafo, deberán haberse
mantenido al menos durante los seis meses anteriores a la fecha en que se pague
el dividendo o utilidad de que se trate. Adicionalmente, para efectuar el acreditamiento referido en el párrafo anterior, la sociedad
residente en el extranjero en la que la persona moral residente en México tenga
participación indirecta, deberá ser residente en un país con el que México
tenga un acuerdo amplio de intercambio de información.
Tratándose de personas morales, el monto del impuesto
acreditable a que se refiere el primer párrafo de este artículo no excederá de
la cantidad que resulte de aplicar la tasa a que se refiere el artículo 9 de
esta Ley, a la utilidad fiscal que resulte conforme a las disposiciones
aplicables de la presente Ley por los ingresos percibidos en el ejercicio de
fuente de riqueza ubicada en el extranjero. Para estos efectos, las deducciones
que sean atribuibles exclusivamente a los ingresos de fuente de riqueza ubicada
en el extranjero se considerarán al cien por ciento; las deducciones que sean
atribuibles exclusivamente a los ingresos de fuente de riqueza ubicada en
territorio nacional no deberán ser consideradas y, las deducciones que sean
atribuibles parcialmente a ingresos de fuente de riqueza en territorio nacional
y parcialmente a ingresos de fuente de riqueza en el extranjero, se
considerarán en la misma proporción que represente el ingreso proveniente del
extranjero de que se trate, respecto del ingreso total del contribuyente en el
ejercicio. El cálculo del límite de acreditamiento a
que se refiere este párrafo se realizará por cada país o territorio de que se
trate.
Adicionalmente, tratándose de personas morales, la
suma de los montos proporcionales de los impuestos pagados en el extranjero que
se tiene derecho a acreditar conforme al segundo y cuarto párrafos de este
artículo, no excederá del límite de acreditamiento.
El límite de acreditamiento se determinará aplicando
la siguiente fórmula:
![]()
Donde:
LA: Límite de acreditamiento
por los impuestos sobre la renta corporativos pagados en el extranjero en
primer y segundo nivel corporativo.
D: Dividendo o utilidad distribuido por la
sociedad residente en el extranjero a la persona moral residente en México sin
disminuir la retención o pago del impuesto sobre la renta que en su caso se
haya efectuado por su distribución.
MPI: Monto proporcional del impuesto sobre la renta
corporativo pagado en el extranjero a que se refiere el tercer párrafo de este
artículo.
MPI2:
Monto proporcional del impuesto sobre la
renta corporativo pagado en el extranjero a que se refiere el cuarto párrafo de
este artículo.
T: Tasa a que se refiere el artículo 9 de
esta Ley.
ID: Impuesto acreditable a que se refiere el
primer y sexto párrafos de este artículo que corresponda al dividendo o
utilidad percibido por la persona moral residente en México.
Cuando la persona moral que en los términos de los
párrafos anteriores tenga derecho a
acreditar el impuesto sobre la renta pagado en el extranjero se escinda, el
derecho al acreditamiento le corresponderá
exclusivamente a la sociedad escindente. Cuando esta última desaparezca lo
podrá transmitir a las sociedades escindidas en la proporción en que se divida
el capital social con motivo de la escisión.
En el caso de las personas físicas, el monto del
impuesto acreditable a que se refiere el primer párrafo de este artículo, no
excederá de la cantidad que resulte de aplicar lo previsto en el Capítulo XI
del Título IV de esta Ley a los ingresos percibidos en el ejercicio de fuente
de riqueza ubicada en el extranjero, una vez efectuadas las deducciones
autorizadas para dichos ingresos de conformidad con el capítulo que corresponda
del Título IV antes citado. Para estos efectos, las deducciones que no sean
atribuibles exclusivamente a los ingresos de fuente de riqueza ubicada en el
extranjero deberán ser consideradas en la proporción antes mencionada.
En el caso de las personas físicas que determinen el
impuesto correspondiente a sus ingresos por actividades empresariales en los
términos del Capítulo II del Título IV de esta Ley, el monto del impuesto
acreditable a que se refiere el primer párrafo de este artículo no excederá de
la cantidad que resulte de aplicar al total de los ingresos del extranjero la
tarifa establecida en el artículo 152 de esta Ley. Para estos efectos, las
deducciones que no sean atribuibles exclusivamente a los ingresos de fuente de
riqueza ubicada en el extranjero deberán ser consideradas en la proporción
antes mencionada. Para fines de este párrafo y del anterior, el cálculo de los
límites de acreditamiento se realizará por cada país
o territorio de que se trate.
Las personas físicas residentes en México que estén
sujetas al pago del impuesto en el extranjero en virtud de su nacionalidad o
ciudadanía, podrán efectuar el acreditamiento a que
se refiere este artículo hasta por una cantidad equivalente al impuesto que
hubieran pagado en el extranjero de no haber tenido dicha condición.
Cuando el impuesto acreditable se encuentre dentro de
los límites a que se refieren los párrafos que anteceden y no pueda acreditarse
total o parcialmente, el acreditamiento podrá
efectuarse en los diez ejercicios siguientes, hasta agotarlo. Para los efectos
de este acreditamiento, se aplicarán, en lo
conducente, las disposiciones sobre pérdidas del Capítulo V del Título II de
esta Ley.
La parte del impuesto pagado en el extranjero que no
sea acreditable de conformidad con este artículo, no será deducible para
efectos de la presente Ley.
Para determinar el monto del impuesto pagado en el
extranjero que pueda acreditarse en los términos del segundo y cuarto párrafos
de este artículo, se deberá efectuar la conversión cambiaria respectiva,
considerando el último tipo de
cambio publicado en el Diario Oficial de la Federación, con anterioridad al
último día del ejercicio al que corresponda la utilidad con cargo a la cual se
pague el dividendo o utilidad percibido por el residente en México. En los demás
casos a que se refiere este artículo, para efectos de determinar el monto del
impuesto pagado en el extranjero que pueda acreditarse, la conversión cambiaria
se efectuará considerando el promedio mensual de los tipos de cambio diarios
publicados en el Diario Oficial de la Federación en el mes de calendario en el
que se pague el impuesto en el extranjero mediante retención o entero.
Los contribuyentes que hayan pagado en el extranjero
el impuesto sobre la renta en un monto que exceda al previsto en el tratado
para evitar la doble tributación que, en su caso, sea aplicable al ingreso de
que se trate, sólo podrán acreditar el excedente en los términos de este
artículo una vez agotado el procedimiento de resolución de controversias
contenido en ese mismo tratado.
No se tendrá derecho al acreditamiento
del impuesto pagado en el extranjero, cuando su retención o pago esté
condicionado a su acreditamiento en los términos de
esta Ley.
Los contribuyentes deberán contar con la documentación
comprobatoria del pago del impuesto en todos los casos. Cuando se trate de
impuestos retenidos en países con los que México tenga celebrados acuerdos
amplios de intercambio de información, bastará con una constancia de retención.
Las personas morales residentes en México que obtengan
ingresos por dividendos o utilidades distribuidos por sociedades residentes en
el extranjero, deberán calcular los montos proporcionales de los impuestos y el
límite a que se refiere el párrafo séptimo de este artículo, por cada ejercicio
fiscal del cual provengan los dividendos distribuidos. Para efectos de lo
anterior, las personas morales residentes en México estarán obligadas a llevar
un registro que permita identificar el ejercicio al cual corresponden los
dividendos o utilidades distribuidas por la sociedad residente en el
extranjero. En el caso de que la persona moral residente en México no tenga
elementos para identificar el ejercicio fiscal al que correspondan los
dividendos o utilidades distribuidas, en el registro a que se refiere este párrafo
se considerará que las primeras utilidades generadas por dicha sociedad son las
primeras que se distribuyen. Los contribuyentes deberán mantener toda la
documentación que compruebe la información señalada en el registro a que se
refiere este párrafo. Los residentes en México que no mantengan el registro o
la documentación mencionados, o que no realicen el cálculo de la manera
señalada anteriormente, no tendrán derecho a acreditar el impuesto al que se
refieren los párrafos segundo y cuarto de este artículo. El registro mencionado
en este párrafo deberá llevarse a partir de la adquisición de la tenencia
accionaria, pero deberá contener la información relativa a las utilidades
respecto de las cuales se distribuyan dividendos o utilidades, aunque correspondan
a ejercicios anteriores.
Cuando un residente en el extranjero tenga un
establecimiento permanente en México y sean atribuibles a dicho establecimiento
ingresos de fuente ubicada en el extranjero, se podrá efectuar el acreditamiento en los términos señalados en este artículo,
únicamente por aquellos ingresos atribuibles que hayan sido sujetos a
retención.
Se considerará que un impuesto pagado en el extranjero
tiene la naturaleza de un impuesto sobre la renta cuando cumpla con lo
establecido en las reglas generales que expida el Servicio de Administración
Tributaria. Se considerará que un impuesto pagado en el extranjero tiene
naturaleza de impuesto sobre la renta cuando se encuentre expresamente señalado
como un impuesto comprendido en un tratado para evitar la doble imposición en
vigor de los que México sea parte.
No se otorgará el acreditamiento
previsto en el primer párrafo de este artículo, cuando el impuesto también haya
sido acreditado en otro país o jurisdicción por motivo distinto de un acreditamiento similar al señalado en los párrafos segundo
y cuarto de este artículo, salvo que el ingreso por el cual se pagó dicho
impuesto también se haya acumulado en el otro país o jurisdicción donde se haya
acreditado el mismo. No se otorgará el acreditamiento
previsto en los párrafos segundo y cuarto de este artículo, cuando el dividendo
o utilidad distribuida represente una deducción o una reducción equivalente
para la persona moral residente en el extranjero que realiza dicho pago o
distribución.
Párrafo adicionado DOF 09-12-2019
Artículo
6.
Cuando esta Ley prevenga el ajuste o la actualización de los valores de bienes
o de operaciones, que por el transcurso del tiempo y con motivo de los cambios
de precios en el país han variado, se estará a lo siguiente:
I. Para
calcular la modificación en el valor de los bienes o de las operaciones, en un
periodo, se utilizará el factor de ajuste que corresponda conforme a lo
siguiente:
a) Cuando el
periodo sea de un mes, se utilizará el factor de ajuste mensual que se obtendrá
restando la unidad del cociente que resulte de dividir el Índice Nacional de
Precios al Consumidor del mes de que se trate, entre el mencionado índice del
mes inmediato anterior.
b) Cuando el
periodo sea mayor de un mes se utilizará el factor de ajuste que se obtendrá
restando la unidad del cociente que resulte de dividir el Índice Nacional de
Precios al Consumidor del mes más reciente del periodo, entre el citado índice
correspondiente al mes más antiguo de dicho periodo.
II. Para
determinar el valor de un bien o de una operación al término de un periodo, se
utilizará el factor de actualización que se obtendrá dividiendo el Índice
Nacional de Precios al Consumidor del mes más reciente del periodo, entre el
citado índice correspondiente al mes más antiguo de dicho periodo.
Artículo
7.
Cuando en esta Ley se haga mención a persona moral, se entienden comprendidas,
entre otras, las sociedades mercantiles, los organismos descentralizados que
realicen preponderantemente actividades empresariales, las instituciones de
crédito, las sociedades y asociaciones civiles y la asociación en participación
cuando a través de ella se realicen actividades empresariales en México.
En los casos en los que se haga referencia a acciones,
se entenderán incluidos los certificados de aportación patrimonial emitidos por
las sociedades nacionales de crédito, las partes sociales, las participaciones
en asociaciones civiles y los certificados de participación ordinarios emitidos
con base en fideicomisos sobre acciones que sean autorizados conforme a la
legislación aplicable en materia de inversión extranjera. Cuando se haga
referencia a accionistas, quedarán comprendidos los titulares de los
certificados a que se refiere este párrafo, de las partes sociales y de las
participaciones señaladas. Tratándose de sociedades cuyo capital esté
representado por partes sociales, cuando en esta Ley se haga referencia al
costo comprobado de adquisición de acciones, se deberá considerar la parte
alícuota que representen las partes sociales en el capital social de la
sociedad de que se trate.
El sistema financiero, para los efectos de esta Ley,
se compone por el Banco de México, las instituciones de crédito, de seguros y
de fianzas, sociedades controladoras de grupos financieros, almacenes generales
de depósito, administradoras de fondos para el retiro, arrendadoras
financieras, uniones de crédito, sociedades financieras populares, fondos de
inversión de renta variable, fondos de inversión en instrumentos de deuda,
empresas de factoraje financiero, casas de bolsa, y casas de cambio, que sean
residentes en México o en el extranjero. Se considerarán integrantes del
sistema financiero a las sociedades financieras de objeto múltiple a las que se
refiere la Ley General de Organizaciones y Actividades Auxiliares del Crédito
que tengan cuentas y documentos por cobrar derivados de las actividades que
deben constituir su objeto social principal, conforme a lo dispuesto en dicha
Ley, que representen al menos el 70% de sus activos totales, o bien, que tengan
ingresos derivados de dichas actividades y de la enajenación o administración
de los créditos otorgados por ellas, que representen al menos el 70% de sus
ingresos totales. Para los efectos de la determinación del porcentaje del 70%,
no se considerarán los activos o ingresos que deriven de la enajenación a
crédito de bienes o servicios de las propias sociedades, de las enajenaciones
que se efectúen con cargo a tarjetas de crédito o financiamientos otorgados por
terceros.
Párrafo reformado DOF 18-11-2015
Tratándose de sociedades de objeto múltiple de nueva
creación, el Servicio de Administración Tributaria mediante resolución
particular en la que se considere el programa de cumplimiento que al efecto
presente el contribuyente podrá establecer para los tres primeros ejercicios de
dichas sociedades, un porcentaje menor al señalado en el párrafo anterior, para
ser consideradas como integrantes del sistema financiero para los efectos de
esta Ley.
Para los efectos de esta ley, se considera previsión
social las erogaciones efectuadas que tengan por objeto satisfacer
contingencias o necesidades presentes o futuras, así como el otorgar beneficios
a favor de los trabajadores o de los socios o miembros de las sociedades
cooperativas, tendientes a su superación física, social, económica o cultural,
que les permitan el mejoramiento en su calidad de vida y en la de su familia.
En ningún caso se considerará previsión social a las erogaciones efectuadas a
favor de personas que no tengan el carácter de trabajadores o de socios o
miembros de sociedades cooperativas.
Para los efectos de esta Ley, se consideran
depositarios de valores a las instituciones de crédito, a las sociedades
operadoras de fondos de inversión, a
las sociedades distribuidoras de acciones de fondos de inversión, a las casas
de bolsa y a las instituciones para el depósito de valores del país
concesionadas por el Gobierno Federal de conformidad con lo establecido en la
Ley del Mercado de Valores, que presten el servicio de custodia y
administración de títulos.
Párrafo reformado DOF 18-11-2015
Artículo
8. Para
los efectos de esta Ley, se consideran intereses, cualquiera que sea el nombre
con que se les designe, a los rendimientos de créditos de cualquier clase. Se
entiende que, entre otros, son intereses: los rendimientos de la deuda pública,
de los bonos u obligaciones, incluyendo descuentos, primas y premios; los
premios de reportos o de préstamos de valores; el monto de las comisiones que
correspondan con motivo de apertura o garantía de créditos; el monto de las
contraprestaciones correspondientes a la aceptación de un aval, del
otorgamiento de una garantía o de la responsabilidad de cualquier clase,
excepto cuando dichas contraprestaciones deban hacerse a instituciones de
seguros o fianzas; la ganancia en la enajenación de bonos, valores y otros
títulos de crédito, siempre que sean de los que se colocan entre el gran
público inversionista, conforme a las reglas generales que al efecto expida el
Servicio de Administración Tributaria.
En las operaciones de factoraje financiero, se
considerará interés la ganancia derivada de los derechos de crédito adquiridos
por empresas de factoraje financiero y sociedades financieras de objeto
múltiple.
En los contratos de arrendamiento financiero, se
considera interés la diferencia entre el total de pagos y el monto original de
la inversión.
La cesión de derechos sobre los ingresos por otorgar
el uso o goce temporal de inmuebles, se considerará como una operación de
financiamiento; la cantidad que se obtenga por la cesión se tratará como
préstamo, debiendo acumularse las rentas devengadas conforme al contrato, aun
cuando éstas se cobren por el adquirente de los derechos. La contraprestación
pagada por la cesión se tratará como crédito o deuda, según sea el caso, y la
diferencia con las rentas tendrá el tratamiento de interés. El importe del
crédito o deuda generará el ajuste anual por inflación en los términos del
Capítulo III del Título II de esta Ley, el que será acumulable o deducible,
según sea el caso, considerando para su cuantificación, la tasa de descuento
que se haya tomado para la cesión del derecho, el total de las rentas que
abarca la cesión, el valor que se pague por dichas rentas y el plazo que se
hubiera determinado en el contrato, en los términos que establezca el
Reglamento de esta Ley.
Cuando los créditos, deudas, operaciones o el importe
de los pagos de los contratos de arrendamiento financiero, se ajusten mediante
la aplicación de índices, factores o de cualquier otra forma, inclusive
mediante el uso de unidades de inversión, se considerará el ajuste como parte
del interés.
Se dará el tratamiento que esta Ley establece para los
intereses, a las ganancias o pérdidas cambiarias, devengadas por la fluctuación
de la moneda extranjera, incluyendo las correspondientes al principal y al
interés mismo. La pérdida cambiaria no podrá exceder de la que resultaría de
considerar el tipo de cambio para solventar obligaciones denominadas en moneda
extranjera pagaderas en la República Mexicana establecido por el Banco de México,
que al efecto se publique en el Diario Oficial de la Federación,
correspondiente al día en que se sufra la pérdida.
Se dará el tratamiento establecido en esta Ley para
los intereses, a la ganancia proveniente de la enajenación de las acciones de
los fondos de inversión en instrumentos de deuda a que se refiere la Ley de
Fondos de Inversión.
Párrafo reformado DOF 18-11-2015
TÍTULO II
DE LAS PERSONAS MORALES
DISPOSICIONES GENERALES
Artículo
9. Las
personas morales deberán calcular el impuesto sobre la renta, aplicando al
resultado fiscal obtenido en el ejercicio la tasa del 30%.
El resultado fiscal del ejercicio se determinará como
sigue:
I. Se
obtendrá la utilidad fiscal disminuyendo de la totalidad de los ingresos
acumulables obtenidos en el ejercicio, las deducciones autorizadas por este
Título y la participación de los trabajadores en las utilidades de las empresas
pagada en el ejercicio, en los términos del artículo 123 de la Constitución
Política de los Estados Unidos Mexicanos.
II. A la utilidad
fiscal del ejercicio se le disminuirán, en su caso, las pérdidas fiscales
pendientes de aplicar de ejercicios anteriores.
El impuesto del ejercicio se pagará mediante
declaración que presentarán ante las oficinas autorizadas, dentro de los tres
meses siguientes a la fecha en la que termine el ejercicio fiscal.
Para determinar la renta gravable a que se refiere el
inciso e) de la fracción IX del artículo 123, apartado A de la Constitución
Política de los Estados Unidos Mexicanos, no se disminuirá la participación de
los trabajadores en las utilidades de las empresas pagada en el ejercicio ni
las pérdidas fiscales pendientes de aplicar de ejercicios anteriores.
Para la determinación de la renta gravable en materia
de participación de los trabajadores en las utilidades de las empresas, los
contribuyentes deberán disminuir de los ingresos acumulables las cantidades que
no hubiesen sido deducibles en los términos de la fracción XXX del artículo 28
de esta Ley.
Artículo 10. Las personas morales que distribuyan dividendos o
utilidades deberán calcular y enterar el impuesto que corresponda a los mismos,
aplicando la tasa establecida en el artículo 9 de la presente Ley. Para estos
efectos, los dividendos o utilidades distribuidos se adicionarán con el impuesto
sobre la renta que se deba pagar en los términos de este artículo. Para
determinar el impuesto que se debe adicionar a los dividendos o utilidades,
éstos se deberán multiplicar por el factor de 1.4286 y al resultado se le
aplicará la tasa establecida en el citado artículo 9 de esta Ley. El impuesto
correspondiente a las utilidades distribuidas a que se refiere el artículo 78
de la presente Ley, se calculará en los términos de dicho precepto.
Tratándose de la distribución de dividendos o
utilidades mediante el aumento de partes sociales o la entrega de acciones de
la misma persona moral o cuando se reinviertan en la suscripción y pago del
aumento de capital de la misma persona dentro de los 30 días naturales
siguientes a su distribución, el dividendo o la utilidad se entenderá percibido
en el año de calendario en el que se pague el reembolso por reducción de
capital o por liquidación de la persona moral de que se trate, en los términos
del artículo 78 de esta Ley.
No se estará obligado al pago del impuesto a que se
refiere este artículo cuando los dividendos o utilidades provengan de la cuenta
de utilidad fiscal neta que establece la presente Ley.
El impuesto a que se refiere este artículo, se pagará
además del impuesto del ejercicio a que se refiere el artículo 9 de esta Ley,
tendrá el carácter de pago definitivo y se enterará ante las oficinas
autorizadas, a más tardar el día 17 del mes inmediato siguiente a aquél en el
que se pagaron los dividendos o utilidades.
Cuando los contribuyentes a que se refiere este
artículo distribuyan dividendos o utilidades y como consecuencia de ello paguen
el impuesto que establece este artículo, podrán acreditar dicho impuesto de
acuerdo a lo siguiente:
I. El acreditamiento únicamente podrá efectuarse contra el
impuesto sobre la renta del ejercicio que resulte a cargo de la persona moral
en el ejercicio en el que se pague el impuesto a que se refiere este artículo.
El
monto del impuesto que no se pueda acreditar conforme al párrafo anterior, se
podrá acreditar hasta en los dos ejercicios inmediatos siguientes contra el
impuesto del ejercicio y contra los pagos provisionales de los mismos. Cuando
el impuesto del ejercicio sea menor que el monto que se hubiese acreditado en
los pagos provisionales, únicamente se considerará acreditable contra el
impuesto del ejercicio un monto igual a este último.
Cuando
el contribuyente no acredite en un ejercicio el impuesto a que se refiere el
cuarto párrafo de este artículo, pudiendo haberlo hecho conforme al mismo,
perderá el derecho a hacerlo en los ejercicios posteriores hasta por la
cantidad en la que pudo haberlo efectuado.
II. Para los
efectos del artículo 77 de esta Ley, en el ejercicio en el que acrediten el
impuesto conforme a la fracción anterior, los contribuyentes deberán disminuir
de la utilidad fiscal neta calculada en los términos de dicho precepto, la
cantidad que resulte de dividir el impuesto acreditado entre el factor 0.4286.
Para los efectos de este artículo, no se considerarán
dividendos o utilidades distribuidos, la participación de los trabajadores en
las utilidades de las empresas.
Las personas morales que distribuyan los dividendos o
utilidades a que se refiere el artículo 140 fracciones I y II de esta Ley,
calcularán el impuesto sobre dichos dividendos o utilidades aplicando sobre los
mismos la tasa establecida en el artículo 9 de la presente Ley. Este impuesto
tendrá el carácter de definitivo.
Artículo 11. Tratándose de intereses que se deriven de créditos
otorgados a personas morales o a establecimientos permanentes en el país de
residentes en el extranjero, por personas residentes en México o en el
extranjero, que sean partes relacionadas de la persona que paga el crédito, los
contribuyentes considerarán, para efectos de esta Ley, que los intereses derivados
de dichos créditos tendrán el tratamiento fiscal de dividendos cuando se
actualice alguno de los siguientes supuestos:
I. El
deudor formule por escrito promesa incondicional de pago parcial o total del
crédito recibido, a una fecha determinable en cualquier momento por el
acreedor.
II. Los
intereses no sean deducibles conforme a lo establecido en la fracción XIII del
artículo 27 de esta Ley.
III. En caso
de incumplimiento por el deudor, el acreedor tenga derecho a intervenir en la
dirección o administración de la sociedad deudora.
IV. Los
intereses que deba pagar el deudor estén condicionados a la obtención de
utilidades o que su monto se fije con base en dichas utilidades.
V. Los
intereses provengan de créditos respaldados, inclusive cuando se otorguen a
través de una institución financiera residente en el país o en el extranjero.
Para los efectos de esta fracción, se consideran
créditos respaldados las operaciones por medio de las cuales una persona le
proporciona efectivo, bienes o servicios a otra persona, quien a su vez le
proporciona directa o indirectamente, efectivo, bienes o servicios a la persona
mencionada en primer lugar o a una parte relacionada de ésta. También se
consideran créditos respaldados aquellas operaciones en las que una persona
otorga un financiamiento y el crédito está garantizado por efectivo, depósito
de efectivo, acciones o instrumentos de deuda de cualquier clase, de una parte
relacionada o del mismo acreditado, en la medida en la que esté garantizado de
esta forma. Para estos efectos, se considera que el crédito también está
garantizado en los términos de esta fracción, cuando su otorgamiento se
condicione a la celebración de uno o varios contratos que otorguen un derecho
de opción a favor del acreditante o de una parte relacionada
de éste, cuyo ejercicio dependa del incumplimiento parcial o total del pago del
crédito o de sus accesorios a cargo del acreditado.
Tendrán el tratamiento de créditos respaldados a que
se refiere esta fracción, el conjunto de operaciones financieras derivadas de
deuda o de aquéllas a que se refiere el artículo 21 de esta Ley, celebradas por
dos o más partes relacionadas con un mismo intermediario financiero, donde las
operaciones de una de las partes dan origen a las otras, con el propósito primordial
de transferir un monto definido de recursos de una parte relacionada a la otra.
También tendrán este tratamiento, las operaciones de descuento de títulos de
deuda que se liquiden en efectivo o en bienes, que de cualquier forma se
ubiquen en los supuestos previstos en el párrafo anterior.
No se considerarán créditos respaldados, las
operaciones en las que se otorgue financiamiento a una persona y el crédito
esté garantizado por acciones o instrumentos de deuda de cualquier clase,
propiedad del acreditado o de partes relacionadas de éste que sean residentes
en México, cuando el acreditante no pueda disponer
legalmente de aquéllos, salvo en el caso en el que el acreditado incumpla con
cualesquiera de las obligaciones pactadas en el contrato de crédito respectivo.
Artículo 12. Dentro del mes siguiente a la fecha en la que termine
la liquidación de una sociedad, el liquidador deberá presentar la declaración
final del ejercicio de liquidación. El liquidador deberá presentar pagos
provisionales mensuales a cuenta del impuesto del ejercicio de liquidación, a
más tardar el día 17 del mes inmediato posterior a aquél al que corresponda el
pago, en los términos del artículo 14 de esta Ley, en tanto se lleve a cabo la
liquidación total del activo. En dichos pagos provisionales no se considerarán
los activos de establecimientos ubicados en el extranjero. Al término de cada
año de calendario, el liquidador deberá presentar una declaración, a más tardar
el día 17 del mes de enero del año siguiente, en donde determinará y enterará
el impuesto correspondiente al periodo comprendido desde el inicio de la
liquidación y hasta el último mes del año de que se trate y acreditará los
pagos provisionales y anuales efectuados con anterioridad correspondientes al
periodo antes señalado. La última declaración será la del ejercicio de
liquidación, incluirá los activos de los establecimientos ubicados en el
extranjero y se deberá presentar a más tardar el mes siguiente a aquél en el
que termine la liquidación, aun cuando no hayan transcurrido doce meses desde
la última declaración.
Para los efectos de esta Ley, se entenderá que una
persona moral residente en México se liquida, cuando deje de ser residente en
México en los términos del Código Fiscal de la Federación o conforme a lo previsto
en un tratado para evitar la doble tributación en vigor celebrado por México.
Para estos efectos, se considerarán enajenados todos los activos que la persona
moral tenga en México y en el extranjero y como valor de los mismos, el de
mercado a la fecha del cambio de residencia; cuando no se conozca dicho valor,
se estará al avalúo que para tales efectos lleve a cabo la persona autorizada
por las autoridades fiscales. El impuesto que se determine se deberá enterar
dentro de los 15 días siguientes a aquél en el que suceda el cambio de
residencia fiscal.
Para los efectos del párrafo anterior, se deberá
nombrar un representante legal que reúna los requisitos establecidos en el
artículo 174 de esta Ley. Dicho representante deberá conservar a disposición de
las autoridades fiscales la documentación comprobatoria relacionada con el pago
del impuesto por cuenta del contribuyente, durante el plazo establecido en el
Código Fiscal de la Federación, contado a partir del día siguiente a aquél en
que se hubiere presentado la declaración.
El representante legal que se nombre en los términos
de este artículo, será responsable solidario por las contribuciones que deba
pagar la persona moral residente en México que se liquida.
Artículo 13. Cuando se realicen actividades empresariales a través
de un fideicomiso, la fiduciaria determinará en los términos del Título II de
esta Ley, el resultado o la pérdida fiscal de dichas actividades en cada
ejercicio y cumplirá por cuenta del conjunto de los fideicomisarios las
obligaciones señaladas en esta Ley, incluso la de efectuar pagos provisionales.
La fiduciaria deberá expedir a los fideicomisarios o
fideicomitentes, en su caso, comprobante fiscal en que consten los ingresos y
retenciones derivados de las actividades empresariales realizadas a través del
fideicomiso de que se trate.
Los fideicomisarios acumularán a sus demás ingresos
del ejercicio, la parte del resultado fiscal de dicho ejercicio derivada de las
actividades empresariales realizadas a través del fideicomiso que les corresponda,
de acuerdo con lo estipulado en el contrato de fideicomiso y acreditarán en esa
proporción el monto de los pagos provisionales efectuados por el fiduciario. La
pérdida fiscal derivada de las actividades empresariales realizadas a través
del fideicomiso sólo podrá ser disminuida de las utilidades fiscales de
ejercicios posteriores derivadas de las actividades realizadas a través de ese
mismo fideicomiso en los términos del Capítulo V del Título II de esta Ley.
Cuando haya pérdidas fiscales pendientes de disminuir
al extinguirse el fideicomiso, el saldo actualizado de dichas pérdidas se
distribuirá entre los fideicomisarios en la proporción que les corresponda
conforme a lo pactado en el contrato de fideicomiso y podrán deducirlo en el
ejercicio en que se extinga el fideicomiso hasta por el monto actualizado de
sus aportaciones al fideicomiso que no recupere cada uno de los fideicomisarios
en lo individual.
Para los efectos del párrafo anterior, la fiduciaria
deberá llevar una cuenta de capital de aportación por cada uno de los
fideicomisarios, de conformidad con lo dispuesto en el artículo 78 de esta Ley,
en la que se registrarán las aportaciones en efectivo y en bienes que haga al
fideicomiso cada uno de ellos.
Las entregas de efectivo o bienes provenientes del
fideicomiso que la fiduciaria haga a los fideicomisarios se considerarán
reembolsos de capital aportado hasta que se recupere dicho capital y
disminuirán el saldo de cada una de las cuentas individuales de capital de
aportación que lleve la fiduciaria por cada uno de los fideicomisarios hasta
que se agote el saldo de cada una de dichas cuentas.
Para los efectos de determinar la utilidad o pérdida
fiscal del ejercicio derivada de las actividades empresariales realizadas a
través del fideicomiso, dentro de las deducciones se incluirá la que
corresponda a los bienes aportados al fideicomiso por el fideicomitente cuando
sea a su vez fideicomisario y no reciba contraprestación alguna en efectivo u
otros bienes por ellos, considerando como costo de adquisición de los mismos el
monto original de la inversión actualizado aún no deducido o el costo promedio
por acción, según el bien de que se trate, que tenga el fideicomitente al
momento de su aportación al fideicomiso y ese mismo costo de adquisición deberá
registrarse en la contabilidad del fideicomiso y en la cuenta de capital de
aportación de quien corresponda. El fideicomitente que aporte los bienes a que
se refiere este párrafo no podrá efectuar la deducción de dichos bienes en la
determinación de sus utilidades o pérdidas fiscales derivadas de sus demás
actividades.
Cuando los bienes aportados al fideicomiso a los que
se refiere el párrafo anterior se regresen a los fideicomitentes que los
aportaron, los mismos se considerarán reintegrados al valor fiscal que tengan
en la contabilidad del fideicomiso al momento en que sean regresados y en ese
mismo valor se considerarán readquiridos por las personas que los aportaron.
Los pagos provisionales del impuesto sobre la renta
correspondientes a las actividades empresariales realizadas a través del
fideicomiso se calcularán de acuerdo con lo dispuesto por el artículo 14 de
esta Ley. En el primer año de calendario de operaciones del fideicomiso o
cuando no resulte coeficiente de utilidad conforme a lo anterior, se
considerará como coeficiente de utilidad para los efectos de los pagos
provisionales, el que corresponda en los términos del artículo 58 del Código
Fiscal de la Federación, a la actividad preponderante que se realice mediante
el fideicomiso. Para tales efectos, la fiduciaria presentará una declaración
por sus propias actividades y otra por cada uno de los fideicomisos.
Cuando alguno de los fideicomisarios sea persona
física residente en México, considerará como ingresos por actividades empresariales
la parte del resultado o la utilidad fiscal derivada de las actividades
empresariales realizadas a través del fideicomiso que le corresponda de acuerdo
con lo pactado en el contrato.
Se considera que los residentes en el extranjero que
sean fideicomisarios tienen establecimiento permanente en México por las
actividades empresariales realizadas en el país a través del fideicomiso y
deberán presentar su declaración anual del impuesto sobre la renta por la parte
que les corresponda del resultado o la utilidad fiscal del ejercicio derivada
de dichas actividades.
En los casos en que no se hayan designado
fideicomisarios o éstos no puedan identificarse, se entenderá que las
actividades empresariales realizadas a través del fideicomiso las realiza el
fideicomitente.
Los fideicomisarios o, en su caso, el fideicomitente,
responderán por el incumplimiento de las obligaciones que por su cuenta deba
cumplir la fiduciaria.
Artículo 14. Los contribuyentes efectuarán pagos provisionales
mensuales a cuenta del impuesto del ejercicio, a más tardar el día 17 del mes
inmediato posterior a aquél al que corresponda el pago, conforme a las bases
que a continuación se señalan:
I. Se
calculará el coeficiente de utilidad correspondiente al último ejercicio de
doce meses por el que se hubiera o debió haberse presentado declaración. Para
este efecto, la utilidad fiscal del ejercicio por el que se calcule el
coeficiente, se dividirá entre los ingresos nominales del mismo ejercicio.
Las
personas morales que distribuyan anticipos o rendimientos en los términos de la
fracción II del artículo 94 de esta Ley, adicionarán a la utilidad fiscal o
reducirán de la pérdida fiscal, según corresponda, el monto de los anticipos y
rendimientos que, en su caso, hubieran distribuido a sus miembros en los
términos de la fracción mencionada, en el ejercicio por el que se calcule el
coeficiente.
Tratándose
del segundo ejercicio fiscal, el primer pago provisional comprenderá el
primero, el segundo y el tercer mes del ejercicio, y se considerará el
coeficiente de utilidad fiscal del primer ejercicio, aun cuando no hubiera sido
de doce meses.
Cuando
en el último ejercicio de doce meses no resulte coeficiente de utilidad
conforme a lo dispuesto en esta fracción, se aplicará el correspondiente al último
ejercicio de doce meses por el que se tenga dicho coeficiente, sin que ese
ejercicio sea anterior en más de cinco años a aquél por el que se deban
efectuar los pagos provisionales.
II. La utilidad
fiscal para el pago provisional se determinará multiplicando el coeficiente de
utilidad que corresponda conforme a la fracción anterior, por los ingresos
nominales correspondientes al periodo comprendido desde el inicio del ejercicio
y hasta el último día del mes al que se refiere el pago y, en su caso, se disminuirán
los siguientes conceptos:
a) El monto
de la participación de los trabajadores en las utilidades de las empresas
pagada en el mismo ejercicio, en los términos del artículo 123 de la
Constitución Política de los Estados Unidos Mexicanos. El citado monto de la
participación de los trabajadores en las utilidades de las empresas se deberá
disminuir, por partes iguales, en los pagos provisionales correspondientes a
los meses de mayo a diciembre del ejercicio fiscal. La disminución a que se
refiere este inciso se realizará en los pagos provisionales del ejercicio de
manera acumulativa y el monto que se disminuya en términos de este párrafo en
ningún caso será deducible de los ingresos acumulables del contribuyente, de
conformidad con lo previsto en la fracción XXVI del artículo 28 de esta Ley.
Para
los efectos del párrafo anterior, la disminución de la participación de los
trabajadores en las utilidades de las empresas se realizará hasta por el monto
de la utilidad fiscal determinada para el pago provisional que corresponda y en
ningún caso se deberá recalcular el coeficiente de utilidad determinado en los
términos de la fracción I de este artículo.
b) Las
personas morales que distribuyan anticipos o rendimientos en los términos de la
fracción II del artículo 94 de esta Ley, disminuirán la utilidad fiscal con el
importe de los anticipos y rendimientos que las mismas distribuyan a sus
miembros en los términos de la fracción mencionada, en el periodo comprendido
desde el inicio del ejercicio y hasta el último día del mes al que se refiere
el pago. Se deberá expedir comprobante fiscal en el que conste el monto de los
anticipos y rendimientos distribuidos, así como el impuesto retenido.
c) La pérdida
fiscal de ejercicios anteriores pendiente de aplicar contra las utilidades
fiscales, sin perjuicio de disminuir dicha pérdida de la utilidad fiscal del
ejercicio.
Fracción reformada DOF 09-12-2019
III. Los pagos
provisionales serán las cantidades que resulten de aplicar la tasa establecida
en el artículo 9 de esta Ley, sobre la utilidad fiscal que se determine en los
términos de la fracción que antecede, pudiendo acreditarse contra el impuesto a
pagar los pagos provisionales del mismo ejercicio efectuados con anterioridad.
También podrá acreditarse contra dichos pagos provisionales la retención que se
le hubiera efectuado al contribuyente en el periodo, en los términos del
artículo 54 de esta Ley.
Tratándose del ejercicio de liquidación, para calcular
los pagos provisionales mensuales correspondientes, se considerará como
coeficiente de utilidad para los efectos de dichos pagos provisionales el que
corresponda a la última declaración que al término de cada año de calendario el
liquidador hubiera presentado o debió haber presentado en los términos del
artículo 12 de esta Ley o el que corresponda de conformidad con lo dispuesto en
el último párrafo de la fracción I de este artículo.
Los ingresos nominales a que se refiere este artículo
serán los ingresos acumulables, excepto el ajuste anual por inflación acumulable.
Tratándose de créditos o de operaciones denominados en unidades de inversión,
se considerarán ingresos nominales para los efectos de este artículo, los
intereses conforme se devenguen, incluyendo el ajuste que corresponda al
principal por estar los créditos u operaciones denominados en dichas unidades.
Los contribuyentes que inicien operaciones con motivo
de una fusión de sociedades en la que surja una nueva sociedad, efectuarán, en
dicho ejercicio, pagos provisionales a partir del mes en el que ocurra la
fusión. Para los efectos de lo anterior, el coeficiente de utilidad a que se
refiere el primer párrafo de la fracción I de este artículo, se calculará
considerando de manera conjunta las utilidades o las pérdidas fiscales y los
ingresos de las sociedades que se fusionan. En el caso de que las sociedades
que se fusionan se encuentren en el primer ejercicio de operación, el
coeficiente se calculará utilizando los conceptos señalados correspondientes a
dicho ejercicio. Cuando no resulte coeficiente en los términos de este párrafo,
se aplicará lo dispuesto en el último párrafo de la fracción I de este
artículo, considerando lo señalado en este párrafo.
Los contribuyentes que inicien operaciones con motivo
de la escisión de sociedades efectuarán pagos provisionales a partir del mes en
el que ocurra la escisión, considerando, para ese ejercicio, el coeficiente de
utilidad de la sociedad escindente en el mismo. El coeficiente a que se refiere
este párrafo, también se utilizará para los efectos del último párrafo de la
fracción I de este artículo. La sociedad escindente considerará como pagos
provisionales efectivamente enterados con anterioridad a la escisión, la
totalidad de dichos pagos que hubiera efectuado en el ejercicio en el que
ocurrió la escisión y no se podrán asignar a las sociedades escindidas, aun
cuando la sociedad escindente desaparezca.
Los contribuyentes deberán presentar las declaraciones
de pagos provisionales siempre que haya impuesto a pagar, saldo a favor o
cuando se trate de la primera declaración en la que no tengan impuesto a cargo.
No deberán presentar declaraciones de pagos provisionales en el ejercicio de
iniciación de operaciones, cuando hubieran presentado el aviso de suspensión de
actividades que previene el Reglamento del Código Fiscal de la Federación ni en
los casos en que no haya impuesto a cargo ni saldo a favor y no se trate de la
primera declaración con esta característica.
Los contribuyentes, para determinar los pagos
provisionales a que se refiere el presente artículo, estarán a lo siguiente:
a) No se
considerarán los ingresos de fuente de riqueza ubicada en el extranjero que
hayan sido objeto de retención por concepto de impuesto sobre la renta ni los
ingresos atribuibles a sus establecimientos ubicados en el extranjero que estén
sujetos al pago del impuesto sobre la renta en el país donde se encuentren
ubicados estos establecimientos.
b) Los
contribuyentes que estimen que el coeficiente de utilidad que deben aplicar
para determinar los pagos provisionales es superior al coeficiente de utilidad
del ejercicio al que correspondan dichos pagos, podrán, a partir del segundo
semestre del ejercicio, solicitar autorización para disminuir el monto de los
que les correspondan. Cuando con motivo de la autorización para disminuir los pagos
provisionales resulte que los mismos se hubieran cubierto en cantidad menor a
la que les hubiera correspondido en los términos de este artículo de haber
tomado los datos relativos al coeficiente de utilidad de la declaración del
ejercicio en el cual se disminuyó el pago, se cubrirán recargos por la
diferencia entre los pagos autorizados y los que les hubieran correspondido.
Artículo 15. Los contribuyentes sujetos a un procedimiento de
concurso mercantil, podrán disminuir el monto de las deudas perdonadas conforme
al convenio suscrito con sus acreedores reconocidos, en los términos
establecidos en la Ley de Concursos Mercantiles, de las pérdidas pendientes de
disminuir que tengan en el ejercicio en el que dichos acreedores les perdonen
las deudas citadas. Cuando el monto de las deudas perdonadas sea mayor a las
pérdidas fiscales pendientes de disminuir, la diferencia que resulte no se
considerará como ingreso acumulable, salvo que la deuda perdonada provenga de
transacciones efectuadas entre y con partes relacionadas a que se refiere el
artículo 179 de esta Ley.
CAPÍTULO I
DE LOS INGRESOS
Artículo 16. Las personas morales residentes en el país, incluida
la asociación en participación, acumularán la totalidad de los ingresos en
efectivo, en bienes, en servicio, en crédito o de cualquier otro tipo, que
obtengan en el ejercicio, inclusive los provenientes de sus establecimientos en
el extranjero. El ajuste anual por inflación acumulable es el ingreso que
obtienen los contribuyentes por la disminución real de sus deudas.
Para los efectos de este Título, no se consideran
ingresos los que obtenga el contribuyente por aumento de capital, por pago de
la pérdida por sus accionistas, por primas obtenidas por la colocación de
acciones que emita la propia sociedad o por utilizar para valuar sus acciones
el método de participación ni los que obtengan con motivo de la revaluación de
sus activos y de su capital.
Tampoco se consideran ingresos acumulables para
efectos de este Título, los ingresos por apoyos económicos o monetarios que
reciban los contribuyentes a través de los programas previstos en los
presupuestos de egresos, de la Federación o de las Entidades Federativas,
siempre que los programas cuenten con un padrón de beneficiarios; los recursos
se distribuyan a través de transferencia electrónica de fondos a nombre de los
beneficiarios; los beneficiarios cumplan con las obligaciones que se hayan
establecido en las reglas de operación de los citados programas, y cuenten con
opinión favorable por parte de la autoridad competente respecto del
cumplimiento de obligaciones fiscales, cuando estén obligados a solicitarla en
los términos de las disposiciones fiscales. Los gastos o erogaciones que se
realicen con los apoyos económicos a que se refiere este párrafo, que no se
consideren ingresos acumulables, no serán deducibles para efectos de este
impuesto. Las dependencias o entidades, federales o estatales, encargadas de
otorgar o administrar los apoyos económicos o monetarios, deberán poner a
disposición del público en general y mantener actualizado en sus respectivos
medios electrónicos, el padrón de beneficiarios a que se refiere este párrafo,
mismo que deberá contener los siguientes datos: denominación social de las
personas morales beneficiarias, el monto, recurso, beneficio o apoyo otorgado
para cada una de ellas y la unidad territorial.
Párrafo adicionado DOF 30-11-2016
Otros ingresos que no se considerarán acumulables para
efectos de este Título, son las contraprestaciones en especie a favor del
contratista a que se refieren los artículos 6, apartado B y 12, fracción II de
la Ley de Ingresos sobre Hidrocarburos, siempre que para la determinación del
impuesto sobre la renta a su cargo no se considere como costo de lo vendido
deducible en los términos del artículo 25, fracción II de esta Ley, el valor de
las mencionadas contraprestaciones cuando éstas se enajenen o transfieran a un
tercero. Los ingresos que se obtengan por la enajenación de los bienes
recibidos como contraprestaciones serán acumulables en los términos establecidos
en la presente Ley.
Párrafo adicionado DOF 30-11-2016
Las personas morales residentes en el extranjero, así
como cualquier entidad que se considere como persona moral para efectos
impositivos en su país, que tengan uno o varios establecimientos permanentes en
el país, acumularán la totalidad de los ingresos atribuibles a los mismos. No
se considerará ingreso atribuible a un establecimiento permanente la simple
remesa que obtenga de la oficina central de la persona moral o de otro
establecimiento de ésta.
No serán acumulables para los contribuyentes de este
Título, los ingresos por dividendos o utilidades que perciban de otras personas
morales residentes en México.
Artículo 17. Para los efectos del artículo 16 de esta Ley, se
considera que los ingresos se obtienen, en aquellos casos no previstos en otros
artículos de la misma, en las fechas que se señalan conforme a lo siguiente
tratándose de:
I. Enajenación
de bienes o prestación de servicios, cuando se dé cualquiera de los siguientes
supuestos, el que ocurra primero:
a) Se expida el
comprobante fiscal que ampare el precio o la contraprestación pactada.
b) Se envíe o
entregue materialmente el bien o cuando se preste el servicio.
c) Se cobre o sea
exigible total o parcialmente el precio o la contraprestación pactada, aun
cuando provenga de anticipos.
Tratándose
de los ingresos por la prestación de servicios personales independientes que
obtengan las sociedades o asociaciones civiles y de ingresos por el servicio de
suministro de agua potable para uso doméstico o de recolección de basura
doméstica que obtengan los organismos descentralizados, los concesionarios,
permisionarios o empresas autorizadas para proporcionar dichos servicios, se
considera que los mismos se obtienen en el momento en que se cobre el precio o
la contraprestación pactada.
II. Otorgamiento
del uso o goce temporal de bienes, cuando se cobren total o parcialmente las
contraprestaciones, o cuando éstas sean exigibles a favor de quien efectúe
dicho otorgamiento, o se expida el comprobante fiscal que ampare el precio o la
contraprestación pactada, lo que suceda primero.
III. Obtención
de ingresos provenientes de contratos de arrendamiento financiero, los
contribuyentes podrán optar por considerar como ingreso obtenido en el ejercicio
el total del precio pactado o la parte del precio exigible durante el mismo.
En el
caso de enajenaciones a plazo en los términos del Código Fiscal de la
Federación, los contribuyentes considerarán como ingreso obtenido en el
ejercicio el total del precio pactado.
La
opción a que se refiere el primer párrafo de esta fracción, se deberá ejercer
por la totalidad de los contratos. La opción podrá cambiarse sin requisitos una
sola vez; tratándose del segundo y posteriores cambios, deberán transcurrir
cuando menos cinco años desde el último cambio; cuando el cambio se quiera
realizar antes de que transcurra dicho plazo, se deberá cumplir con los
requisitos que para tal efecto establezca el Reglamento de esta Ley.
Cuando
en términos del primer párrafo de esta fracción, el contribuyente hubiera
optado por considerar como ingresos obtenidos en el ejercicio únicamente la
parte del precio pactado exigible y enajene los documentos pendientes de cobro,
o los dé en pago, deberá considerar la cantidad pendiente de acumular como
ingreso obtenido en el ejercicio en el que realice la enajenación o la dación
en pago.
En el
caso de incumplimiento de los contratos de arrendamiento financiero, respecto
de los cuales se haya ejercido la opción de considerar como ingreso obtenido en
el ejercicio únicamente la parte del precio exigible, el arrendador considerará
como ingreso obtenido en el ejercicio, las cantidades exigibles en el mismo del
arrendatario, disminuidas por las cantidades que ya hubiera devuelto conforme al
contrato respectivo.
En
los casos de contratos de arrendamiento financiero, se considerarán ingresos
obtenidos en el ejercicio en el que sean exigibles, los que deriven de
cualquiera de las opciones a que se refiere el artículo 15 del Código Fiscal de
la Federación.
IV. Ingresos
derivados de deudas no cubiertas por el contribuyente, en el mes en el que se
consume el plazo de prescripción o en el mes en el que se cumpla el plazo a que
se refiere el párrafo segundo de la fracción XV del artículo 27 de esta Ley.
Los contribuyentes que celebren contratos de obra
inmueble, considerarán acumulables los ingresos provenientes de dichos
contratos, en la fecha en que las estimaciones por obra ejecutada sean
autorizadas o aprobadas para que proceda su cobro, siempre y cuando el pago de
dichas estimaciones tengan lugar dentro de los tres meses siguientes a su
aprobación o autorización; de lo contrario, los ingresos provenientes de dichos
contratos se considerarán acumulables hasta que sean efectivamente pagados. Los
contribuyentes que celebren otros contratos de obra en los que se obliguen a
ejecutar dicha obra conforme a un plano, diseño y presupuesto, considerarán que
obtienen los ingresos en la fecha en la que las estimaciones por obra ejecutada
sean autorizadas o aprobadas para que proceda su cobro, siempre y cuando el
pago de dichas estimaciones tengan lugar dentro de los tres meses siguientes a
su aprobación o autorización; de lo contrario, los ingresos provenientes de
dichos contratos se considerarán acumulables hasta que sean efectivamente
pagados, o en los casos en que no estén obligados a presentarlas o la
periodicidad de su presentación sea mayor a tres meses, considerarán ingreso
acumulable el avance trimestral en la ejecución o fabricación de los bienes a que
se refiere la obra. Los ingresos acumulables por contratos de obra a que se
refiere este párrafo, se disminuirán con la parte de los anticipos, depósitos,
garantías o pagos por cualquier otro concepto, que se hubiera acumulado con
anterioridad y que se amortice contra la estimación o el avance.
Los contribuyentes a que se refiere el párrafo
anterior, considerarán ingresos acumulables, además de los señalados en el
mismo, cualquier pago recibido en efectivo, en bienes o en servicios, ya sea
por concepto de anticipos, depósitos o garantías del cumplimiento de cualquier
obligación, o cualquier otro.
Artículo 18. Para los efectos de este Título, se consideran
ingresos acumulables, además de los señalados en otros artículos de esta Ley,
los siguientes:
I. Los
ingresos determinados, inclusive presuntivamente por las autoridades fiscales,
en los casos en que proceda conforme a las leyes fiscales.
II. La
ganancia derivada de la transmisión de propiedad de bienes por pago en especie.
En este caso, para determinar la ganancia se considerará como ingreso el valor
que conforme al avalúo practicado por persona autorizada por las autoridades
fiscales tenga el bien de que se trata en la fecha en la que se transfiera su
propiedad por pago en especie, pudiendo disminuir de dicho ingreso las
deducciones que para el caso de enajenación permite esta Ley, siempre que se
cumplan con los requisitos que para ello se establecen en la misma y en las
demás disposiciones fiscales. Tratándose de mercancías, así como de materias primas,
productos semiterminados o terminados, se acumulará
el total del ingreso y el valor del costo de lo vendido se determinará conforme
a lo dispuesto en la Sección III, del Capítulo II del Título II de esta Ley.
III. Los que
provengan de construcciones, instalaciones o mejoras permanentes en bienes
inmuebles, que de conformidad con los contratos por los que se otorgó su uso o
goce queden a beneficio del propietario. Para estos efectos, el ingreso se
considera obtenido al término del contrato y en el monto que a esa fecha tengan
las inversiones conforme al avalúo que practique persona autorizada por las
autoridades fiscales.
IV. La ganancia
derivada de la enajenación de activos fijos y terrenos, títulos valor,
acciones, partes sociales o certificados de aportación patrimonial emitidos por
sociedades nacionales de crédito, así como la ganancia realizada que derive de
la fusión o escisión de sociedades y la proveniente de reducción de capital o
de liquidación de sociedades mercantiles residentes en el extranjero, en las
que el contribuyente sea socio o accionista.
En
los casos de reducción de capital o de liquidación, de sociedades mercantiles
residentes en el extranjero, la ganancia se determinará conforme a lo dispuesto
en la fracción V del artículo 142 de esta Ley.
En
los casos de fusión o escisión de sociedades, no se considerará ingreso
acumulable la ganancia derivada de dichos actos, cuando se cumplan los
requisitos establecidos en el artículo 14-B del Código Fiscal de la Federación.
V. Los pagos
que se perciban por recuperación de un crédito deducido por incobrable.
VI. La cantidad
que se recupere por seguros, fianzas o responsabilidades a cargo de terceros,
tratándose de pérdidas de bienes del contribuyente.
VII. Las
cantidades que el contribuyente obtenga como indemnización para resarcirlo de
la disminución que en su productividad haya causado la muerte, accidente o
enfermedad de técnicos o dirigentes.
VIII. Las
cantidades que se perciban para efectuar gastos por cuenta de terceros, salvo
que dichos gastos sean respaldados con comprobantes fiscales a nombre de aquél
por cuenta de quien se efectúa el gasto.
IX. Los
intereses devengados a favor en el ejercicio, sin ajuste alguno. En el caso de
intereses moratorios, a partir del cuarto mes se acumularán únicamente los
efectivamente cobrados. Para estos efectos, se considera que los ingresos por
intereses moratorios que se perciban con posterioridad al tercer mes siguiente
a aquél en el que el deudor incurrió en mora cubren, en primer término, los intereses
moratorios devengados en los tres meses siguientes a aquél en el que el deudor
incurrió en mora, hasta que el monto percibido exceda al monto de los intereses
moratorios devengados acumulados correspondientes al último periodo citado.
Para
los efectos del párrafo anterior, los intereses moratorios que se cobren se
acumularán hasta el momento en el que los efectivamente cobrados excedan al
monto de los moratorios acumulados en los primeros tres meses y hasta por el
monto en que excedan.
X. El ajuste
anual por inflación que resulte acumulable en los términos del artículo 44 de
esta Ley.
XI. Las
cantidades recibidas en efectivo, en moneda nacional o extranjera, por concepto
de préstamos, aportaciones para futuros aumentos de capital o aumentos de capital
mayores a $600,000.00, cuando no se cumpla con lo previsto en el artículo 76,
fracción XVI de esta Ley.
Tratándose de intereses devengados por residentes en
México o residentes en el extranjero con establecimiento permanente en el país
a favor de residentes en el extranjero, cuyos derechos sean transmitidos a un
residente en México o a un residente en el extranjero con establecimiento
permanente en el país, se considerarán ingresos acumulables cuando éstos
reciban dichos derechos, excepto en el caso en que se demuestre que los
residentes en el extranjero pagaron el impuesto a que se refiere el artículo 166
de esta Ley.
Artículo 19. Para determinar la ganancia por la enajenación de
terrenos, de títulos valor que representen la propiedad de bienes, excepto
tratándose de mercancías, así como de materias primas, productos semiterminados o terminados, así como de otros títulos
valor cuyos rendimientos no se consideran intereses en los términos del
artículo 8 de la presente Ley, de piezas de oro o de plata que hubieran tenido
el carácter de moneda nacional o extranjera y de las piezas denominadas onzas
troy, los contribuyentes restarán del ingreso obtenido por su enajenación el
monto original de la inversión, el cual se podrá ajustar multiplicándolo por el
factor de actualización correspondiente al periodo comprendido desde el mes en
el que se realizó la adquisición y hasta el mes inmediato anterior a aquél en
el que se realice la enajenación.
El ajuste a que se refiere el párrafo anterior no es
aplicable para determinar la ganancia por la enajenación de acciones y
certificados de depósito de bienes o de mercancías.
En el caso de bienes adquiridos con motivo de fusión o
escisión de sociedades, se considerará como monto original de la inversión el
valor de su adquisición por la sociedad fusionada o escindente y como fecha de
adquisición la que les hubiese correspondido a estas últimas.
Artículo 20. En el caso de operaciones financieras derivadas, se
determinará la ganancia acumulable o la pérdida deducible, conforme a lo
siguiente:
I. Cuando
una operación se liquide en efectivo, se considerará como ganancia o como
pérdida, según sea el caso, la diferencia entre la cantidad final que se
perciba o se entregue como consecuencia de la liquidación o, en su caso, del
ejercicio de los derechos u obligaciones contenidas en la operación, y las
cantidades previas que, en su caso, se hayan pagado o se hayan percibido
conforme a lo pactado por celebrar dicha operación o por haber adquirido
posteriormente los derechos o las obligaciones contenidas en la misma, según
sea el caso.
II. Cuando una
operación se liquide en especie con la entrega de mercancías, títulos, valores
o divisas, se considerará que los bienes objeto de la operación se enajenaron o
se adquirieron, según sea el caso, al precio percibido o pagado en la
liquidación, adicionado con la cantidad inicial que se haya pagado o que se
haya percibido por la celebración de dicha operación o por haber adquirido
posteriormente los derechos o las obligaciones consignadas en los títulos o
contratos en los que conste la misma, según corresponda.
III. Cuando los
derechos u obligaciones consignadas en los títulos o contratos en los que
conste una operación financiera derivada sean enajenados antes del vencimiento
de la operación, se considerará como ganancia o como pérdida, según
corresponda, la diferencia entre la cantidad que se perciba por la enajenación
y la cantidad inicial que, en su caso, se haya pagado por su adquisición.
IV. Cuando los
derechos u obligaciones consignadas en los títulos o contratos en los que
conste una operación financiera derivada no se ejerciten a su vencimiento o
durante el plazo de su vigencia, se considerará como ganancia o como pérdida,
según se trate, la cantidad inicial que, en su caso, se haya percibido o pagado
por la celebración de dicha operación o por haber adquirido posteriormente los
derechos y obligaciones contenidas en la misma, según sea el caso.
V. Cuando lo
que se adquiera sea el derecho o la obligación a realizar una operación financiera
derivada, la ganancia o la pérdida se determinará en los términos de este
artículo, en la fecha en que se liquide la operación sobre la cual se adquirió
el derecho u obligación, adicionando, en su caso, a la cantidad inicial a que
se refieren las fracciones anteriores, la cantidad que se hubiere pagado o
percibido por adquirir el derecho u obligación a que se refiere esta fracción.
Cuando no se ejercite el derecho u obligación a realizar la operación
financiera derivada de que se trate en el plazo pactado, se estará a lo
dispuesto en la fracción anterior.
VI. Cuando el
titular del derecho concedido en la operación ejerza el derecho y el obligado
entregue acciones emitidas por él y que no hayan sido suscritas, acciones de
tesorería, dicho obligado no acumulará el precio o la prima que hubiese
percibido por celebrarla ni el ingreso que perciba por el ejercicio del derecho
concedido, debiendo considerar ambos montos como aportaciones a su capital
social.
VII. En las
operaciones financieras derivadas en las que se liquiden diferencias durante su
vigencia, se considerará en cada liquidación como la ganancia o como pérdida,
según corresponda, el monto de la diferencia liquidada. La cantidad que se
hubiere percibido o la que se hubiera pagado por celebrar estas operaciones,
por haber adquirido los derechos o las obligaciones consignadas en ellas o por
haber adquirido el derecho o la obligación a celebrarlas, se sumará o se
restará del monto de la última liquidación para determinar la ganancia o la
pérdida correspondiente a la misma, actualizada por el periodo comprendido
desde el mes en el que se pagó o se percibió y hasta el mes en el que se
efectúe la última liquidación.
VIII. La ganancia
acumulable o la pérdida deducible de las operaciones financieras derivadas
referidas al tipo de cambio de una divisa, se determinará al cierre de cada
ejercicio, aun en el caso de que la operación no haya sido ejercida en virtud
de que su fecha de vencimiento corresponde a un ejercicio posterior. Para estos
efectos, la pérdida o la utilidad se determinará considerando el tipo de cambio
del último día del ejercicio que se declara, que se publique en el Diario
Oficial de la Federación.
Las
cantidades acumuladas o deducidas en los términos de esta fracción, en los
ejercicios anteriores a aquél en el que venza la operación de que se trate, se
disminuirán o se adicionarán, respectivamente, del resultado neto que tenga la
operación en la fecha de su vencimiento; el resultado así obtenido será la
ganancia acumulable o la pérdida deducible, del ejercicio en que ocurra el
vencimiento.
IX. Tratándose
de operaciones financieras derivadas por medio de las cuales una parte entregue
recursos líquidos a otra y esta última, a su vez, garantice la responsabilidad
de readquirir las mercancías, los títulos o las acciones, referidos en la
operación, por un monto igual al entregado por la primera parte más un cargo
proporcional, se considerará dicho cargo proporcional como interés a favor o a
cargo, acumulable o deducible, según corresponda.
En
las operaciones a que se refiere el párrafo anterior, en lo individual o en su
conjunto, según sea el caso, no se considerarán enajenadas ni adquiridas las
mercancías, los títulos o las acciones en cuestión, siempre y cuando se
restituyan a la primera parte a más tardar al vencimiento de las mencionadas
operaciones.
Las
cantidades pagadas o percibidas por las operaciones descritas en esta fracción
no se actualizarán. Las cantidades pagadas y las percibidas se considerarán
créditos o deudas, según corresponda, para los efectos del artículo 44 de esta
Ley.
Para los efectos de este artículo, se consideran
cantidades iniciales, los montos pagados a favor de la contraparte de la
operación financiera derivada por adquirir el derecho contenido en el contrato
respectivo, sin que dicho pago genere interés alguno para la parte que la
pague. Dichas cantidades se actualizarán por el periodo transcurrido entre el
mes en el que se pagaron o se percibieron y aquél en el que la operación
financiera derivada se liquide, llegue a su vencimiento, se ejerza el derecho u
obligación consignada en la misma o se enajene el título en el que conste dicha
operación, según sea el caso. La cantidad que se pague o se perciba por
adquirir el derecho o la obligación a realizar una operación financiera
derivada a que se refiere la fracción V anterior, se actualizará por el periodo
transcurrido entre el mes en el que se pague o se perciba y aquél en el que se
liquide o se ejerza el derecho u obligación consignada en la operación sobre la
cual se adquirió el derecho u obligación.
Las cantidades que una de las partes deposite con la
otra para realizar operaciones financieras derivadas, que representen un activo
para la primera y un pasivo para la segunda, darán lugar al cálculo del ajuste anual
por inflación, de acuerdo a lo establecido en el artículo 44 de esta Ley.
Se dará el tratamiento establecido en esta Ley para
los intereses, a la ganancia o la pérdida proveniente de operaciones
financieras derivadas de deuda.
Cuando durante la vigencia de una operación financiera
derivada de deuda a que se refiere el artículo 16-A del Código Fiscal de la
Federación, se liquiden diferencias entre los precios, del Índice Nacional de
Precios al Consumidor o cualquier otro índice, o de las tasas de interés a los
que se encuentran referidas dichas operaciones, se considerará como interés a
favor o a cargo, según corresponda, el monto de cada diferencia y éstas serán
el interés acumulable o deducible, respectivamente. Cuando en estas operaciones
se hubiere percibido o pagado una cantidad por celebrarla o adquirir el derecho
u obligación a participar en ella, esta cantidad se sumará o se restará, según
se trate, del importe de la última liquidación para determinar el interés a
favor o a cargo correspondiente a dicha liquidación, actualizando dicha
cantidad por el periodo transcurrido entre el mes en el que se pague y el mes
en el que ocurra esta última liquidación.
En las operaciones financieras derivadas de deuda en
las que no se liquiden diferencias durante su vigencia, el interés acumulable o
deducible será el que resulte como ganancia o como pérdida, de conformidad con
este artículo.
Para los efectos de esta Ley, cuando una misma
operación financiera derivada esté referida a varios bienes, a títulos o indicadores,
que la hagan una operación de deuda y de capital, se estará a lo dispuesto en
esta Ley para las operaciones financieras derivadas de deuda, por la totalidad
de las cantidades pagadas o percibidas por la operación financiera de que se
trate.
Artículo 21. Los ingresos percibidos por operaciones financieras
referidas a un subyacente que no cotice en un mercado reconocido de acuerdo a
lo establecido en el artículo 16-C del Código Fiscal de la Federación,
incluyendo las cantidades iniciales que se perciban, se acumularán en el
momento en que sean exigibles o cuando se ejerza la opción, lo que suceda
primero. Las cantidades erogadas relacionadas directamente con dicha operación,
sólo podrán ser deducidas al conocerse el resultado neto de la operación al
momento de su liquidación o vencimiento, independientemente de que no se
ejerzan los derechos u obligaciones consignados en los contratos realizados
para los efectos de este tipo de operaciones.
En el momento de la liquidación o del vencimiento de
cada operación, se deberán deducir las erogaciones autorizadas en esta Ley a
que se refiere el párrafo anterior y determinar la ganancia acumulable o la
pérdida deducible, según se trate, independientemente del momento de
acumulación del ingreso a que se refiere el citado párrafo. Cuando las
cantidades erogadas sean superiores a los ingresos percibidos, en términos del
párrafo anterior, el resultado será la pérdida deducible. El resultado de
restar a los ingresos percibidos las erogaciones en términos del párrafo
anterior, será la ganancia acumulable.
Las personas morales que obtengan pérdida en términos
del párrafo anterior y sean partes relacionadas de la persona que obtuvo la
ganancia en la misma operación, sólo podrán deducir dicha pérdida hasta por un
monto que no exceda de las ganancias que, en su caso, obtenga el mismo
contribuyente que obtuvo la pérdida, en otras operaciones financieras derivadas
cuyo subyacente no cotice en un mercado reconocido, obtenidas en el mismo
ejercicio o en los cinco ejercicios siguientes. La parte de la pérdida que no
se deduzca en un ejercicio, se actualizará por el periodo comprendido desde el
último mes del ejercicio en el que ocurrió y hasta el último mes del ejercicio
inmediato anterior al ejercicio en el que se deducirá. La parte de la pérdida
actualizada que no se hubiera deducido en el ejercicio de que se trate, se
actualizará por el periodo comprendido desde el mes en el que se actualizó por
última vez y hasta el último mes del ejercicio inmediato anterior a aquél en el
que se deducirá. Cuando el contribuyente no deduzca en un ejercicio la pérdida
a que se refiere este artículo, pudiendo haberlo hecho conforme a lo dispuesto
en este artículo, perderá el derecho a hacerlo en ejercicios posteriores, hasta
por la cantidad en la que pudo haberlo efectuado.
Las personas físicas que obtengan pérdidas en
operaciones financieras derivadas cuyo subyacente no cotice en un mercado
reconocido, estarán a lo dispuesto en el último párrafo del artículo 146 de
esta Ley.
Artículo 22. Para determinar la ganancia por enajenación de
acciones, los contribuyentes disminuirán del ingreso obtenido por acción, el
costo promedio por acción de las acciones que enajenen, conforme a lo
siguiente:
I. El costo
promedio por acción, incluirá todas las acciones que el contribuyente tenga de
la misma persona moral en la fecha de la enajenación, aun cuando no enajene
todas ellas. Dicho costo se obtendrá dividiendo el monto original ajustado de
las acciones entre el número total de acciones que tenga el contribuyente a la
fecha de la enajenación.
II. Se
obtendrá el monto original ajustado de las acciones conforme a lo siguiente:
a) Se sumará al
costo comprobado de adquisición actualizado de las acciones que tenga el
contribuyente de la misma persona moral, la diferencia que resulte de restar al
saldo de la cuenta de utilidad fiscal neta que en los términos del artículo 77
de esta Ley tenga la persona moral emisora a la fecha de la enajenación de las
acciones, el saldo que tenía dicha cuenta a la fecha de adquisición, cuando el
primero de los saldos sea mayor, en la parte que corresponda a las acciones que
tenga el contribuyente adquiridas en la misma fecha.
Para
determinar la diferencia a que se refiere el párrafo anterior, los saldos de la
cuenta de utilidad fiscal neta que la persona moral emisora de las acciones que
se enajenan hubiera tenido a las fechas de adquisición y de enajenación de las
acciones, se deberán actualizar por el periodo comprendido desde el mes en el
que se efectuó la última actualización previa a la fecha de la adquisición o de
la enajenación, según se trate, y hasta el mes en el que se enajenen las
acciones.
b) Al resultado
que se obtenga conforme al inciso a) que antecede, se le restarán, las pérdidas
fiscales pendientes de disminuir, los reembolsos pagados, así como la
diferencia a que se refiere el quinto párrafo del artículo 77 de esta Ley, de
la persona moral emisora de las acciones que se enajenan, actualizados.
Las
pérdidas fiscales pendientes de disminuir a que se refiere el párrafo anterior,
serán las que la persona moral de que se trate tenga a la fecha de enajenación,
que correspondan al número de acciones que tenga el contribuyente a la fecha
citada. Dichas pérdidas se actualizarán por el periodo comprendido desde el mes
en el que se efectuó la última actualización y hasta el mes en el que se
efectúe la enajenación de que se trate.
A las
pérdidas fiscales pendientes de disminuir a que se refiere el párrafo anterior,
no se les disminuirá el monto que de dichas pérdidas aplicó la persona moral
para efectos de los pagos provisionales correspondientes a los meses del
ejercicio de que se trate.
Los
reembolsos pagados por la persona moral de que se trate, serán los que
correspondan al número de acciones que tenga el contribuyente al mes en el que
se efectúe la enajenación.
La
diferencia a que se refiere el quinto párrafo del artículo 77 de esta Ley, será
la diferencia pendiente de disminuir que tenga la sociedad emisora a la fecha
de la enajenación y que corresponda al número de acciones que tenga el
contribuyente al mes en el que se efectúe la enajenación.
Las
pérdidas fiscales pendientes de disminuir, los reembolsos y la diferencia, a
que se refiere este inciso, de la persona moral de que se trate, se asignarán
al contribuyente en la proporción que represente el número de acciones que
tenga a la fecha de enajenación de las acciones de dicha persona moral,
correspondientes al ejercicio en el que se obtuvo la pérdida, se pague el
reembolso, o se determine la diferencia citada, según corresponda, respecto del
total de acciones en circulación que tuvo la persona moral mencionada, en el
ejercicio de que se trate.
Las
pérdidas fiscales pendientes de disminuir, los reembolsos pagados y la
diferencia, a que se refiere este inciso, obtenidas, pagados o determinadas,
respectivamente, sólo se considerarán por el periodo comprendido desde el mes
de adquisición de las acciones y hasta la fecha de su enajenación.
III. Al
resultado obtenido conforme a la fracción anterior, se le adicionará el monto
de las pérdidas fiscales que la persona moral emisora de las acciones haya
obtenido en ejercicios anteriores a la fecha en la que el contribuyente
adquirió las acciones de que se trate y que dicha persona moral haya disminuido
de su utilidad fiscal durante el periodo comprendido desde el mes en el que el
contribuyente adquirió dichas acciones y hasta el mes en el que las enajene.
Las
pérdidas a que se refiere el párrafo anterior, se asignarán al contribuyente en
la proporción que represente el número de acciones que tenga de dicha persona
moral a la fecha de la enajenación, correspondientes al ejercicio en el que la
citada persona moral disminuyó dichas pérdidas, respecto del total de acciones
en circulación que tuvo la persona moral mencionada, en el ejercicio de que se
trate.
Cuando
el saldo de la cuenta de utilidad fiscal neta a la fecha de adquisición,
adicionado del monto de los reembolsos pagados, de la diferencia pendiente de
disminuir a que se refiere el quinto párrafo del artículo 77 de esta Ley y de
las pérdidas fiscales pendientes de disminuir, señalados en el inciso b)
fracción II de este artículo, sea mayor que la suma del saldo de la cuenta de
utilidad fiscal neta a la fecha de la enajenación adicionado de las pérdidas
disminuidas a que se refiere el primer párrafo de esta fracción, la diferencia
se disminuirá del costo comprobado de adquisición. Cuando dicha diferencia sea
mayor que el costo comprobado de adquisición, las acciones de que se trata no
tendrán costo promedio por acción para los efectos de este artículo; el
excedente determinado conforme a este párrafo, considerado por acción, se
deberá disminuir, actualizado desde el mes de la enajenación y hasta el mes en
el que se disminuya, del costo promedio por acción que en los términos de este
artículo se determine en la enajenación de acciones inmediata siguiente o
siguientes que realice el contribuyente, aun cuando se trate de emisoras
diferentes.
IV. La
actualización del costo comprobado de adquisición de las acciones, se efectuará
por el periodo comprendido desde el mes de su adquisición y hasta el mes en el
que se enajenen las mismas. Las pérdidas y la diferencia pendiente de disminuir
a que se refiere el quinto párrafo del artículo 77 de esta Ley, se actualizarán
desde el mes en el que se actualizaron por última vez y hasta el mes en el que
se enajenen las acciones. Los reembolsos pagados se actualizarán por el periodo
comprendido desde el mes en el que se pagaron y hasta el mes en el que se
enajenen las acciones.
Para determinar la ganancia en la enajenación de
acciones cuyo periodo de tenencia sea de doce meses o inferior, los
contribuyentes podrán optar por considerar como monto original ajustado de las
mismas, el costo comprobado de adquisición de las acciones disminuido de los
reembolsos y de los dividendos o utilidades pagados, por la persona moral
emisora de las acciones, correspondientes al periodo de tenencia de las
acciones de que se trate, actualizados en los términos de la fracción IV de
este artículo. Tratándose de los dividendos o utilidades pagados, se
actualizarán por el periodo comprendido desde el mes en el que se pagaron y
hasta el mes en el que se enajenen las acciones de que se trate.
Tratándose de acciones emitidas por personas morales
residentes en el extranjero, para determinar el costo promedio por acción a que
se refiere este artículo, se considerará como monto original ajustado de las
acciones, el costo comprobado de adquisición de las mismas disminuido de los
reembolsos pagados, todos estos conceptos actualizados en los términos de la
fracción IV de este artículo.
Cuando, hubiera variado el número de acciones en
circulación de la persona moral emisora de que se trate, y se hubiera mantenido
el mismo importe de su capital social, los contribuyentes deberán aplicar lo
dispuesto en este artículo cuando se enajenen las acciones de que se trate,
siempre que el costo del total de las acciones que se reciban sea igual al que
tenía el paquete accionario que se sustituye.
En los casos en los que el número de acciones de la
persona moral emisora haya variado durante el periodo comprendido entre las
fechas de adquisición y de enajenación de las acciones propiedad de los
contribuyentes, éstos determinarán la diferencia entre los saldos de la cuenta
de utilidad fiscal neta de la persona moral emisora, las pérdidas, los
reembolsos y la diferencia pendiente de disminuir a que se refiere el quinto
párrafo del artículo 77 de esta Ley, por cada uno de los periodos transcurridos
entre las fechas de adquisición y de enajenación de las acciones, en los que se
haya mantenido el mismo número de acciones. Tratándose de la diferencia de los
saldos de la cuenta de utilidad fiscal neta, se restará el saldo al final del
periodo del saldo al inicio del mismo, actualizados ambos a la fecha de
enajenación de las acciones.
La diferencia de los saldos de la cuenta de utilidad
fiscal neta a que se refiere el párrafo anterior, así como las pérdidas
fiscales, los reembolsos pagados y la diferencia a que se refiere el quinto
párrafo del artículo 77 de esta Ley pendiente de disminuir, por cada periodo,
se dividirán entre el número de acciones de la persona moral existente en el
mismo periodo y el cociente así obtenido se multiplicará por el número de
acciones propiedad del contribuyente en dicho periodo. Los resultados así
obtenidos se sumarán o restarán, según sea el caso.
Las sociedades emisoras deberán proporcionar a los
socios que lo soliciten, una constancia con la información necesaria para
determinar los ajustes a que se refiere este artículo dicha constancia deberá
contener los datos asentados en el comprobante fiscal que al efecto hayan
emitido. Tratándose de acciones inscritas en el Registro Nacional de Valores,
la sociedad emisora de las acciones, independientemente de la obligación de dar
la constancia a los accionistas, deberá proporcionar esta información a la
Comisión Nacional Bancaria y de Valores en la forma y términos que señalen las
autoridades fiscales. La contabilidad y documentación correspondiente a dicha
información se deberá conservar durante el plazo previsto por el artículo 30
del Código Fiscal de la Federación, contado a partir de la fecha en la que se
emita dicha constancia.
Cuando una persona moral adquiera de una persona
física o de un residente en el extranjero, acciones de otra emisora, el
accionista de la persona moral adquirente no considerará dentro del costo
comprobado de adquisición el importe de los dividendos o utilidades que se
hayan generado con anterioridad a la fecha de adquisición y que, directa o
indirectamente, ya se hayan considerado como parte del costo comprobado de
adquisición de las acciones adquiridas de la persona física o del residente en
el extranjero. Para los efectos de la información que debe proporcionar a sus
accionistas en los términos de este artículo, la persona moral adquirente
mencionada disminuirá dichas utilidades o dividendos, actualizados del saldo de
la cuenta de utilidad fiscal neta que tenga a la fecha de la enajenación de las
acciones de la misma. La actualización de las utilidades o dividendos se
efectuará desde el mes en el que se adicionaron a la cuenta de utilidad fiscal
neta y hasta el mes en el que se efectúe la enajenación de que se trate.
Cuando en este artículo se haga referencia a
reembolsos pagados, se entenderán incluidas las amortizaciones y las
reducciones de capital, a que se refiere el artículo 78 del presente
ordenamiento. En estos casos, los contribuyentes únicamente considerarán las
amortizaciones, reembolsos o reducciones de capital, que les correspondan a las
acciones que no se hayan cancelado, con motivo de dichas operaciones.
Lo dispuesto en este artículo también será aplicable
cuando se enajenen los derechos de participación, cualquiera que sea el nombre
con el que se les designe, en una asociación en participación, cuando a través
de ésta se realicen actividades empresariales. En este caso, se considerará
como costo comprobado de adquisición el valor actualizado de la aportación
realizada por el enajenante a dicha asociación en participación o la cantidad
que éste hubiese pagado por su participación. Para estos efectos, la diferencia
de los saldos de la cuenta de utilidad fiscal neta a que se refiere el inciso
a) de la fracción II de este artículo, las pérdidas fiscales pendientes de
disminuir, los reembolsos pagados y la diferencia a que se refiere el quinto
párrafo del artículo 77 de esta Ley, todos estos conceptos contenidos en el
inciso b) de la citada fracción, se considerarán en la proporción en la que se
hubiese acordado la distribución de las utilidades en el convenio
correspondiente.
Artículo 23. Las acciones propiedad del contribuyente por las que
ya se hubiera calculado el costo promedio tendrán como costo comprobado de
adquisición en enajenaciones subsecuentes, el costo promedio por acción
determinado conforme al cálculo efectuado en la enajenación inmediata anterior
de acciones de la misma persona moral. En este caso, se considerará como fecha
de adquisición de las acciones, para efectos de considerar los conceptos que se
suman y se restan en los términos de las fracciones II y III del artículo 22 de
esta Ley, así como para la actualización de dichos conceptos, el mes en el que
se hubiera efectuado la enajenación inmediata anterior de acciones de la misma
persona moral. Para determinar la diferencia entre los saldos de la cuenta de
utilidad fiscal neta a que se refiere el inciso a) de la fracción II del
artículo citado, se considerará como saldo de la referida cuenta a la fecha de
adquisición, el saldo de la cuenta de utilidad fiscal neta que hubiera
correspondido a la fecha de la enajenación inmediata anterior de las acciones
de la misma persona moral.
Para los efectos del artículo 22 de esta Ley, se
considera costo comprobado de adquisición de las acciones emitidas por las
sociedades escindidas, el que se derive de calcular el costo promedio por
acción que tenían las acciones canjeadas de la sociedad escindente por cada
accionista a la fecha de dicho acto, en los términos del artículo anterior, y
como fecha de adquisición la del canje.
El costo comprobado de adquisición de las acciones
emitidas por la sociedad fusionante o por la que
surja como consecuencia de la fusión, será el que se derive de calcular el
costo promedio por acción que hubieran tenido las acciones que se canjearon por
cada accionista, en los términos del artículo anterior, y la fecha de
adquisición será la del canje.
En el caso de fusión o escisión de sociedades, las
acciones que adquieran las sociedades fusionantes o
las escindidas, como parte de los bienes transmitidos, tendrán como costo
comprobado de adquisición el costo promedio por acción que tenían en las
sociedades fusionadas o escindentes, al momento de la fusión o escisión.
Se considerará que no tienen costo comprobado de
adquisición, las acciones obtenidas por el contribuyente por capitalizaciones
de utilidades o de otras partidas integrantes del capital contable o por
reinversiones de dividendos o utilidades efectuadas dentro de los 30 días
naturales siguientes a su distribución.
Lo dispuesto en el párrafo anterior no será aplicable
a las acciones adquiridas por el contribuyente antes del 1 de enero de 1989 y
cuya acción que les dio origen hubiera sido enajenada con anterioridad a la
fecha mencionada, en cuyo caso se podrá considerar como costo comprobado de adquisición
el valor nominal de la acción de que se trate.
Artículo 24. Las autoridades fiscales autorizarán la enajenación
de acciones a costo fiscal en los casos de reestructuración de sociedades
constituidas en México pertenecientes a un mismo grupo, siempre que se cumpla
con los siguientes requisitos:
I. El costo
promedio de las acciones respecto de las cuales se formule la solicitud se
determine, a la fecha de la enajenación, conforme a lo dispuesto en los
artículos 22 y 23 de esta Ley, distinguiéndolas por enajenante, emisora y
adquirente, de las mismas.
II. Las
acciones que reciba el solicitante por las acciones que enajena permanezcan en
propiedad directa del adquirente y dentro del mismo grupo, por un periodo no
menor de dos años, contados a partir de la fecha de la autorización a que se
refiere este artículo.
III. Las
acciones que reciba el solicitante por las acciones que enajene, representen en
el capital suscrito y pagado de la sociedad emisora de las acciones que recibe,
el mismo por ciento que las acciones que enajena representarían antes de la
enajenación, sobre el total del capital contable consolidado de las sociedades
emisoras de las acciones que enajena y de las que recibe, tomando como base los
estados financieros consolidados de las sociedades que intervienen en la
operación, que para estos efectos deberán elaborarse en los términos que
establezca el Reglamento de esta Ley, precisando en cada caso las bases
conforme a las cuales se determinó el valor de las acciones, en relación con el
valor total de las mismas.
IV. La sociedad
emisora de las acciones que el solicitante reciba por la enajenación, levante
acta de asamblea con motivo de la suscripción y pago de capital con motivo de
las acciones que reciba, protocolizada ante fedatario público, haciéndose
constar en dicha acta la información relativa a la operación que al efecto se
establezca en el Reglamento de esta Ley. La sociedad emisora deberá remitir
copia de dicha acta a las autoridades fiscales en un plazo no mayor de 30 días
contados a partir de la protocolización.
V. La
contraprestación que se derive de la enajenación consista en el canje de
acciones emitidas por la sociedad adquirente de las acciones que transmite.
VI. El aumento
en el capital social que registre la sociedad adquirente de las acciones que se
enajenan, sea por el monto que represente el costo fiscal de las acciones que
se transmiten.
VII. Se presente un dictamen, por contador público
registrado ante las autoridades fiscales, en el que se señale el costo comprobado
de adquisición ajustado de acciones de conformidad con los artículos 22 y 23 de
esta Ley, a la fecha de adquisición.
VIII. El monto
original ajustado del total de las acciones enajenadas, determinado conforme a
la fracción VII de este artículo al momento de dicha enajenación, se distribuya
proporcionalmente a las acciones que se reciban en los términos de la fracción
III del mismo artículo.
IX. Las
sociedades que participen en la reestructuración se dictaminen en los términos
del artículo 32-A del Código Fiscal de la Federación o presenten la declaración
informativa sobre su situación fiscal en los términos del artículo 32-H del
citado Código, cuando estén obligadas a ello, en el ejercicio en que se realice
dicha reestructuración.
X. Se
demuestre que la participación en el capital social de las sociedades emisoras
de las acciones que se enajenan, se mantiene en el mismo por ciento por la
sociedad que controle al grupo o por la empresa que, en su caso, se constituya
para tal efecto.
En el caso de incumplimiento de cualesquiera de los
requisitos a que se refiere este artículo, se deberá pagar el impuesto
correspondiente a la enajenación de acciones, considerando el valor en que
dichas acciones se hubieran enajenado entre partes independientes en operaciones
comparables o bien, considerando el valor que se determine mediante avalúo
practicado por persona autorizada por las autoridades fiscales. El impuesto que
así se determine lo pagará el enajenante, actualizado desde la fecha en la que
se efectuó la enajenación y hasta la fecha en la que se pague.
Para los efectos de este artículo, se considera grupo,
el conjunto de sociedades cuyas acciones con derecho a voto representativas del
capital social sean propiedad directa o indirecta de las mismas personas en por
lo menos el 51%. Para estos efectos, no se computarán las acciones que se
consideran colocadas entre el gran público inversionista de conformidad con las
reglas que al efecto expida el Servicio de Administración Tributaria, siempre
que dichas acciones hayan sido efectivamente ofrecidas y colocadas entre el
gran público inversionista. No se consideran colocadas entre el gran público
inversionista las acciones que hubiesen sido recompradas por el emisor.
CAPÍTULO II
DE LAS DEDUCCIONES
SECCIÓN I
DE LAS DEDUCCIONES EN GENERAL
Artículo 25. Los contribuyentes podrán efectuar las deducciones
siguientes:
I. Las
devoluciones que se reciban o los descuentos o bonificaciones que se hagan en
el ejercicio.
II. El costo
de lo vendido.
III. Los gastos
netos de descuentos, bonificaciones o devoluciones.
IV. Las
inversiones.
V. Los
créditos incobrables y las pérdidas por caso fortuito, fuerza mayor o por
enajenación de bienes distintos a los que se refiere la fracción II de este
artículo.
VI. Las cuotas
a cargo de los patrones pagadas al Instituto Mexicano del Seguro Social,
incluidas las previstas en la Ley del Seguro de Desempleo.
VII. Los
intereses devengados a cargo en el ejercicio, sin ajuste alguno. En el caso de
los intereses moratorios, a partir del cuarto mes se deducirán únicamente los
efectivamente pagados. Para estos efectos, se considera que los pagos por
intereses moratorios que se realicen con posterioridad al tercer mes siguiente
a aquél en el que se incurrió en mora cubren, en primer término, los intereses
moratorios devengados en los tres meses siguientes a aquél en el que se
incurrió en mora, hasta que el monto pagado exceda al monto de los intereses
moratorios devengados deducidos correspondientes al último periodo citado.
VIII. El ajuste
anual por inflación que resulte deducible en los términos del artículo 44 de
esta Ley.
IX. Los
anticipos y los rendimientos que paguen las sociedades cooperativas de
producción, así como los anticipos que entreguen las sociedades y asociaciones
civiles a sus miembros, cuando los distribuyan en los términos de la fracción
II del artículo 94 de esta Ley.
X. Las
aportaciones efectuadas para la creación o incremento de reservas para fondos
de pensiones o jubilaciones del personal, complementarias a las que establece
la Ley del Seguro Social, y de primas de antigüedad constituidas en los
términos de esta Ley. El monto de la deducción a que se refiere esta fracción
no excederá en ningún caso a la cantidad que resulte de aplicar el factor de
0.47 al monto de la aportación realizada en el ejercicio de que se trate. El
factor a que se refiere este párrafo será del 0.53 cuando las prestaciones
otorgadas por los contribuyentes a favor de sus trabajadores que a su vez sean
ingresos exentos para dichos trabajadores, en el ejercicio de que se trate, no
disminuyan respecto de las otorgadas en el ejercicio fiscal inmediato anterior.
Cuando por los gastos a que se refiere la fracción III
de este artículo, los contribuyentes hubieran pagado algún anticipo, éste será
deducible siempre que se cumpla con los requisitos establecidos en el artículo
27, fracción XVIII de esta Ley.
Artículo 26. Tratándose de personas morales residentes en el
extranjero, así como de cualquier entidad que se considere como persona moral
para efectos impositivos en su país, que tengan uno o varios establecimientos
permanentes en el país, podrán efectuar las deducciones que correspondan a las
actividades del establecimiento permanente, ya sea las erogadas en México o en
cualquier otra parte, siempre que se cumplan los requisitos establecidos en
esta Ley y en su Reglamento.
Cuando las personas a que se refiere el párrafo
anterior, residan en un país con el que México tenga en vigor un tratado para
evitar la doble tributación, se podrán deducir los gastos que se prorrateen con
la oficina central o sus establecimientos, siempre que tanto la oficina central
como el establecimiento, en el que se realice la erogación, residan también en
un país con el que México tenga en vigor un tratado para evitar la doble tributación
y tenga un acuerdo amplio de intercambio de información y además se cumpla con
los requisitos que al efecto establezca el Reglamento de esta Ley.
No serán deducibles las remesas que efectúe el
establecimiento permanente ubicado en México a la oficina central de la
sociedad o a otro establecimiento de ésta en el extranjero, aun cuando dichas
remesas se hagan a título de regalías, honorarios, o pagos similares, a cambio
del derecho de utilizar patentes u otros derechos, o a título de comisiones por
servicios concretos o por gestiones hechas o por intereses por dinero enviado
al establecimiento permanente.
Los establecimientos permanentes de empresas
residentes en el extranjero que se dediquen al transporte internacional aéreo o
terrestre, en lugar de las deducciones establecidas en el artículo 25 de esta
Ley, efectuarán la deducción de la parte proporcional del gasto promedio que
por sus operaciones haya tenido en el mismo ejercicio dicha empresa,
considerando la oficina central y todos sus establecimientos. Cuando el
ejercicio fiscal de dichas empresas residentes en el extranjero no coincida con
el año de calendario, efectuarán la deducción antes citada considerando el
último ejercicio terminado de la empresa.
Para los efectos del párrafo anterior, el gasto
promedio se determinará dividiendo la utilidad obtenida en el ejercicio por la
empresa en todos sus establecimientos antes del pago del impuesto sobre la
renta, entre el total de los ingresos percibidos en el mismo ejercicio; el
cociente así obtenido se restará de la unidad y el resultado será el factor de
gasto aplicable a los ingresos atribuibles al establecimiento en México. Cuando
en el ejercicio la totalidad de los ingresos de la empresa sean menores a la
totalidad de los gastos de todos sus establecimientos, el factor de gasto
aplicable a los ingresos será igual a 1.00.
Artículo 27. Las deducciones autorizadas en este Título deberán
reunir los siguientes requisitos:
I. Ser
estrictamente indispensables para los fines de la actividad del contribuyente,
salvo que se trate de donativos no onerosos ni remunerativos, que satisfagan
los requisitos previstos en esta Ley y en las reglas generales que para el
efecto establezca el Servicio de Administración Tributaria y que se otorguen en
los siguientes casos:
a) A la
Federación, entidades federativas o municipios, sus organismos descentralizados
que tributen conforme al Título III de la presente Ley, así como a los
organismos internacionales de los que México sea miembro de pleno derecho,
siempre que los fines para los que dichos organismos fueron creados
correspondan a las actividades por las que se puede obtener autorización para
recibir donativos deducibles de impuestos.
b) A las entidades
a las que se refiere el artículo 82 de esta Ley.
c) A las personas
morales a que se refieren los artículos 79, fracción XIX y 82 de esta Ley.
d) A las personas
morales a las que se refieren las fracciones VI, X, XI, XX, y XXV del artículo
79 de esta Ley y que cumplan con los requisitos establecidos en el artículo 82
de la misma Ley.
e) A las
asociaciones y sociedades civiles que otorguen becas y cumplan con los
requisitos del artículo 83 de esta Ley.
f) Se deroga.
Inciso derogado DOF 08-12-2020
El
Servicio de Administración Tributaria publicará en el Diario Oficial de la
Federación y dará a conocer en su página electrónica de Internet los datos de
las instituciones a que se refieren los incisos b), c), d) y e) de esta
fracción que reúnan los requisitos antes señalados.
Tratándose
de donativos otorgados a instituciones de enseñanza autorizadas para recibir
donativos del Título III de esta Ley, los mismos serán deducibles siempre que
sean establecimientos públicos o de propiedad de particulares que tengan
autorización o reconocimiento de validez oficial de estudios en los términos de
la Ley General de Educación, se destinen a la adquisición de bienes de
inversión, a la investigación científica o al desarrollo de tecnología, así
como a gastos de administración hasta por el monto, en este último caso, que
señale el Reglamento de esta Ley, se trate de donaciones no onerosas ni
remunerativas y siempre que dichas instituciones no hayan distribuido
remanentes a sus socios o integrantes en los últimos cinco años.
El
monto total de los donativos a que se refiere esta fracción será deducible
hasta por una cantidad que no exceda del 7% de la utilidad fiscal obtenida por
el contribuyente en el ejercicio inmediato anterior a aquél en el que se
efectúe la deducción. Cuando se realicen donativos a favor de la Federación, de
las entidades federativas, de los municipios, o de sus organismos
descentralizados, el monto deducible no podrá exceder del 4% de la utilidad
fiscal a que se refiere este párrafo, sin que en ningún caso el límite de la
deducción total, considerando estos donativos y los realizados a donatarias
autorizadas distintas, exceda del 7% citado.
II. Que cuando
esta Ley permita la deducción de inversiones se proceda en los términos de la
Sección II de este Capítulo.
III. Estar
amparadas con un comprobante fiscal y que los pagos cuyo monto exceda de
$2,000.00 se efectúen mediante transferencia electrónica de fondos desde
cuentas abiertas a nombre del contribuyente en instituciones que componen el
sistema financiero y las entidades
que para tal efecto autorice el Banco de México; cheque nominativo de la cuenta del contribuyente, tarjeta de
crédito, de débito, de servicios, o los denominados monederos electrónicos
autorizados por el Servicio de Administración Tributaria.
Tratándose
de la adquisición de combustibles para vehículos marítimos, aéreos y
terrestres, el pago deberá efectuarse en
la forma señalada en el párrafo anterior, aun cuando la contraprestación de
dichas adquisiciones no excedan de $2,000.00.
Las
autoridades fiscales podrán liberar de la obligación de pagar las erogaciones a
través de los medios establecidos en el primer párrafo de esta fracción, cuando
las mismas se efectúen en poblaciones o en zonas rurales, sin servicios
financieros.
Los
pagos que se efectúen mediante cheque nominativo, deberán contener la clave en
el registro federal de contribuyentes de quien lo expide, así como en el
anverso del mismo la expresión "para abono en cuenta del
beneficiario".
IV. Estar
debidamente registradas en contabilidad y que sean restadas una sola vez.
V. Cumplir
con las obligaciones establecidas en esta Ley y las demás disposiciones
fiscales en materia de retención y entero de impuestos a cargo de terceros o
que, en su caso, se recabe de éstos copia de los documentos en que conste el
pago de dichos impuestos. Tratándose de pagos al extranjero, éstos sólo se
podrán deducir siempre que el contribuyente proporcione la información a que
esté obligado en los términos del artículo 76 de esta Ley.
Párrafo reformado DOF 09-12-2019
Los
pagos que a la vez sean ingresos en los términos del Capítulo I del Título IV,
de esta Ley, se podrán deducir siempre que las erogaciones por concepto de
remuneración, las retenciones correspondientes y las deducciones del impuesto
local por salarios y, en general, por la prestación de un servicio personal
independiente, consten en comprobantes fiscales emitidos en términos del Código
Fiscal de la Federación y se cumpla con las obligaciones a que se refiere el
artículo 99, fracciones I, II, III y V de la presente Ley, así como las disposiciones
que, en su caso, regulen el subsidio para el empleo y los contribuyentes
cumplan con la obligación de inscribir a los trabajadores en el Instituto
Mexicano del Seguro Social cuando estén obligados a ello, en los términos de
las leyes de seguridad social.
Tratándose de la prestación de servicios
especializados o de la ejecución de obras especializadas a que se refiere el
artículo 15-D, tercer párrafo del Código Fiscal de
Párrafo adicionado DOF 23-04-2021
Reforma DOF 09-12-2019: Derogó de la
fracción el entonces párrafo tercero (antes adicionado DOF 30-11-2016)
VI. Que cuando
los pagos cuya deducción se pretenda realizar se hagan a contribuyentes que
causen el impuesto al valor agregado, dicho impuesto se traslade en forma
expresa y por separado en el comprobante fiscal correspondiente. Asimismo,
deberán cumplir con la obligación de retención y entero del impuesto al valor agregado
que, en su caso, se establezca en la Ley de la materia.
Párrafo reformado DOF 09-12-2019
En
los casos en los que las disposiciones fiscales establezcan la obligación de
adherir marbetes o precintos en los envases y recipientes que contengan los productos
que se adquieran, la deducción a que se refiere la fracción II del artículo 25
de esta Ley, sólo podrá efectuarse cuando dichos productos tengan adherido el
marbete o precinto correspondiente.
VII. Que en el
caso de intereses por capitales tomados en préstamo, éstos se hayan invertido
en los fines del negocio. Cuando el contribuyente otorgue préstamos a terceros,
a sus trabajadores o a sus funcionarios, o a sus socios o accionistas, sólo
serán deducibles los intereses que se devenguen de capitales tomados en
préstamos hasta por el monto de la tasa más baja de los intereses estipulados
en los préstamos a terceros, a sus trabajadores o a sus socios o accionistas,
en la porción del préstamo que se hubiera hecho a éstos y expida y entregue
comprobante fiscal a quienes haya otorgado el préstamo; los cuales podrán
utilizarse como constancia de recibo si en alguna de estas operaciones no se
estipularan intereses, no procederá la deducción respecto al monto proporcional
de los préstamos hechos a las personas citadas. Estas últimas limitaciones no
rigen para instituciones de crédito, sociedades financieras de objeto múltiple
reguladas u organizaciones auxiliares del crédito, en la realización de las
operaciones propias de su objeto.
Párrafo reformado DOF 18-11-2015
En el
caso de capitales tomados en préstamo para la adquisición de inversiones o para
la realización de gastos o cuando las inversiones o los gastos se efectúen a
crédito, y para los efectos de esta Ley dichas inversiones o gastos no sean
deducibles o lo sean parcialmente, los intereses que se deriven de los
capitales tomados en préstamo o de las operaciones a crédito, sólo serán
deducibles en la misma proporción en la que las inversiones o gastos lo sean.
Tratándose
de los intereses derivados de los préstamos a que se refiere la fracción III
del artículo 143 de la presente Ley, éstos se deducirán hasta que se paguen en
efectivo, en bienes o en servicios.
VIII. Que
tratándose de pagos que a su vez sean ingresos de contribuyentes personas
físicas, de los contribuyentes a que se refieren los artículos 72, 73, 74 y 196
de esta Ley, así como de aquéllos realizados a los contribuyentes a que hace
referencia el último párrafo de la fracción I del artículo 17 de esta Ley y de
los donativos, éstos sólo se deduzcan cuando hayan sido efectivamente erogados
en el ejercicio de que se trate, se entenderán como efectivamente erogados
cuando hayan sido pagados en efectivo, mediante transferencias electrónicas de
fondos desde cuentas abiertas a nombre del contribuyente en instituciones que
componen el sistema financiero y las entidades que para tal efecto autorice el
Banco de México; o en otros bienes que no sean títulos de crédito. Tratándose
de pagos con cheque, se considerará efectivamente erogado en la fecha en la que
el mismo haya sido cobrado o cuando los contribuyentes transmitan los cheques a
un tercero, excepto cuando dicha transmisión sea en procuración. También se
entiende que es efectivamente erogado cuando el interés del acreedor queda
satisfecho mediante cualquier forma de extinción de las obligaciones.
Párrafo reformado DOF 18-11-2015,
30-11-2016
Cuando
los pagos a que se refiere el párrafo anterior se efectúen con cheque, la
deducción se efectuará en el ejercicio en que éste se cobre, siempre que entre
la fecha consignada en el comprobante fiscal que se haya expedido y la fecha en
que efectivamente se cobre dicho cheque no hayan transcurrido más de cuatro
meses, excepto cuando ambas fechas correspondan al mismo ejercicio.
IX. Que
tratándose de honorarios o gratificaciones a administradores, comisarios,
directores, gerentes generales o miembros del consejo directivo, de vigilancia,
consultivos o de cualquiera otra índole, éstos se determinen, en cuanto a monto
total y percepción mensual o por asistencia, afectando en la misma forma los
resultados del contribuyente y satisfagan los supuestos siguientes:
a) Que el importe
anual establecido para cada persona no sea superior al sueldo anual devengado
por el funcionario de mayor jerarquía de la sociedad.
b) Que el importe
total de los honorarios o gratificaciones establecidos, no sea superior al
monto de los sueldos y salarios anuales devengados por el personal del
contribuyente.
c) Que no excedan
del 10% del monto total de las otras deducciones del ejercicio.
X. Que en los
casos de asistencia técnica, de transferencia de tecnología o de regalías, se
compruebe ante las autoridades fiscales que quien proporciona los
conocimientos, cuenta con elementos técnicos propios para ello; que se preste
en forma directa y no a través de terceros, excepto en los casos en que los
pagos se hagan a residentes en México, y en el contrato respectivo se haya
pactado que la prestación se efectuará por un tercero autorizado; y que no
consista en la simple posibilidad de obtenerla, sino en servicios que
efectivamente se lleven a cabo.
XI. Que cuando
se trate de gastos de previsión social, las prestaciones correspondientes se
otorguen en forma general en beneficio de todos los trabajadores. Tratándose de
vales de despensa otorgados a los trabajadores, serán deducibles siempre que su
entrega se realice a través de los monederos electrónicos que al efecto
autorice el Servicio de Administración Tributaria.
Para
los efectos del párrafo anterior, tratándose de trabajadores sindicalizados se
considera que las prestaciones de previsión social se otorgan de manera general
cuando las mismas se establecen de acuerdo a los contratos colectivos de
trabajo o contratos ley.
Cuando
una persona moral tenga dos o más sindicatos, se considera que las prestaciones
de previsión social se otorgan de manera general siempre que se otorguen de
acuerdo con los contratos colectivos de trabajo o contratos ley y sean las
mismas para todos los trabajadores del mismo sindicato, aun cuando éstas sean
distintas en relación con las otorgadas a los trabajadores de otros sindicatos
de la propia persona moral, de acuerdo con sus contratos colectivos de trabajo
o contratos ley.
En el
caso de las aportaciones a los fondos de ahorro, éstas sólo serán deducibles cuando,
además de ser generales en los términos de los párrafos anteriores, el monto de
las aportaciones efectuadas por el contribuyente sea igual al monto aportado
por los trabajadores, la aportación del contribuyente no exceda del trece por
ciento del salario del trabajador, sin que en ningún caso dicha aportación
exceda del monto equivalente de 1.3 veces el salario mínimo general elevado al
año y siempre que se cumplan los requisitos de permanencia que se establezcan
en el Reglamento de esta Ley.
Párrafo reformado DOF 18-11-2015
Los
pagos de primas de seguros de vida que se otorguen en beneficio de los
trabajadores, serán deducibles sólo cuando los beneficios de dichos seguros
cubran la muerte del titular o en los casos de invalidez o incapacidad del titular
para realizar un trabajo personal remunerado de conformidad con las leyes de
seguridad social, que se entreguen como pago único o en las parcialidades que
al efecto acuerden las partes. Serán deducibles los pagos de primas de seguros
de gastos médicos que efectúe el contribuyente en beneficio de los
trabajadores.
Tratándose
de las prestaciones de previsión social a que se refiere el párrafo anterior,
se considera que éstas son generales cuando sean las mismas para todos los
trabajadores de un mismo sindicato o para todos los trabajadores no
sindicalizados, aun cuando dichas prestaciones sólo se otorguen a los
trabajadores sindicalizados o a los trabajadores no sindicalizados.
Párrafo reformado DOF 18-11-2015
Reforma DOF 18-11-2015: Derogó de la
fracción los entonces párrafos cuarto y octavo
XII. Que los
pagos de primas por seguros o fianzas se hagan conforme a las leyes de la
materia y correspondan a conceptos que esta Ley señala como deducibles o que en
otras leyes se establezca la obligación de contratarlos y siempre que,
tratándose de seguros, durante la vigencia de la póliza no se otorguen
préstamos a persona alguna, por parte de la aseguradora, con garantía de las
sumas aseguradas, de las primas pagadas o de las reservas matemáticas.
En
los casos en que los seguros tengan por objeto otorgar beneficios a los
trabajadores, deberá observarse lo dispuesto en la fracción anterior. Si
mediante el seguro se trata de resarcir al contribuyente de la disminución que
en su productividad pudiera causar la muerte, accidente o enfermedad, de
técnicos o dirigentes, la deducción de las primas procederá siempre que el
seguro se establezca en un plan en el cual se determine el procedimiento para
fijar el monto de la prestación y se satisfagan los plazos y los requisitos que
se fijen en disposiciones de carácter general.
XIII. Que el costo
de adquisición declarado o los intereses que se deriven de créditos recibidos
por el contribuyente, correspondan a los de mercado. Cuando excedan del precio
de mercado no será deducible el excedente.
XIV. Que en el
caso de adquisición de mercancías de importación, se compruebe que se
cumplieron los requisitos legales para su importación. Se considerará como
monto de dicha adquisición el que haya sido declarado con motivo de la importación.
XV. Que en el
caso de pérdidas por créditos incobrables, éstas se consideren realizadas en el
mes en el que se consuma el plazo de prescripción, que corresponda, o antes si
fuera notoria la imposibilidad práctica de cobro.
Para
los efectos de este artículo, se considera que existe notoria imposibilidad
práctica de cobro, entre otros, en los siguientes casos:
a) Tratándose de
créditos cuya suerte principal al día de su vencimiento no exceda de treinta
mil unidades de inversión, cuando en el plazo de un año contado a partir de que
incurra en mora, no se hubiera logrado su cobro. En este caso, se considerarán
incobrables en el mes en que se cumpla un año de haber incurrido en mora.
Cuando se
tengan dos o más créditos con una misma persona física o moral de los señalados
en el párrafo anterior, se deberá sumar la totalidad de los créditos otorgados
para determinar si éstos no exceden del monto a que se refiere dicho párrafo.
Lo
dispuesto en el inciso a) de esta fracción será aplicable tratándose de
créditos contratados con el público en general, cuya suerte principal al día de
su vencimiento se encuentre entre cinco mil pesos y treinta mil unidades de
inversión, siempre que el contribuyente de acuerdo con las reglas de carácter
general que al respecto emita el Servicio de Administración Tributaria informe
de dichos créditos a las sociedades de información crediticia que obtengan
autorización de la Secretaría de Hacienda y Crédito Público de conformidad con
la Ley para Regular las Sociedades de Información Crediticia.
Lo
dispuesto en el inciso a) de esta fracción será aplicable cuando el deudor del
crédito de que se trate sea contribuyente que realiza actividades empresariales
y el acreedor informe por escrito al deudor de que se trate, que efectuará la
deducción del crédito incobrable, a fin de que el deudor acumule el ingreso
derivado de la deuda no cubierta en los términos de esta Ley. Los
contribuyentes que apliquen lo dispuesto en este párrafo, deberán informar a
más tardar el 15 de febrero de cada año de los créditos incobrables que
dedujeron en los términos de este párrafo en el año de calendario inmediato
anterior.
b) Tratándose de
créditos cuya suerte principal al día de su vencimiento sea mayor a treinta mil
unidades de inversión cuando el acreedor haya demandado ante la autoridad
judicial el pago del crédito o se haya iniciado el procedimiento arbitral
convenido para su cobro y además se cumpla con lo previsto en el párrafo final
del inciso anterior.
c) Se compruebe
que el deudor ha sido declarado en quiebra o concurso. En el primer supuesto,
debe existir sentencia que declare concluida la quiebra por pago concursal o
por falta de activos.
Tratándose
de las Instituciones de Crédito, se considera que existe notoria imposibilidad
práctica de cobro en la cartera de créditos, cuando dicha cartera sea castigada
de conformidad con las disposiciones establecidas por la Comisión Nacional
Bancaria y de Valores.
Para
los efectos del artículo 44 de esta Ley, los contribuyentes que deduzcan
créditos por incobrables, los deberán considerar cancelados en el último mes de
la primera mitad del ejercicio en que se deduzcan.
Tratándose
de cuentas por cobrar que tengan una garantía hipotecaria, solamente será
deducible el cincuenta por ciento del monto cuando se den los supuestos a que
se refiere el inciso b) anterior. Cuando el deudor efectúe el pago del adeudo o
se haga la aplicación del importe del remate a cubrir el adeudo, se hará la
deducción del saldo de la cuenta por cobrar o en su caso la acumulación del
importe recuperado.
XVI. Que
tratándose de remuneraciones a empleados o a terceros, que estén condicionadas
al cobro de los abonos en las enajenaciones a plazos o en los contratos de
arrendamiento financiero en los que hayan intervenido, éstos se deduzcan en el
ejercicio en el que dichos abonos o ingresos se cobren, siempre que se
satisfagan los demás requisitos de esta Ley.
XVII. Que tratándose
de pagos efectuados a comisionistas y mediadores residentes en el extranjero,
se cumpla con los requisitos de información y documentación que señale el
Reglamento de esta Ley.
XVIII. Que al realizar
las operaciones correspondientes o a más tardar el último día del ejercicio se
reúnan los requisitos que para cada deducción en particular establece esta Ley.
Tratándose del comprobante fiscal a que se refiere el primer párrafo de la
fracción III de este artículo, éste se obtenga a más tardar el día en que el
contribuyente deba presentar su declaración. Respecto de la documentación
comprobatoria de las retenciones y de los pagos a que se refieren las
fracciones V y VI de este artículo, respectivamente, los mismos se realicen en
los plazos que al efecto establecen las disposiciones fiscales, y la
documentación comprobatoria se obtenga en dicha fecha. Tratándose de las
declaraciones informativas a que se refieren los artículos 76 de esta Ley, y
32, fracciones V y VIII de la Ley del Impuesto al Valor Agregado, éstas se
deberán presentar en los plazos que al efecto establece el citado artículo 76 y
contar a partir de esa fecha con los comprobantes fiscales correspondientes.
Además, la fecha de expedición de los comprobantes fiscales de un gasto
deducible deberá corresponder al ejercicio por el que se efectúa la deducción.
Tratándose
de anticipos por los gastos a que se refiere la fracción III del artículo 25 de
esta Ley, éstos serán deducibles en el ejercicio en el que se efectúen, siempre
que se cuente con el comprobante fiscal del anticipo en el mismo ejercicio en
el que se pagó y con el comprobante fiscal que ampare la totalidad de la
operación por la que se efectuó el anticipo, a más tardar el último día del
ejercicio siguiente a aquél en que se dio el anticipo. La deducción del
anticipo en el ejercicio en el que se pague será por el monto del mismo y, en
el ejercicio en el que se reciba el bien o el servicio, la deducción será por
la diferencia entre el valor total consignado en el comprobante fiscal y el
monto del anticipo. En todo caso para efectuar esta deducción, se deberán
cumplir con los demás requisitos que establezcan las disposiciones fiscales.
Cuando
los contribuyentes presenten las declaraciones informativas a que se refiere el
artículo 76 de esta Ley a requerimiento de la autoridad fiscal, no se
considerará incumplido el requisito a que se refiere el primer párrafo de esta
fracción, siempre que se presenten dichas declaraciones dentro de un plazo
máximo de 60 días contados a partir de la fecha en la que se notifique el
mismo.
XIX. Que
tratándose de pagos efectuados por concepto de salarios y en general por la
prestación de un servicio personal subordinado a trabajadores que tengan
derecho al subsidio para el empleo, efectivamente se entreguen las cantidades
que por dicho subsidio les correspondan a sus trabajadores y se dé cumplimiento
a los requisitos a que se refieren los preceptos que lo regulan, salvo cuando
no se esté obligado a ello en términos de las citadas disposiciones.
XX. Que el
importe de las mercancías, materias primas, productos semiterminados
o terminados, en existencia, que por deterioro u otras causas no imputables al
contribuyente hubiera perdido su valor, se deduzca de los inventarios durante
el ejercicio en que esto ocurra; siempre que se cumpla con los requisitos
establecidos en el Reglamento de esta Ley.
Los
contribuyentes podrán efectuar la deducción de las mercancías, materias primas,
productos semiterminados o terminados a que se
refiere el párrafo anterior, siempre que tratándose de bienes básicos para la
subsistencia humana en materia de alimentación, vestido, vivienda o salud,
antes de proceder a su destrucción, se ofrezcan en donación a las instituciones
autorizadas para recibir donativos deducibles conforme a esta Ley, dedicadas a
la atención de requerimientos básicos de subsistencia en materia de
alimentación, vestido, vivienda o salud de personas, sectores, comunidades o
regiones, de escasos recursos, cumpliendo con los requisitos que para tales
efectos establezca el Reglamento de esta Ley.
No se
podrán ofrecer en donación aquellos bienes que en términos de otro ordenamiento
jurídico, relacionado con el manejo, cuidado o tratamiento de dichos bienes,
prohíba expresamente su venta, suministro, uso o establezca otro destino para
los mismos.
XXI. Que
tratándose de gastos que conforme a la Ley General de Sociedades Cooperativas
se generen como parte del fondo de previsión social a que se refiere el
artículo 58 de dicho ordenamiento y se otorguen a los socios cooperativistas,
los mismos serán deducibles cuando se disponga de los recursos del fondo
correspondiente, siempre que se cumpla con los siguientes requisitos:
a) Que el fondo de
previsión social del que deriven se constituya con la aportación anual del
porcentaje, que sobre los ingresos netos, sea determinado por la Asamblea
General.
b) Que el fondo de
previsión social esté destinado en términos del artículo 57 de la Ley General
de Sociedades Cooperativas a las siguientes reservas:
1. Para cubrir
riesgos y enfermedades profesionales.
2. Para formar
fondos y haberes de retiro de socios.
3. Para formar
fondos para primas de antigüedad.
4. Para formar
fondos con fines diversos que cubran: gastos médicos y de funeral, subsidios
por incapacidad, becas educacionales para los socios o sus hijos, guarderías
infantiles, actividades culturales y deportivas y otras prestaciones de
previsión social de naturaleza análoga.
Para
aplicar la deducción a que se refiere este numeral la sociedad cooperativa
deberá pagar, salvo en el caso de subsidios por incapacidad, directamente a los
prestadores de servicios y a favor del socio cooperativista de que se trate,
las prestaciones de previsión social correspondientes, debiendo contar con los
comprobantes fiscales expedidos a nombre de la sociedad cooperativa.
c) Acreditar que
al inicio de cada ejercicio la Asamblea General fijó las prioridades para la
aplicación del fondo de previsión social de conformidad con las perspectivas
económicas de la sociedad cooperativa.
XXII. Que el valor
de los bienes que reciban los establecimientos permanentes ubicados en México,
de contribuyentes residentes en el extranjero, de la oficina central o de otro
establecimiento del contribuyente ubicado en el extranjero, no podrá ser
superior al valor en aduanas del bien de que se trate.
Artículo 28. Para los efectos de este Título, no serán deducibles:
I. Los pagos
por impuesto sobre la renta a cargo del propio contribuyente o de terceros ni
los de contribuciones en la parte subsidiada o que originalmente correspondan a
terceros, conforme a las disposiciones relativas, excepto tratándose de
aportaciones pagadas al Instituto Mexicano del Seguro Social a cargo de los
patrones, incluidas las previstas en la Ley del Seguro de Desempleo.
Tampoco
serán deducibles las cantidades provenientes del subsidio para el empleo que
entregue el contribuyente, en su carácter de retenedor, a las personas que le
presten servicios personales subordinados ni los accesorios de las
contribuciones, a excepción de los recargos que hubiere pagado efectivamente,
inclusive mediante compensación.
II. Los gastos
e inversiones, en la proporción que representen los ingresos exentos respecto
del total de ingresos del contribuyente. Los gastos que se realicen en relación
con las inversiones que no sean deducibles conforme a este Capítulo. En el caso
de automóviles y aviones, se podrán deducir en la proporción que represente el
monto original de la inversión deducible a que se refiere el artículo 36 de
esta Ley, respecto del valor de adquisición de los mismos.
III. Los
obsequios, atenciones y otros gastos de naturaleza análoga con excepción de aquéllos
que estén directamente relacionados con la enajenación de productos o la
prestación de servicios y que sean ofrecidos a los clientes en forma general.
IV. Los gastos
de representación.
V. Los
viáticos o gastos de viaje, en el país o en el extranjero, cuando no se
destinen al hospedaje, alimentación, transporte, uso o goce temporal de
automóviles y pago de kilometraje, de la persona beneficiaria del viático o
cuando se apliquen dentro de una faja de 50 kilómetros que circunde al
establecimiento del contribuyente. Las personas a favor de las cuales se
realice la erogación, deben tener relación de trabajo con el contribuyente en
los términos del Capítulo I del Título IV de esta Ley o deben estar prestando
servicios profesionales. Los gastos a que se refiere esta fracción deberán
estar amparados con un comprobante fiscal cuando éstos se realicen en
territorio nacional o con la documentación comprobatoria correspondiente,
cuando los mismos se efectúen en el extranjero.
Tratándose
de gastos de viaje destinados a la alimentación, éstos sólo serán deducibles
hasta por un monto que no exceda de $750.00 diarios por cada beneficiario,
cuando los mismos se eroguen en territorio nacional, o $1,500.00 cuando se
eroguen en el extranjero, y el contribuyente acompañe el comprobante fiscal o
la documentación comprobatoria que ampare el hospedaje o transporte. Cuando a
la documentación que ampare el gasto de alimentación el contribuyente
únicamente acompañe el comprobante fiscal relativo al transporte, la deducción
a que se refiere este párrafo sólo procederá cuando el pago se efectúe mediante
tarjeta de crédito de la persona que realiza el viaje.
Los
gastos de viaje destinados al uso o goce temporal de automóviles y gastos
relacionados, serán deducibles hasta por un monto que no exceda de $850.00
diarios, cuando se eroguen en territorio nacional o en el extranjero, y el
contribuyente acompañe el comprobante fiscal o la documentación comprobatoria
que ampare el hospedaje o transporte.
Los
gastos de viaje destinados al hospedaje, sólo serán deducibles hasta por un
monto que no exceda de $3,850.00 diarios, cuando se eroguen en el extranjero, y
el contribuyente acompañe a la documentación comprobatoria que los ampare la
relativa al transporte.
Cuando
el total o una parte de los viáticos o gastos de viaje con motivo de seminarios
o convenciones, efectuados en el país o en el extranjero, formen parte de la
cuota de recuperación que se establezca para tal efecto y en el comprobante
fiscal o la documentación comprobatoria que los ampare no se desglose el
importe correspondiente a tales erogaciones, sólo será deducible de dicha
cuota, una cantidad que no exceda el límite de gastos de viaje por día
destinado a la alimentación a que se refiere esta fracción. La diferencia que resulte
conforme a este párrafo no será deducible.
VI. Las
sanciones, las indemnizaciones por daños y perjuicios o las penas
convencionales. Las indemnizaciones por daños y perjuicios y las penas
convencionales, podrán deducirse cuando la ley imponga la obligación de
pagarlas por provenir de riesgos creados, responsabilidad objetiva, caso
fortuito, fuerza mayor o por actos de terceros, salvo que los daños y los
perjuicios o la causa que dio origen a la pena convencional, se hayan originado
por culpa imputable al contribuyente.
VII. Los
intereses devengados por préstamos o por adquisición, de valores a cargo del
Gobierno Federal inscritos en el Registro Nacional de Valores, así como
tratándose de títulos de crédito o de créditos de los señalados en el artículo
8 de esta Ley, cuando el préstamo o la adquisición se hubiera efectuado de
personas físicas o personas morales con fines no lucrativos.
Se
exceptúa de lo previsto en el párrafo anterior a las instituciones de crédito y
casas de bolsa, residentes en el país, que realicen pagos de intereses
provenientes de operaciones de préstamos de valores o títulos de los
mencionados en el párrafo anterior que hubieren celebrado con personas físicas,
siempre que dichas operaciones cumplan con los requisitos que al efecto
establezca el Servicio de Administración Tributaria, mediante reglas de
carácter general.
VIII. Las
provisiones para la creación o el incremento de reservas complementarias de
activo o de pasivo que se constituyan con cargo a las adquisiciones o gastos
del ejercicio, con excepción de las relacionadas con las gratificaciones a los
trabajadores correspondientes al ejercicio.
IX. Las
reservas que se creen para indemnizaciones al personal, para pagos de
antigüedad o cualquier otra de naturaleza análoga, con excepción de las que se
constituyan en los términos de esta Ley.
X. Las primas
o sobreprecio sobre el valor nominal que el contribuyente pague por el
reembolso de las acciones que emita.
XI. Las
pérdidas por caso fortuito, fuerza mayor o por enajenación de bienes, cuando el
valor de adquisición de los mismos no corresponda al de mercado en el momento
en que se adquirieron dichos bienes por el enajenante.
XII. El crédito
comercial, aun cuando sea adquirido de terceros.
XIII. Los pagos por
el uso o goce temporal de aviones y embarcaciones, que no tengan concesión o
permiso del Gobierno Federal para ser explotados comercialmente.
Tratándose
de pagos por el uso o goce temporal de casas habitación, sólo serán deducibles
en los casos en que reúnan los requisitos que señale el Reglamento de esta Ley.
Las casas de recreo, en ningún caso serán deducibles.
Tratándose
de automóviles, sólo serán deducibles los pagos efectuados por el uso o goce
temporal de automóviles hasta por un monto que no exceda de $200.00, diarios
por automóvil o $285.00, diarios por automóvil cuya propulsión sea a través de
baterías eléctricas recargables, así como por automóviles eléctricos que además
cuenten con motor de combustión interna o con motor accionado por hidrógeno,
siempre que además de cumplir con los requisitos que para la deducción de
automóviles establece la fracción II del artículo 36 de esta Ley, los mismos
sean estrictamente indispensables para la actividad del contribuyente. Lo
dispuesto en este párrafo no será aplicable tratándose de arrendadoras, siempre
que los destinen exclusivamente al arrendamiento durante todo el periodo en el
que le sea otorgado su uso o goce temporal.
Párrafo reformado DOF 30-11-2016
XIV. Las pérdidas
derivadas de la enajenación, así como por caso fortuito o fuerza mayor, de los
activos cuya inversión no es deducible conforme a lo dispuesto por esta Ley.
Tratándose
de aviones, las pérdidas derivadas de su enajenación, así como por caso
fortuito o fuerza mayor, sólo serán deducibles en la parte proporcional en la
que se haya podido deducir el monto original de la inversión. La pérdida se
determinará conforme a lo dispuesto por el artículo 31 de esta Ley.
XV. Los pagos
por concepto de impuesto al valor agregado o del impuesto especial sobre producción
y servicios, que el contribuyente hubiese efectuado y el que le hubieran
trasladado. No se aplicará lo dispuesto en esta fracción, cuando el
contribuyente no tenga derecho a acreditar los mencionados impuestos que le
hubieran sido trasladados o que hubiese pagado con motivo de la importación de
bienes o servicios, que correspondan a gastos o inversiones deducibles en los
términos de esta Ley.
Tampoco
será deducible el impuesto al valor agregado ni el impuesto especial sobre
producción y servicios, que le hubieran trasladado al contribuyente ni el que
hubiese pagado con motivo de la importación de bienes o servicios, cuando la
erogación que dio origen al traslado o al pago no sea deducible en los términos
de esta Ley.
XVI. Las pérdidas
que deriven de fusión, de reducción de capital o de liquidación de sociedades,
en las que el contribuyente hubiera adquirido acciones, partes sociales o
certificados de aportación patrimonial de las sociedades nacionales de crédito.
XVII. Las pérdidas
que provengan de la enajenación de acciones y de otros títulos valor cuyo
rendimiento no sea interés en los términos del artículo 8 de esta Ley. Tampoco
serán deducibles las pérdidas financieras que provengan de operaciones
financieras derivadas de capital referidas a acciones o índices accionarios.
Las
pérdidas a que se refiere el párrafo anterior únicamente se podrán deducir
contra el monto de las ganancias que, en su caso, obtenga el mismo
contribuyente en el ejercicio o en los diez siguientes en la enajenación de acciones
y otros títulos valor cuyo rendimiento no sea interés en los términos del
artículo 8 de esta Ley, o en operaciones financieras derivadas de capital
referidas a acciones o índices accionarios. Estas pérdidas no deberán exceder
el monto de dichas ganancias.
Las
pérdidas se actualizarán por el periodo comprendido desde el mes en el que
ocurrieron y hasta el mes de cierre del mismo ejercicio. La parte de las
pérdidas que no se deduzcan en un ejercicio se actualizará por el periodo
comprendido desde el mes del cierre del ejercicio en el que se actualizó por
última vez y hasta el último mes del ejercicio inmediato anterior a aquél en el
que se deducirá.
Para
estar en posibilidad de deducir las pérdidas conforme a esta fracción, los
contribuyentes deberán cumplir con lo siguiente:
a) Tratándose de
acciones que se coloquen entre el gran público inversionista, la pérdida se
determinará efectuando los ajustes a que se refiere el artículo 22 de esta Ley
y considerando lo siguiente:
1. Costo
comprobado de adquisición, el precio en que se realizó la operación, siempre
que la adquisición se haya efectuado en Bolsa de Valores concesionada en los
términos de la Ley del Mercado de Valores. Si la adquisición se hizo fuera de
la mencionada Bolsa, se considerará como dicho costo el menor entre el precio de
la operación y la cotización promedio en la Bolsa de Valores antes mencionada
del día en que se adquirieron.
2. Ingreso
obtenido, el que se obtenga de la operación siempre que se enajenen en Bolsa de
Valores concesionada en los términos de la Ley del Mercado de Valores. Si la
enajenación se hizo fuera de dicha Bolsa, se considerará como ingreso el mayor
entre el precio de la operación y la cotización promedio en la Bolsa de Valores
antes mencionada del día en que se enajenaron.
b) Tratándose de
partes sociales y de acciones distintas de las señaladas en el inciso anterior,
la pérdida se determinará efectuando los ajustes a que se refiere el artículo
22 de esta Ley y considerando como ingreso obtenido el que resulte mayor entre
el pactado en la operación de que se trate y el precio de venta de las acciones
determinado conforme a la metodología establecida en los artículos 179 y 180 de
esta Ley.
Cuando la
operación se realice con y entre partes relacionadas, se deberá presentar un
estudio sobre la determinación del precio de venta de las acciones en los
términos de los artículos 179 y 180 de esta Ley y considerando los elementos
contenidos en el inciso e) de la fracción I del artículo 179 de esta Ley.
c) Cuando se trate
de títulos valor a que se refieren los incisos anteriores de esta fracción,
siempre que en el caso de los comprendidos en el inciso a) se adquieran o se
enajenen fuera de Bolsa de Valores concesionada en los términos de la Ley del
Mercado de Valores, el adquirente, en todo caso, y el enajenante, cuando haya
pérdida, deberán presentar aviso dentro de los diez días siguientes a la fecha
de la operación y, en su caso, el estudio sobre el precio de venta de las
acciones a que se refiere el último párrafo del inciso anterior.
d) En el caso de
títulos valor distintos de los que se mencionan en los incisos anteriores de
este artículo, se deberá solicitar autorización ante la autoridad fiscal
correspondiente para deducir la pérdida. No será necesaria la autorización a
que se refiere este inciso cuando se trate de instituciones que integran el
sistema financiero.
XVIII. Los gastos que
se hagan en el extranjero a prorrata con quienes no sean contribuyentes del
impuesto sobre la renta en los términos de los Títulos II o IV de esta Ley.
XIX. Las
pérdidas que se obtengan en las operaciones financieras derivadas y en las
operaciones a las que se refiere el artículo 21 de esta Ley, cuando se celebren
con personas físicas o morales residentes en México o en el extranjero, que
sean partes relacionadas en los términos del artículo 179 de esta Ley, cuando
los términos convenidos no correspondan a los que se hubieren pactado con o
entre partes independientes en operaciones comparables.
XX. El 91.5% de
los consumos en restaurantes. Para que proceda la deducción de la diferencia,
el pago deberá hacerse invariablemente mediante tarjeta de crédito, de débito o
de servicios, o a través de los monederos electrónicos que al efecto autorice
el Servicio de Administración Tributaria. Serán deducibles al 100% los consumos
en restaurantes que reúnan los requisitos de la fracción V de este artículo sin
que se excedan los límites establecidos en dicha fracción. En ningún caso los
consumos en bares serán deducibles.
XXI. Los gastos
en comedores que por su naturaleza no estén a disposición de todos los
trabajadores de la empresa y aun cuando lo estén, éstos excedan de un monto
equivalente a un salario mínimo general diario del área geográfica del
contribuyente por cada trabajador que haga uso de los mismos y por cada día en
que se preste el servicio, adicionado con las cuotas de recuperación que pague
el trabajador por este concepto.
El
límite que establece esta fracción no incluye los gastos relacionados con la
prestación del servicio de comedor como son, el mantenimiento de laboratorios o
especialistas que estudien la calidad e idoneidad de los alimentos servidos en
los comedores a que se refiere el párrafo anterior.
XXII. Los pagos por
servicios aduaneros, distintos de los honorarios de agentes aduanales y de los
gastos en que incurran dichos agentes o la persona moral constituida por dichos
agentes aduanales en los términos de la Ley Aduanera.
XXIII. Los pagos
realizados a partes relacionadas o a través de un acuerdo estructurado, cuando
los ingresos de su contraparte estén sujetos a regímenes fiscales preferentes.
Esta
fracción también será aplicable cuando el pago no se considere un ingreso
sujeto a un régimen fiscal preferente, si el receptor directo o indirecto del
mismo, utiliza su importe para realizar otros pagos deducibles a otro miembro
del grupo o en virtud de un acuerdo estructurado, que se consideren ingresos
sujetos a regímenes fiscales preferentes. Lo dispuesto anteriormente será
aplicable sin importar que el pago que realice el receptor se efectúe con
anterioridad al pago que realice el contribuyente. Se presume lo anterior,
salvo prueba en contrario, cuando dicho receptor realice pagos deducibles que
se consideren para su contraparte ingresos sujetos a regímenes fiscales
preferentes, si el monto de los mismos es igual o mayor al 20% del pago
realizado por el contribuyente. En este caso, no será deducible el monto
equivalente al pago deducible realizado por el receptor que se considere un
ingreso sujeto a un régimen fiscal preferente. Lo dispuesto anteriormente, se
calculará independientemente del número de transacciones involucradas, y será
aplicable solo por operaciones realizadas entre miembros del mismo grupo o en
virtud de un acuerdo estructurado. El Servicio de Administración Tributaria
emitirá reglas de carácter general para regular la interacción de la aplicación
de este párrafo, con reglas similares contenidas en la legislación extranjera
que nieguen la deducción de pagos realizados a regímenes fiscales preferentes o
en virtud de que se encuentren sujetos a mecanismos híbridos.
Esta
fracción no será aplicable cuando el pago que se considere un ingreso sujeto a
un régimen fiscal preferente, derive del ejercicio de la actividad empresarial
del receptor del mismo, siempre que se demuestre que éste cuenta con el
personal y los activos necesarios para la realización de dicha actividad. Este
párrafo solo será aplicable cuando el receptor del pago tenga su sede de
dirección efectiva y esté constituido en un país o jurisdicción con el que
México tenga un acuerdo amplio de intercambio de información.
Lo dispuesto en el párrafo anterior no será aplicable,
cuando el pago se considere un ingreso sujeto a un régimen fiscal preferente
por motivo de un mecanismo híbrido. Para efectos de esta fracción, se considera
que existe un mecanismo híbrido, cuando la legislación fiscal nacional y
extranjera caractericen de forma distinta a una persona moral, figura jurídica,
ingreso o el propietario de los activos o un pago, y que dé como resultado una
deducción en México y que la totalidad o una parte del pago no se encuentre
gravado en el extranjero. Tampoco será aplicable lo dispuesto en el párrafo
anterior, cuando el pago sea atribuido a un establecimiento permanente o a una
sucursal de un miembro del grupo o por virtud de un acuerdo estructurado,
siempre que dicho pago no se encuentre gravado en el país o jurisdicción de
residencia fiscal del receptor del mismo, ni en donde se encuentre ubicado
dicho establecimiento permanente o sucursal.
Lo dispuesto en el párrafo anterior no será aplicable
a los pagos efectuados por el contribuyente a uno de sus socios o accionistas,
cuando la legislación fiscal del país o jurisdicción en donde residen estos
últimos considere dichos ingresos inexistentes o no gravables en virtud de que
al contribuyente se le considere como transparente fiscal para efectos de dicha
legislación. Este párrafo solo será aplicable cuando el receptor del pago
acumule los ingresos generados por el contribuyente en la parte proporcional a
su participación y siempre que estos no se consideren como ingresos sujetos a
regímenes fiscales preferentes. No obstante lo anterior, si el monto total de
los pagos realizados a que se refiere este párrafo, excede del monto total de
los referidos ingresos del contribuyente que hayan sido acumulados por el
receptor del pago, la diferencia será no deducible. Si se genera un importe no
deducible en el ejercicio por motivo de momentos distintos en la acumulación de
ingresos entre el contribuyente y sus socios o accionistas, dicho importe podrá
deducirse en los términos que dispongan las reglas de carácter general que al
efecto expida el Servicio de Administración Tributaria.
No se aplicará lo señalado en esta fracción en la
proporción que el pago esté gravado de forma indirecta por motivo de la
aplicación del artículo 4-B o el Capítulo I del Título VI de esta Ley, o
disposiciones similares contenidas en la legislación fiscal extranjera en los
términos que dispongan las reglas de carácter general que expida el Servicio de
Administración Tributaria. Tampoco será aplicable lo señalado en esta fracción,
cuando el pago se encuentre sujeto a la tasa de retención establecida en el
artículo 171 de esta Ley. Lo señalado en este párrafo no será aplicable en el supuesto
establecido en el párrafo quinto de esta fracción.
Para efectos de esta fracción, se considera un acuerdo
estructurado, cualquier acuerdo en el que participe el contribuyente o una de
sus partes relacionadas, y cuya contraprestación se encuentre en función de
pagos realizados a regímenes fiscales preferentes que favorezcan al
contribuyente o a una de sus partes relacionadas, o cuando con base en los
hechos o circunstancias se pueda concluir que el acuerdo fue realizado para
este propósito.
Para efectos de esta fracción, se considera que dos
miembros se encuentran en un mismo grupo cuando uno de ellos tenga el control
efectivo del otro, o bien, cuando un tercero tenga el control efectivo de
ambos. Se considerará control efectivo lo señalado en el artículo 176 de esta
Ley, sin importar la residencia fiscal de las partes involucradas.
Fracción reformada DOF 09-12-2019
XXIV. Los pagos de
cantidades iniciales por el derecho de adquirir o vender, bienes, divisas,
acciones u otros títulos valor que no coticen en mercados reconocidos, de
acuerdo con lo establecido por el artículo 16-C del Código Fiscal de la
Federación, y que no se hubiera ejercido, siempre que se trate de partes
contratantes que sean relacionadas en los términos del artículo 179 de esta Ley.
XXV. La restitución
efectuada por el prestatario por un monto equivalente a los derechos
patrimoniales de los títulos recibidos en préstamo, cuando dichos derechos sean
cobrados por los prestatarios de los títulos.
XXVI. Las cantidades
que tengan el carácter de participación en la utilidad del contribuyente o
estén condicionadas a la obtención de ésta, ya sea que correspondan a
trabajadores, a miembros del consejo de administración, a obligacionistas o a
otros.
XXVII. Los intereses que
deriven del monto de las deudas del contribuyente que excedan del triple de su
capital contable que provengan de deudas contraídas con partes relacionadas
residentes en el extranjero en los términos del artículo 179 de esta Ley.
Para
determinar el monto de las deudas que excedan el límite señalado en el párrafo
anterior, se restará del saldo promedio anual de todas las deudas del
contribuyente que devenguen intereses a su cargo, la cantidad que resulte de
multiplicar por tres el cociente que se obtenga de dividir entre dos la suma
del capital contable al inicio y al final del ejercicio.
Cuando
el saldo promedio anual de las deudas del contribuyente contraídas con partes
relacionadas residentes en el extranjero sea menor que el monto en exceso de
las deudas a que se refiere el párrafo anterior, no serán deducibles en su
totalidad los intereses devengados por esas deudas. Cuando el saldo promedio
anual de las deudas contraídas con partes relacionadas residentes en el
extranjero sea mayor que el monto en exceso antes referido, no serán deducibles
los intereses devengados por dichas deudas contraídas con partes relacionadas
residentes en el extranjero, únicamente por la cantidad que resulte de
multiplicar esos intereses por el factor que se obtenga de dividir el monto en exceso
entre dicho saldo.
Para
los efectos de los dos párrafos anteriores, el saldo promedio anual de todas
las deudas del contribuyente que devengan intereses a su cargo se determina
dividiendo la suma de los saldos de esas deudas al último día de cada uno de
los meses del ejercicio, entre el número de meses del ejercicio, y el saldo
promedio anual de las deudas contraídas con partes relacionadas residentes en
el extranjero se determina en igual forma, considerando los saldos de estas
últimas deudas al último día de cada uno de los meses del ejercicio.
Los
contribuyentes podrán optar por considerar como capital contable del ejercicio,
para los efectos de determinar el monto en exceso de sus deudas, la cantidad
que resulte de sumar los saldos iniciales y finales del ejercicio en cuestión
de sus cuentas de capital de aportación, utilidad fiscal neta y utilidad fiscal
neta reinvertida y dividir el resultado de esa suma entre dos. Quienes elijan
esta opción deberán continuar aplicándola por un periodo no menor de cinco
ejercicios contados a partir de aquél en que la elijan. Los contribuyentes que
no apliquen las normas de información financiera en la determinación de su
capital contable, considerarán como capital contable para los efectos de esta
fracción, el capital integrado en la forma descrita en el presente párrafo.
No se
incluirán dentro de las deudas que devengan intereses a cargo del contribuyente
para el cálculo del monto en exceso de ellas al triple de su capital contable,
las contraídas por los integrantes del sistema financiero en la realización de
las operaciones propias de su objeto y las contraídas para la construcción,
operación o mantenimiento de infraestructura productiva vinculada con áreas
estratégicas para el país o para la generación de energía eléctrica.
Párrafo reformado DOF 18-11-2015
El
límite del triple del capital contable que determina el monto excedente de las
deudas al que se refiere esta fracción podría ampliarse en los casos en que los
contribuyentes comprueben que la actividad que realizan requiere en sí misma de
mayor apalancamiento y obtengan resolución al respecto en los términos que
señala el artículo 34-A del Código Fiscal de la Federación.
Con
independencia de lo previsto en esta fracción se estará a lo dispuesto en los
artículos 11 y 179 de la presente Ley.
XXVIII. Los anticipos por
las adquisiciones de las mercancías, materias primas, productos semiterminados y terminados o por los gastos relacionados
directa o indirectamente con la producción o la prestación de servicios a que
se refiere el artículo 39 de esta Ley. Dichos anticipos tampoco formarán parte
del costo de lo vendido a que se refiere la fracción II del artículo 25 de esta
Ley.
Para
los efectos de esta fracción, el monto total de las adquisiciones o de los
gastos, se deducirán en los términos de la Sección III del Título II de esta
Ley, siempre que se cuente con el comprobante fiscal que ampare la totalidad de
la operación por la que se efectuó el anticipo.
XXIX. Los pagos que
efectúe el contribuyente que también sean deducibles para un miembro del mismo
grupo, o para el mismo contribuyente en un país o jurisdicción en donde también
sea considerado residente fiscal. Si el contribuyente es un residente en el
extranjero con establecimiento permanente en territorio nacional, esta fracción
también será aplicable cuando el pago sea deducible para el residente en el
extranjero en su país o jurisdicción de residencia fiscal.
Lo dispuesto en esta fracción no será aplicable cuando
el miembro del mismo grupo o el residente en el extranjero, referidos en el
párrafo anterior, acumulen los ingresos generados por el contribuyente en la
parte proporcional a su participación. En el caso que el contribuyente también
sea considerado residente fiscal en otro país o jurisdicción, lo dispuesto en
esta fracción no será aplicable siempre que los ingresos gravados en México
también se acumulen en el otro país o jurisdicción. No obstante lo anterior, si
el monto total de los pagos realizados a que se refiere esta fracción, excede del
monto total de los ingresos del contribuyente que hayan sido acumulados por los
referidos sujetos, el importe que corresponda a dicha diferencia será no
deducible en proporción a su participación. Si se genera un importe no
deducible en el ejercicio por motivo de momentos distintos en la acumulación de
ingresos entre el contribuyente y el miembro del mismo grupo o residente en el
extranjero, dicho importe podrá deducirse en los términos que dispongan las
reglas de carácter general que al efecto expida el Servicio de Administración
Tributaria.
Lo señalado en la fracción XXIII de este artículo será
aplicable para efecto de determinar si dos miembros se encuentran en un mismo
grupo.
Fracción reformada DOF 09-12-2019
XXX. Los pagos que
a su vez sean ingresos exentos para el trabajador, hasta por la cantidad que
resulte de aplicar el factor de 0.53 al monto de dichos pagos. El factor a que
se refiere este párrafo será del 0.47 cuando las prestaciones otorgadas por los
contribuyentes a favor de sus trabajadores que a su vez sean ingresos exentos
para dichos trabajadores, en el ejercicio de que se trate, no disminuyan
respecto de las otorgadas en el ejercicio fiscal inmediato anterior.
XXXI. (Se deroga).
Fracción derogada DOF 09-12-2019
XXXII. Los intereses
netos del ejercicio que excedan del monto que resulte de multiplicar la
utilidad fiscal ajustada por el 30%.
Esta fracción solo será aplicable a los contribuyentes
cuyos intereses devengados durante el ejercicio que deriven de sus deudas
excedan de $20,000,000.00. Esta cantidad aplicará conjuntamente a todas las
personas morales sujetas a este Título y establecimientos permanentes de
residentes en el extranjero que pertenezcan a un mismo grupo o que sean partes
relacionadas. Se considerará como grupo lo establecido por el último párrafo
del artículo 24 de esta Ley. Esta cantidad se repartirá entre las personas
miembros del grupo o partes relacionadas, en la proporción de los ingresos
acumulables generados durante el ejercicio anterior por los contribuyentes a los
que les aplica esta fracción.
Los
intereses netos del ejercicio corresponderán a la cantidad que resulte de
restar al total de los intereses devengados durante el ejercicio que deriven de
deudas del contribuyente, el total de los ingresos por intereses acumulados
durante el mismo periodo y la cantidad señalada en el párrafo anterior. Esta
fracción no será aplicable cuando el monto de los intereses acumulados sea
igual o superior al monto de los intereses devengados.
La
utilidad fiscal ajustada será la cantidad que resulte de sumar a la utilidad
fiscal señalada en la fracción I del artículo 9 de esta Ley, el total de los
intereses devengados durante el ejercicio que deriven de deudas del
contribuyente, así como el monto total deducido en el ejercicio por concepto de
activos fijos, gastos diferidos, cargos diferidos y erogaciones realizadas en
periodos preoperativos de conformidad con esta Ley y
demás disposiciones fiscales.
La utilidad fiscal ajustada será determinada aun
cuando no se obtenga una utilidad fiscal de conformidad con la fracción I del
artículo 9 de esta Ley o se genere una pérdida fiscal durante el ejercicio de
conformidad con el párrafo primero del artículo 57 del mismo ordenamiento. En
el caso que se genere una pérdida fiscal, se restará el monto de la misma de
los conceptos señalados en el párrafo anterior. Cuando el monto de la utilidad
fiscal ajustada resulte en cero o en un número negativo, se negará la deducción
de la totalidad de los intereses a cargo del contribuyente, salvo por el monto
que no se encuentre sujeto a esta fracción.
Para
efectos de los párrafos anteriores, el total de los intereses devengados
durante el ejercicio que deriven de deudas del contribuyente, sólo incluye los
montos deducibles de conformidad con esta Ley. Asimismo, el total de ingresos
por intereses solo incluye los montos que se encuentren gravados durante el
mismo ejercicio en términos de esta Ley.
Para
efectos del cálculo señalado en esta fracción, el monto de la utilidad fiscal
ajustada y los ingresos por intereses que tengan fuente extranjera, sólo se
incluirán en estos conceptos por la misma proporción que deba pagarse el
impuesto establecido por esta Ley, después de disminuir los impuestos sobre la
renta extranjeros acreditados en términos del artículo 5 de esta Ley. Los
ingresos acumulados y erogaciones deducibles para efectos de determinar el
impuesto establecido en los artículos 176 y 177 de esta Ley, no se encuentran
comprendidos dentro de los cálculos establecidos en esta fracción.
Para
efectos de esta fracción, las ganancias o pérdidas cambiarias devengadas por la
fluctuación de moneda extranjera no tendrán el tratamiento de intereses, salvo
que deriven de un instrumento cuyo rendimiento sea considerado interés. Tampoco
será considerado interés para efectos de esta fracción, las contraprestaciones
por aceptación de un aval, salvo que se relacionen con un instrumento cuyo
rendimiento sea considerado interés.
El
monto de los intereses no deducibles se determinará restando a los intereses
netos del ejercicio, el límite determinado conforme a esta fracción. Si el
resultado de este cálculo es cero o negativo, se permitirá la deducción de la
totalidad de los intereses devengados a cargo del contribuyente de conformidad
con esta fracción.
El
monto de los intereses netos del ejercicio que no sean deducibles de
conformidad con esta fracción, podrán deducirse durante los diez ejercicios
siguientes hasta agotarlo. El monto no deducido en los diez ejercicios
siguientes, será no deducible. Dichos intereses netos pendientes por deducir,
tendrán que sumarse a los intereses netos del siguiente ejercicio y la cantidad
resultante deberá cumplir con lo dispuesto por esta misma fracción. Se
considera que los primeros intereses por deducir, son los correspondientes a
los ejercicios anteriores. Para efectos de este párrafo, se aplicarán las
mismas reglas señaladas en el artículo 57 de esta Ley, salvo que algo distinto
se señale expresamente en esta fracción. Lo dispuesto en este párrafo solo será
aplicable si el contribuyente lleva un registro de los intereses netos
pendientes por deducir, que esté a disposición de la autoridad fiscal.
Lo dispuesto en esta fracción no será aplicable a los
intereses que deriven de deudas contratadas para financiar obras de infraestructura
pública, así como para financiar construcciones, incluyendo para la adquisición
de terrenos donde se vayan a realizar las mismas, ubicados en territorio
nacional; para financiar proyectos para la exploración, extracción, transporte,
almacenamiento o distribución del petróleo y de los hidrocarburos sólidos,
líquidos o gaseosos, así como para otros proyectos de la industria extractiva y
para la generación, transmisión o almacenamiento de electricidad o agua. Esta
fracción tampoco será aplicable a los rendimientos de deuda pública. Los
ingresos que deriven de las actividades señaladas en este párrafo se tendrán
que disminuir de la utilidad fiscal ajustada calculada de conformidad con esta
fracción.
Lo señalado en esta fracción no será aplicable a las
empresas productivas del Estado, ni a los integrantes del sistema financiero en
la realización de las operaciones propias de su objeto.
Lo
dispuesto en esta fracción solo será aplicable cuando el monto de los intereses
no deducibles determinado de conformidad con los párrafos anteriores sea
superior al determinado de conformidad con la fracción XXVII de este artículo,
en cuyo caso, dicha fracción no será aplicable.
Lo
señalado en esta fracción podrá determinarse, en el caso de sociedades
pertenecientes a un mismo grupo de forma consolidada en los términos que
dispongan las reglas de carácter general que al efecto emita el Servicio de
Administración Tributaria.
El cálculo señalado en esta fracción se realizará al
finalizar el ejercicio fiscal de que se trate y se reflejará en la declaración
anual correspondiente.
Fracción adicionada DOF 09-12-2019
XXXIII. Los pagos que se
realicen en los supuestos señalados en el artículo 15-D, primer y segundo
párrafos del Código Fiscal de
Fracción adicionada DOF 23-04-2021
Los conceptos no deducibles a que se refiere esta Ley,
se deberán considerar en el ejercicio en el que se efectúe la erogación y no en
aquel ejercicio en el que formen parte del costo de lo vendido.
Artículo 29. Las reservas para fondos de pensiones o jubilaciones
de personal, complementarias a las que establece la Ley del Seguro Social y de
primas de antigüedad, se ajustaran a las siguientes reglas:
I. Deberán
crearse y calcularse en los términos y con los requisitos que fije el Reglamento
de esta Ley y repartirse uniformemente en diez ejercicios. Dicho cálculo deberá
realizarse cada ejercicio en el mes en que se constituyó la reserva.
II. La reserva
deberá invertirse cuando menos en un 30% en valores a cargo del Gobierno
Federal inscritos en el Registro Nacional de Valores o en acciones de fondos de
inversión en instrumentos de deuda. La diferencia deberá invertirse en valores
aprobados por la Comisión Nacional Bancaria y de Valores, como objeto de
inversión de las reservas técnicas de las instituciones de seguros, o en la
adquisición o construcción y venta de casas para trabajadores del contribuyente
que tengan las características de vivienda de interés social, o en préstamos
para los mismos fines, de acuerdo con las disposiciones reglamentarias, o en
certificados de participación emitidos por las instituciones fiduciarias
respecto de los fideicomisos a que se refiere el artículo 188 de esta Ley,
siempre que en este caso la inversión total no exceda del 10% de la reserva a
que se refiere este artículo.
Párrafo reformado DOF 18-11-2015
Las
inversiones que, en su caso se realicen en valores emitidos por la propia
empresa o por empresas que se consideren partes relacionadas, no podrán exceder
del 10 por ciento del monto total de la reserva y siempre que se trate de
valores aprobados por la Comisión Nacional Bancaria y de Valores en los
términos del párrafo anterior.
Para
los efectos del párrafo anterior, no se considera que dos o más personas son
partes relacionadas, cuando la participación directa o indirecta de una en el
capital de la otra no exceda del 10% del total del capital suscrito y siempre
que no participe directa o indirectamente en la administración o control de
ésta.
III. Los bienes
que formen el fondo deberán afectarse en fideicomiso irrevocable, en
institución de crédito autorizada para operar en la República, o ser manejados
por instituciones o sociedades mutualistas de seguros, por casas de bolsa,
operadoras de fondos de inversión o por administradoras de fondos para el retiro,
con concesión o autorización para operar en el país, de conformidad con las
reglas generales que dicte el Servicio de Administración Tributaria. Los
rendimientos que se obtengan con motivo de la inversión forman parte del fondo
y deben permanecer en el fideicomiso irrevocable; sólo podrán destinarse los
bienes y los rendimientos de la inversión para los fines para los que fue
creado el fondo.
Fracción reformada DOF 18-11-2015
IV. Las
inversiones que constituyan el fondo, deberán valuarse
cada año a precio de mercado, en el mes en que se constituyó la reserva,
excepto las inversiones en préstamos para la adquisición o construcción de
vivienda de interés social, en este último caso se considerará el saldo
insoluto del préstamo otorgado.
V. No
podrán deducirse las aportaciones cuando el valor del fondo sea suficiente para
cumplir con las obligaciones establecidas conforme al plan de pensiones o
jubilaciones.
VI. El
contribuyente únicamente podrá disponer de los bienes y valores a que se
refiere la fracción II de este artículo, para el pago de pensiones o
jubilaciones y de primas de antigüedad al personal. Si dispusiere de ellos o de
sus rendimientos, para fines diversos, cubrirá sobre la cantidad respectiva
impuesto a la tasa establecida en el artículo 9 de esta Ley.
Lo dispuesto en las fracciones II y III de este
artículo no será aplicable si el fondo es manejado por una administradora de
fondos para el retiro y los recursos del mismo son invertidos en una sociedad
de inversión especializada de fondos para el retiro.
Artículo 30. Los contribuyentes que realicen obras consistentes en
desarrollos inmobiliarios o fraccionamientos de lotes, los que celebren
contratos de obra inmueble o de fabricación de bienes de activo fijo de largo
proceso de fabricación y los prestadores del servicio turístico del sistema de
tiempo compartido, podrán deducir las erogaciones estimadas relativas a los
costos directos e indirectos de esas obras o de la prestación del servicio, en
los ejercicios en que obtengan los ingresos derivados de las mismas, en lugar
de las deducciones establecidas en los artículos 19 y 25 de esta Ley, que
correspondan a cada una de las obras o a la prestación del servicio,
mencionadas. Las erogaciones estimadas se determinarán por cada obra o por cada
inmueble del que se deriven los ingresos por la prestación de servicios a que
se refiere este artículo, multiplicando los ingresos acumulables en cada
ejercicio que deriven de la obra o de la prestación del servicio, por el factor
de deducción total que resulte de dividir la suma de los costos directos e
indirectos estimados al inicio del ejercicio, o de la obra o de la prestación
del servicio de que se trate, entre el ingreso total que corresponda a dicha
estimación en la misma fecha, conforme a lo dispuesto en este párrafo.
No se considerarán dentro de la estimación de los
costos directos e indirectos a que se refiere el párrafo anterior, la deducción
de las inversiones y las remuneraciones por la prestación de servicios
personales subordinados, relacionados directamente con la producción o la
prestación de servicios, las cuales se deducirán conforme a lo dispuesto por la
Sección III de este Capítulo ni los gastos de operación ni financieros, los
cuales se deducirán en los términos establecidos en esta Ley. Los
contribuyentes que se dediquen a la prestación del servicio turístico de tiempo
compartido podrán considerar dentro de la estimación de los costos directos e
indirectos, la deducción de las inversiones correspondientes a los inmuebles
destinados a la prestación de dichos servicios, en los términos del artículo 31
de esta Ley.
Al final de cada ejercicio, los contribuyentes deberán
calcular el factor de deducción total a que se refiere el primer párrafo de
este artículo por cada obra o por cada inmueble del que se deriven los ingresos
por la prestación de servicios de tiempo compartido, según sea el caso, con los
datos que tengan a esa fecha. Este factor se comparará al final de cada
ejercicio con el factor utilizado en el propio ejercicio y en los ejercicios
anteriores, que corresponda a la obra o a la prestación del servicio de que se
trate. Si de la comparación resulta que el factor de deducción que corresponda
al final del ejercicio de que se trate es menor que cualquiera de los
anteriores, el contribuyente deberá presentar declaraciones complementarias,
utilizando este factor de deducción menor, debiendo modificar el monto de las
erogaciones estimadas deducidas en cada uno de los ejercicios de que se trate.
Si de la comparación a que se refiere el párrafo
anterior, resulta que el factor de deducción total al final del ejercicio es
menor en más de un 5% al que se hubiera determinado en el propio ejercicio o en
los anteriores, se pagarán, en su caso, los recargos que correspondan.
En el ejercicio en el que se terminen de acumular los
ingresos relativos a la obra o a la prestación del servicio de que se trate,
los contribuyentes compararán las erogaciones realizadas correspondientes a los
costos directos e indirectos a que se refiere el primer párrafo de este
artículo, sin considerar, en su caso, los señalados en el segundo párrafo de
este mismo artículo, durante el periodo transcurrido desde el inicio de la obra
o de la prestación del servicio hasta el ejercicio en el que se terminen de
acumular dichos ingresos, contra el total de las estimadas deducidas en el
mismo periodo en los términos de este artículo, que correspondan en ambos casos
a la misma obra o al inmueble del que se deriven los ingresos por la prestación
del servicio. Para efectuar esta comparación, los contribuyentes actualizarán
las erogaciones estimadas y las realizadas en cada ejercicio, desde el último
mes del ejercicio en el que se dedujeron o en el que se efectuaron, según sea
el caso, y hasta el último mes de la primera mitad del ejercicio en el que se
terminen de acumular los ingresos relativos a la obra o a la prestación del
servicio turístico del sistema de tiempo compartido. Los prestadores del
servicio turístico del sistema de tiempo compartido considerarán como
erogaciones realizadas por las inversiones correspondientes a los inmuebles de
los que derivan los ingresos por la prestación de dichos servicios, los montos
originales de las inversiones que se comprueben con la documentación que reúna
los requisitos que señalan las disposiciones fiscales.
Si de la comparación a que se refiere el párrafo
anterior, resulta que el total de las erogaciones estimadas actualizadas
deducidas exceden a las realizadas actualizadas, la diferencia se acumulará a
los ingresos del contribuyente en el ejercicio en el que se terminen de
acumular los ingresos relativos a la obra o a la prestación del servicio de que
se trate.
Para los efectos de lo dispuesto en los dos párrafos
anteriores, tratándose de la prestación del servicio turístico del sistema de
tiempo compartido, se considerará que se terminan de acumular los ingresos
relativos a la prestación del servicio, en el ejercicio en el que ocurra
cualquiera de los siguientes supuestos: se hubiera recibido el 90% del pago o
de la contraprestación pactada, o hubieran transcurrido cinco ejercicios desde
que se inició la obra o la prestación del servicio a que se refiere este
artículo.
Si de la comparación a que se refiere el párrafo
quinto de este artículo, resulta que el total de las erogaciones estimadas
deducidas exceden en más de 5% a las realizadas, ambas actualizadas, sobre el
excedente se calcularán los recargos que correspondan a partir del día en que
se presentó o debió presentarse la declaración del ejercicio en el que se
dedujeron las erogaciones estimadas. Estos recargos se enterarán conjuntamente
con la declaración de que se trate.
Los contribuyentes que ejerzan la opción señalada en
este artículo, deberán presentar aviso ante las autoridades fiscales, en el que
manifiesten que optan por lo dispuesto en este artículo, por cada una de las
obras o por el inmueble del que se deriven los ingresos por la prestación del
servicio, dentro de los quince días siguientes al inicio de la obra o a la
celebración del contrato, según corresponda. Una vez ejercida esta opción, la
misma no podrá cambiarse. Los contribuyentes, además, deberán presentar la
información que mediante reglas de carácter general establezca el Servicio de
Administración Tributaria.
SECCIÓN II
DE LAS INVERSIONES
Artículo 31. Las inversiones únicamente se podrán deducir mediante
la aplicación, en cada ejercicio, de los por cientos máximos autorizados por
esta Ley, sobre el monto original de la inversión, con las limitaciones en
deducciones que, en su caso, establezca esta Ley. Tratándose de ejercicios
irregulares, la deducción correspondiente se efectuará en el por ciento que
represente el número de meses completos del ejercicio en los que el bien haya
sido utilizado por el contribuyente, respecto de doce meses. Cuando el bien se
comience a utilizar después de iniciado el ejercicio y en el que se termine su
deducción, ésta se efectuará con las mismas reglas que se aplican para los
ejercicios irregulares.
El monto original de la inversión comprende, además
del precio del bien, los impuestos efectivamente pagados con motivo de la
adquisición o importación del mismo a excepción del impuesto al valor agregado,
así como las erogaciones por concepto de derechos, cuotas compensatorias,
fletes, transportes, acarreos, seguros contra riesgos en la transportación,
manejo, comisiones sobre compras y honorarios a agentes aduanales. Tratándose
de las inversiones en automóviles el monto original de la inversión también
incluye el monto de las inversiones en equipo de blindaje.
Cuando los bienes se adquieran con motivo de fusión o
escisión de sociedades, se considerará como fecha de adquisición la que le
correspondió a la sociedad fusionada o a la escindente.
El contribuyente podrá aplicar por cientos menores a
los autorizados por esta Ley. En este caso, el por ciento elegido será
obligatorio y podrá cambiarse, sin exceder del máximo autorizado. Tratándose
del segundo y posteriores cambios deberán transcurrir cuando menos cinco años
desde el último cambio; cuando el cambio se quiera realizar antes de que
transcurra dicho plazo, se deberá cumplir con los requisitos que establezca el
Reglamento de esta Ley.
Las inversiones empezarán a deducirse, a elección del
contribuyente, a partir del ejercicio en que se inicie la utilización de los
bienes o desde el ejercicio siguiente. El contribuyente podrá no iniciar la
deducción de las inversiones para efectos fiscales, a partir de que se inicien
los plazos a que se refiere este párrafo. En este último caso, podrá hacerlo
con posterioridad, perdiendo el derecho a deducir las cantidades
correspondientes a los ejercicios transcurridos desde que pudo efectuar la
deducción conforme a este artículo y hasta que inicie la misma, calculadas
aplicando los por cientos máximos autorizados por la presente Ley.
Cuando el contribuyente enajene los bienes o cuando
éstos dejen de ser útiles para obtener los ingresos, deducirá, en el ejercicio
en que esto ocurra, la parte aún no deducida. En el caso en que los bienes
dejen de ser útiles para obtener los ingresos, el contribuyente deberá mantener
sin deducción un peso en sus registros. Lo dispuesto en este párrafo no es
aplicable a los casos señalados en los párrafos penúltimo y último de este
artículo.
Los contribuyentes ajustarán la deducción determinada
en los términos de los párrafos primero y sexto de este artículo,
multiplicándola por el factor de actualización correspondiente al periodo
comprendido desde el mes en el que se adquirió el bien y hasta el último mes de
la primera mitad del periodo en el que el bien haya sido utilizado durante el
ejercicio por el que se efectúe la deducción.
Cuando sea impar el número de meses comprendidos en el
periodo en el que el bien haya sido utilizado en el ejercicio, se considerará
como último mes de la primera mitad de dicho periodo el mes inmediato anterior
al que corresponda la mitad del periodo.
Para determinar la ganancia por la enajenación de
bienes cuya inversión es parcialmente deducible en los términos de las
fracciones II y III del artículo 36 de esta Ley, se considerará la diferencia
entre el monto original de la inversión deducible disminuido por las
deducciones efectuadas sobre dicho monto y el precio en que se enajenen los
bienes.
Tratándose de bienes cuya inversión no es deducible en
los términos de las fracciones II, III y IV del artículo 36 de esta Ley, se
considerará como ganancia el precio obtenido por su enajenación.
Artículo 32. Para los efectos de esta Ley, se consideran
inversiones los activos fijos, los gastos y cargos diferidos y las erogaciones
realizadas en periodos preoperativos, de conformidad
con los siguientes conceptos:
Activo fijo es el conjunto de bienes tangibles que
utilicen los contribuyentes para la realización de sus actividades y que se
demeriten por el uso en el servicio del contribuyente y por el transcurso del
tiempo. La adquisición o fabricación de estos bienes tendrá siempre como
finalidad la utilización de los mismos para el desarrollo de las actividades
del contribuyente, y no la de ser enajenados dentro del curso normal de sus
operaciones.
Gastos diferidos son los activos intangibles
representados por bienes o derechos que permitan reducir costos de operación,
mejorar la calidad o aceptación de un producto, usar, disfrutar o explotar un
bien, por un periodo limitado, inferior a la duración de la actividad de la
persona moral. También se consideran gastos diferidos los activos intangibles
que permitan la explotación de bienes del dominio público o la prestación de un
servicio público concesionado.
Cargos diferidos son aquéllos que reúnan los requisitos
señalados en el párrafo anterior, excepto los relativos a la explotación de
bienes del dominio público o a la prestación de un servicio público
concesionado, pero cuyo beneficio sea por un periodo ilimitado que dependerá de
la duración de la actividad de la persona moral.
Erogaciones realizadas en periodos preoperativos,
son aquéllas que tienen por objeto la investigación y el desarrollo,
relacionados con el diseño, elaboración, mejoramiento, empaque o distribución
de un producto, así como con la prestación de un servicio; siempre que las
erogaciones se efectúen antes de que el contribuyente enajene sus productos o
preste sus servicios, en forma constante. Tratándose de industrias extractivas,
estas erogaciones son las relacionadas con la exploración para la localización
y cuantificación de nuevos yacimientos susceptibles de explotarse.
Artículo 33. Los por cientos máximos autorizados tratándose de
gastos y cargos diferidos, así como para las erogaciones realizadas en periodos
preoperativos, son los siguientes:
I. 5% para
cargos diferidos.
II. 10% para
erogaciones realizadas en periodos preoperativos.
III. 15% para
regalías, para asistencia técnica, así como para otros gastos diferidos, a
excepción de los señalados en la fracción IV del presente artículo.
IV. En el caso
de activos intangibles que permitan la explotación de bienes del dominio
público o la prestación de un servicio público concesionado, el por ciento
máximo se calculará dividiendo la unidad entre el número de años por los cuales
se otorgó la concesión, el cociente así obtenido se multiplicará por cien y el
producto se expresará en por ciento.
En el caso de que el beneficio de las inversiones a
que se refieren las fracciones II y III de este artículo se concrete en el
mismo ejercicio en el que se realizó la erogación, la deducción podrá
efectuarse en su totalidad en dicho ejercicio.
Artículo 34. Los por cientos máximos autorizados, tratándose de
activos fijos por tipo de bien son los siguientes:
I. Tratándose
de construcciones:
a) 10% para
inmuebles declarados como monumentos arqueológicos, artísticos, históricos o
patrimoniales, conforme a la Ley Federal sobre Monumentos y Zonas
Arqueológicos, Artísticos e Históricos, que cuenten con el certificado de
restauración expedido por el Instituto Nacional de Antropología e Historia o el
Instituto Nacional de Bellas Artes.
b) 5% en los demás
casos.
II. Tratándose
de ferrocarriles:
a) 3% para bombas
de suministro de combustible a trenes.
b) 5% para vías
férreas.
c) 6% para carros
de ferrocarril, locomotoras, armones y autoarmones.
d) 7% para
maquinaria niveladora de vías, desclavadoras, esmeriles para vías, gatos de
motor para levantar la vía, removedora, insertadora y taladradora de durmientes.
e) 10% para el
equipo de comunicación, señalización y telemando.
III. 10% para
mobiliario y equipo de oficina.
IV. 6% para
embarcaciones.
V. Tratándose
de aviones:
a) 25% para los
dedicados a la aerofumigación agrícola.
b) 10% para los
demás.
VI. 25% para
automóviles, autobuses, camiones de carga, tractocamiones,
montacargas y remolques.
VII. 30% para
computadoras personales de escritorio y portátiles; servidores; impresoras,
lectores ópticos, graficadores, lectores de código de
barras, digitalizadores, unidades de almacenamiento externo y concentradores de
redes de cómputo.
VIII. 35% para
dados, troqueles, moldes, matrices y herramental.
IX. 100% para
semovientes y vegetales.
X. Tratándose
de comunicaciones telefónicas:
a) 5% para torres
de transmisión y cables, excepto los de fibra óptica.
b) 8% para
sistemas de radio, incluyendo equipo de transmisión y manejo que utiliza el
espectro radioeléctrico, tales como el de radiotransmisión de microonda digital
o analógica, torres de microondas y guías de onda.
c) 10% para equipo
utilizado en la transmisión, tales como circuitos de la planta interna que no
forman parte de la conmutación y cuyas funciones se enfocan hacia las troncales
que llegan a la central telefónica, incluye multiplexores, equipos
concentradores y ruteadores.
d) 25% para equipo
de la central telefónica destinado a la conmutación de llamadas de tecnología
distinta a la electromecánica.
e) 10% para los
demás.
XI. Tratándose
de comunicaciones satelitales:
a) 8% para el
segmento satelital en el espacio, incluyendo el cuerpo principal del satélite,
los transpondedores, las antenas para la transmisión
y recepción de comunicaciones digitales y análogas, y el equipo de monitoreo en
el satélite.
b) 10% para el
equipo satelital en tierra, incluyendo las antenas para la transmisión y
recepción de comunicaciones digitales y análogas y el equipo para el monitoreo
del satélite.
XII. 100% para
adaptaciones que se realicen a instalaciones que impliquen adiciones o mejoras
al activo fijo, siempre que dichas adaptaciones tengan como finalidad facilitar
a las personas con discapacidad a que se refiere el artículo 186 de esta Ley,
el acceso y uso de las instalaciones del contribuyente.
XIII. 100% para
maquinaria y equipo para la generación de energía proveniente de fuentes
renovables o de sistemas de cogeneración de electricidad eficiente.
Para
los efectos del párrafo anterior, son fuentes renovables aquéllas que por su
naturaleza o mediante un aprovechamiento adecuado se consideran inagotables,
tales como la energía solar en todas sus formas; la energía eólica; la energía
hidráulica tanto cinética como potencial, de cualquier cuerpo de agua natural o
artificial; la energía de los océanos en sus distintas formas; la energía
geotérmica, y la energía proveniente de la biomasa o de los residuos. Asimismo,
se considera generación la conversión sucesiva de la energía de las fuentes
renovables en otras formas de energía.
Lo
dispuesto en esta fracción será aplicable siempre que la maquinaria y equipo se
encuentren en operación o funcionamiento durante un periodo mínimo de 5 años
inmediatos siguientes al ejercicio en el que se efectúe la deducción, salvo en
los casos a que se refiere el artículo 37 de esta Ley. Los contribuyentes que
incumplan con el plazo mínimo establecido en este párrafo, deberán cubrir, en
su caso, el impuesto correspondiente por la diferencia que resulte entre el
monto deducido conforme a esta fracción y el monto que se debió deducir en cada
ejercicio en los términos de este artículo o del artículo 35 de esta Ley, de no
haberse aplicado la deducción del 100%. Para estos efectos, el contribuyente
deberá presentar declaraciones complementarias por cada uno de los ejercicios
correspondientes, a más tardar dentro del mes siguiente a aquél en el que se
incumpla con el plazo establecido en esta fracción, debiendo cubrir los
recargos y la actualización correspondiente, desde la fecha en la que se
efectuó la deducción y hasta el último día en el que operó o funcionó la
maquinaria y equipo.
XIV. 25% para
bicicletas convencionales, bicicletas y motocicletas cuya propulsión sea a
través de baterías eléctricas recargables.
Fracción adicionada DOF 30-11-2016
Artículo 35. Para la maquinaria y equipo distintos de los señalados
en el artículo anterior, se aplicarán, de acuerdo a la actividad en que sean
utilizados, los por cientos siguientes:
I. 5% en la
generación, conducción, transformación y distribución de electricidad; en la
molienda de granos; en la producción de azúcar y sus derivados; en la
fabricación de aceites comestibles; en el transporte marítimo, fluvial y
lacustre.
II. 6% en la
producción de metal obtenido en primer proceso; en la fabricación de productos
de tabaco y derivados del carbón natural.
III. 7% en la
fabricación de pulpa, papel y productos similares.
Fracción reformada DOF 30-11-2016
IV. 8% en la
fabricación de vehículos de motor y sus partes; en la construcción de
ferrocarriles y navíos; en la fabricación de productos de metal, de maquinaria
y de instrumentos profesionales y científicos; en la elaboración de productos alimenticios
y de bebidas, excepto granos, azúcar, aceites comestibles y derivados.
V. 9% en el
curtido de piel y la fabricación de artículos de piel; en la elaboración de
productos químicos, petroquímicos y farmacobiológicos;
en la fabricación de productos de caucho y de plástico; en la impresión y
publicación gráfica.
VI. 10% en el
transporte eléctrico; en infraestructura fija para el transporte,
almacenamiento y procesamiento de hidrocarburos, en plataformas y embarcaciones
de perforación de pozos, y embarcaciones de procesamiento y almacenamiento de
hidrocarburos.
Fracción reformada DOF 30-11-2016
VII. 11% en la
fabricación, acabado, teñido y estampado de productos textiles, así como de
prendas para el vestido.
VIII. 12% en la
industria minera; en la construcción de aeronaves y en el transporte terrestre
de carga y pasajeros. Lo dispuesto en esta fracción no será aplicable a la
maquinaria y equipo señalada en la fracción II de este artículo.
IX. 16% en el
transporte aéreo; en la transmisión de los servicios de comunicación
proporcionados por telégrafos y por las estaciones de radio y televisión.
X. 20% en
restaurantes.
XI. 25% en la
industria de la construcción; en actividades de agricultura, ganadería,
silvicultura y pesca.
XII. 35% para los
destinados directamente a la investigación de nuevos productos o desarrollo de
tecnología en el país.
XIII. 50% en la
manufactura, ensamble y transformación de componentes magnéticos para discos
duros y tarjetas electrónicas para la industria de la computación.
XIV. 10% en otras
actividades no especificadas en este artículo.
En el caso de que el contribuyente se dedique a dos o
más actividades de las señaladas en este artículo, se aplicará el por ciento
que le corresponda a la actividad en la que hubiera obtenido más ingresos en el
ejercicio inmediato anterior.
Artículo 36. La deducción de las inversiones se sujetará a las
reglas siguientes:
I. Las
reparaciones, así como las adaptaciones a las instalaciones se considerarán
inversiones siempre que impliquen adiciones o mejoras al activo fijo.
En
ningún caso se considerarán inversiones los gastos por concepto de
conservación, mantenimiento y reparación, que se eroguen con el objeto de
mantener el bien de que se trate en condiciones de operación.
II. Las inversiones
en automóviles sólo serán deducibles hasta por un monto de $175,000.00.
Tratándose de inversiones realizadas en automóviles cuya propulsión sea a
través de baterías eléctricas recargables, así como los automóviles eléctricos
que además cuenten con motor de combustión interna o con motor accionado por
hidrógeno, sólo serán deducibles hasta por un monto de $250,000.00.
Párrafo reformado DOF 18-11-2015,
30-11-2016
Lo
dispuesto en esta fracción no será aplicable tratándose de contribuyentes cuya
actividad consista en el otorgamiento del uso o goce temporal de automóviles,
siempre y cuando los destinen exclusivamente a dicha actividad.
III. Las
inversiones en casas habitación y en comedores, que por su naturaleza no estén
a disposición de todos los trabajadores de la empresa, así como en aviones y
embarcaciones que no tengan concesión o permiso del Gobierno Federal para ser
explotados comercialmente, sólo serán deducibles en los casos que reúnan los
requisitos que señale el Reglamento de esta Ley. En el caso de aviones, la
deducción se calculará considerando como monto original máximo de la inversión,
una cantidad equivalente a $8’600,000.00.
Tratándose
de contribuyentes cuya actividad preponderante consista en el otorgamiento del
uso o goce temporal de aviones o automóviles, podrán efectuar la deducción
total del monto original de la inversión del avión o del automóvil de que se
trate, excepto cuando dichos contribuyentes otorguen el uso o goce temporal de
aviones o automóviles a otro contribuyente, cuando alguno de ellos, o sus
socios o accionistas, sean a su vez socios o accionistas del otro, o exista una
relación que de hecho le permita a uno de ellos ejercer una influencia
preponderante en las operaciones del otro, en cuyo caso la deducción se determinará
en los términos del primer párrafo de esta fracción, para el caso de aviones y
en los términos de la fracción II de este artículo para el caso de automóviles.
Las
inversiones en casas de recreo en ningún caso serán deducibles.
Tratándose
de personas morales que hayan optado por tributar en los términos del Capítulo
VI del Título II de esta Ley, no podrán aplicar la deducción a que se refiere
está fracción en el caso de inversiones en aviones que no tengan concesión o
permiso del Gobierno Federal para ser explotados comercialmente.
IV. En los
casos de bienes adquiridos por fusión o escisión de sociedades, los valores
sujetos a deducción no deberán ser superiores a los valores pendientes de
deducir en la sociedad fusionada o escindente, según corresponda.
V. Las
comisiones y los gastos relacionados con la emisión de obligaciones o de
cualquier otro título de crédito, colocados entre el gran público
inversionista, o cualquier otro título de crédito de los señalados en el
artículo 8 de esta Ley, se deducirán anualmente en proporción a los pagos
efectuados para redimir dichas obligaciones o títulos, en cada ejercicio.
Cuando las obligaciones y los títulos a que se refiere esta fracción se rediman
mediante un solo pago, las comisiones y los gastos se deducirán por partes
iguales durante los ejercicios que transcurran hasta que se efectúe el pago.
VI. Las
construcciones, instalaciones o mejoras permanentes en activos fijos tangibles,
propiedad de terceros, que de conformidad con los contratos de arrendamiento o
de concesión respectivos queden a beneficio del propietario y se hayan
efectuado a partir de la fecha de celebración de los contratos mencionados, se
deducirán en los términos de esta Sección. Cuando la terminación del contrato
ocurra sin que las inversiones deducibles hayan sido fiscalmente redimidas, el
valor por redimir podrá deducirse en la declaración del ejercicio respectivo.
VII. Tratándose
de regalías, se podrá efectuar la deducción en los términos de la fracción III
del artículo 33 de esta Ley, únicamente cuando las mismas hayan sido
efectivamente pagadas.
Artículo 37. Las pérdidas de bienes del contribuyente por caso
fortuito o fuerza mayor, que no se reflejen en el inventario, serán deducibles
en el ejercicio en que ocurran. La pérdida será igual a la cantidad pendiente
de deducir a la fecha en que se sufra. La cantidad que se recupere se acumulará
en los términos del artículo 18 de esta Ley.
Cuando los activos fijos no identificables
individualmente se pierdan por caso fortuito o fuerza mayor o dejen de ser
útiles, el monto pendiente por deducir de dichos activos se aplicará
considerando que los primeros activos que se adquirieron son los primeros que
se pierden.
Cuando el contribuyente reinvierta la cantidad
recuperada en la adquisición de bienes de naturaleza análoga a los que perdió,
o bien, para redimir pasivos por la adquisición de dichos bienes, únicamente
acumulará la parte de la cantidad recuperada no reinvertida o no utilizada para
redimir pasivos. La cantidad reinvertida que provenga de la recuperación sólo
podrá deducirse mediante la aplicación del por ciento autorizado por esta Ley
sobre el monto original de la inversión del bien que se perdió y hasta por la
cantidad que de este monto estaba pendiente de deducirse a la fecha de sufrir
la pérdida.
Si el contribuyente invierte cantidades adicionales a
las recuperadas, considerará a éstas como una inversión diferente.
La reinversión a que se refiere este precepto, deberá
efectuarse dentro de los doce meses siguientes contados a partir de que se
obtenga la recuperación. En el caso de que las cantidades recuperadas no se
reinviertan o no se utilicen para redimir pasivos, en dicho plazo, se
acumularán a los demás ingresos obtenidos en el ejercicio en el que concluya el
plazo.
Los contribuyentes podrán solicitar autorización a las
autoridades fiscales, para que el plazo señalado en el párrafo anterior se
pueda prorrogar por otro periodo igual.
La cantidad recuperada no reinvertida en el plazo
señalado en el quinto párrafo de este artículo, se ajustará multiplicándola por
el factor de actualización correspondiente al periodo comprendido desde el mes
en que se obtuvo la recuperación y hasta el mes en que se acumule.
Cuando sea impar el número de meses comprendidos en el
periodo en el que el bien haya sido utilizado en el ejercicio, se considerará
como último mes de la primera mitad de dicho periodo el mes inmediato anterior
al que corresponda la mitad del periodo.
Artículo 38. Tratándose de contratos de arrendamiento financiero,
el arrendatario considerará como monto original de la inversión, la cantidad
que se hubiere pactado como valor del bien en el contrato respectivo.
Cuando en los contratos de arrendamiento financiero se
haga uso de alguna de sus opciones, para la deducción de las inversiones
relacionadas con dichos contratos se observará lo siguiente:
I. Si se
opta por transferir la propiedad del bien objeto del contrato mediante el pago
de una cantidad determinada, o bien, por prorrogar el contrato por un plazo
cierto, el importe de la opción se considerará complemento del monto original
de la inversión, por lo que se deducirá en el por ciento que resulte de dividir
el importe de la opción entre el número de años que falten para terminar de
deducir el monto original de la inversión.
II. Si se
obtiene participación por la enajenación de los bienes a terceros, deberá
considerarse como deducible la diferencia entre los pagos efectuados y las
cantidades ya deducidas, menos el ingreso obtenido por la participación en la
enajenación a terceros.
SECCIÓN III
DEL COSTO DE LO VENDIDO
Artículo 39. El costo de las mercancías que se enajenen, así como
el de las que integren el inventario final del ejercicio, se determinará
conforme al sistema de costeo absorbente sobre la base de costos históricos o
predeterminados. En todo caso, el costo se deducirá en el ejercicio en el que
se acumulen los ingresos que se deriven de la enajenación de los bienes de que
se trate.
Los contribuyentes que realicen actividades
comerciales que consistan en la adquisición y enajenación de mercancías,
considerarán únicamente dentro del costo lo siguiente:
a) El
importe de las adquisiciones de mercancías, disminuidas con el monto de las
devoluciones, descuentos y bonificaciones, sobre las mismas, efectuados en el ejercicio.
b) Los gastos
incurridos para adquirir y dejar las mercancías en condiciones de ser
enajenadas.
Los contribuyentes que realicen actividades distintas
de las señaladas en el segundo párrafo de este artículo, considerarán
únicamente dentro del costo lo siguiente:
a) Las
adquisiciones de materias primas, productos semiterminados
o productos terminados, disminuidas con las devoluciones, descuentos y
bonificaciones, sobre los mismos, efectuados en el ejercicio.
b) Las
remuneraciones por la prestación de servicios personales subordinados,
relacionados directamente con la producción o la prestación de servicios.
c) Los gastos
netos de descuentos, bonificaciones o devoluciones, directamente relacionados con
la producción o la prestación de servicios.
d) La
deducción de las inversiones directamente relacionadas con la producción de
mercancías o la prestación de servicios, calculada conforme a la Sección II,
del Capítulo II, del Título II de esta Ley.
Cuando los conceptos a que se refieren los incisos del
párrafo anterior guarden una relación indirecta con la producción, los mismos
formarán parte del costo en proporción a la importancia que tengan en dicha
producción.
Para determinar el costo del ejercicio, se excluirá el
correspondiente a la mercancía no enajenada en el mismo, así como el de la
producción en proceso, al cierre del ejercicio de que se trate.
Los residentes en el extranjero con establecimiento
permanente en el país, determinarán el costo de las mercancías conforme a lo
establecido en esta Ley. Tratándose del costo de las mercancías que reciban de
la oficina central o de otro establecimiento del contribuyente ubicado en el
extranjero, estarán a lo dispuesto en el artículo 27, fracción XIV de esta Ley.
Para determinar el costo de lo vendido de la
mercancía, se deberá aplicar el mismo procedimiento en cada ejercicio durante
un periodo mínimo de cinco ejercicios y sólo podrá variarse cumpliendo con los
requisitos que se establezcan en el Reglamento de esta Ley.
En ningún caso se dará efectos fiscales a la
revaluación de los inventarios o del costo de lo vendido.
Artículo 40. Los contribuyentes que celebren contratos de
arrendamiento financiero y opten por acumular como ingreso del ejercicio, la
parte del precio exigible durante el mismo, deberán deducir el costo de lo
vendido en la proporción que represente el ingreso percibido en dicho
ejercicio, respecto del total de los pagos pactados en el plazo inicial
forzoso, en lugar de deducir el monto total del costo de lo vendido al momento
en el que se enajenen las mercancías.
Artículo 41. Los contribuyentes, podrán optar por cualquiera de
los métodos de valuación de inventarios que se señalan a continuación:
I. Primeras
entradas primeras salidas (PEPS).
II. Costo
identificado.
III. Costo
promedio.
IV. Detallista.
Cuando se opte por utilizar el método a que se refiere
la fracción I de este artículo, se deberá llevar por cada tipo de mercancías de
manera individual, sin que se pueda llevar en forma monetaria. En los términos
que establezca el Reglamento de esta Ley se podrán establecer facilidades para no identificar los porcentajes de
deducción del costo respecto de las compras por cada tipo de mercancías de
manera individual.
Los contribuyentes que enajenen mercancías que se
puedan identificar por número de serie y su costo exceda de $50,000.00,
únicamente deberán emplear el método de costo identificado.
Tratándose de contribuyentes que opten por emplear el
método detallista deberán valuar sus inventarios al precio de venta disminuido
con el margen de utilidad bruta que tengan en el ejercicio conforme al
procedimiento que se establezca en el Reglamento de esta Ley. La opción a que
se refiere este párrafo no libera a los contribuyentes de la obligación de
llevar el sistema de control de inventarios a que se refiere la fracción XIV
del artículo 76 de esta Ley.
Una vez elegido el método en los términos de este
artículo, se deberá utilizar el mismo durante un periodo mínimo de cinco
ejercicios. Cuando los contribuyentes para efectos contables utilicen un método
distinto a los señalados en este artículo, podrán seguir utilizándolo para
valuar sus inventarios para efectos contables, siempre que lleven un registro
de la diferencia del costo de las mercancías que exista entre el método de
valuación utilizado por el contribuyente para efectos contables y el método de
valuación que utilice en los términos de este artículo. La cantidad que se
determine en los términos de este párrafo no será acumulable o deducible.
Cuando con motivo de un cambio en el método de
valuación de inventarios se genere una deducción, ésta se deberá disminuir de
manera proporcional en los cinco ejercicios siguientes.
Artículo 42. Cuando el costo de las mercancías, sea superior al
precio de mercado o de reposición, podrá considerarse el que corresponda de
acuerdo a lo siguiente:
I. El de
reposición, sea éste por adquisición o producción, sin que exceda del valor de
realización ni sea inferior al neto de realización.
II. El de
realización, que es el precio normal de enajenación menos los gastos directos
de enajenación, siempre que sea inferior al valor de reposición.
III. El neto de
realización, que es el equivalente al precio normal de enajenación menos los
gastos directos de enajenación y menos el por ciento de utilidad que habitualmente
se obtenga en su realización, si es superior al valor de reposición.
Cuando los contribuyentes enajenen las mercancías a
una parte relacionada en los términos del artículo 179 de esta Ley, se
utilizará cualquiera de los métodos a que se refieren las fracciones I, II y
III, del artículo 180 de la misma.
Los contribuyentes que hubieran optado por presentar
dictamen de estados financieros para efectos fiscales en términos del artículo
32-A del Código Fiscal de la Federación, o hayan estado obligados a presentar
la declaración informativa sobre su situación fiscal en los términos del
artículo 32-H del citado Código, deberán informar en el dictamen o en la
declaración informativa, según se trate, el costo de las mercancías que
consideraron de conformidad con este artículo, tratándose de los demás
contribuyentes deberán informarlo en la declaración del ejercicio.
Artículo 43. Cuando los contribuyentes, con motivo de la prestación
de servicios proporcionen bienes en los términos establecidos en el artículo
17, segundo párrafo, del Código Fiscal de la Federación, sólo se podrán deducir
en el ejercicio en el que se acumule el ingreso por la prestación del servicio,
valuados conforme a cualquiera de los métodos establecidos en el artículo 41 de
esta Ley.
CAPÍTULO III
DEL AJUSTE POR INFLACIÓN
Artículo 44. Las personas morales determinarán, al cierre de cada
ejercicio, el ajuste anual por inflación, como sigue:
I. Determinarán
el saldo promedio anual de sus deudas y el saldo promedio anual de sus
créditos.
El
saldo promedio anual de los créditos o deudas será la suma de los saldos al
último día de cada uno de los meses del ejercicio, dividida entre el número de
meses del ejercicio. No se incluirán en el saldo del último día de cada mes los
intereses que se devenguen en el mes.
II. Cuando el
saldo promedio anual de las deudas sea mayor que el saldo promedio anual de los
créditos, la diferencia se multiplicará por el factor de ajuste anual y el
resultado será el ajuste anual por inflación acumulable.
Cuando
el saldo promedio anual de los créditos sea mayor que el saldo promedio anual
de las deudas, la diferencia se multiplicará por el factor de ajuste anual y el
resultado será el ajuste anual por inflación deducible.
III. El factor
de ajuste anual será el que se obtenga de restar la unidad al cociente que se
obtenga de dividir el Índice Nacional de Precios al Consumidor del último mes
del ejercicio de que se trate entre el citado índice del último mes del
ejercicio inmediato anterior.
Cuando
el ejercicio sea menor de 12 meses, el factor de ajuste anual será el que se
obtenga de restar la unidad al cociente que se obtenga de dividir el Índice
Nacional de Precios al Consumidor del último mes del ejercicio de que se trate
entre el citado índice del mes inmediato anterior al del primer mes del
ejercicio de que se trate.
Los
créditos y las deudas, en moneda extranjera, se valuarán a la paridad existente
al primer día del mes.
Artículo 45. Para los efectos del artículo anterior, se considerará
crédito, el derecho que tiene una persona acreedora a recibir de otra deudora
una cantidad en numerario, entre otros: los derechos de crédito que adquieran
las empresas de factoraje financiero, las inversiones en acciones de fondos de inversión en instrumentos de deuda
y las operaciones financieras derivadas señaladas en la fracción IX del
artículo 20 de esta Ley.
Párrafo reformado DOF 18-11-2015
No se consideran créditos para los efectos del
artículo anterior:
I. Los que
sean a cargo de personas físicas y no provengan de sus actividades
empresariales, cuando sean a la vista, a plazo menor de un mes o a plazo mayor
si se cobran antes del mes. Se considerará que son a plazo mayor de un mes, si
el cobro se efectúa después de 30 días naturales contados a partir de aquél en que
se concertó el crédito.
II. Los que
sean a cargo de socios o accionistas, asociantes o asociados en la asociación
en participación, que sean personas físicas o sociedades residentes en el
extranjero, salvo que en este último caso, estén denominadas en moneda
extranjera y provengan de la exportación de bienes o servicios.
Tampoco
se consideran créditos, los que la fiduciaria tenga a su favor con sus
fideicomitentes o fideicomisarios en el fideicomiso por el que se realicen
actividades empresariales, que sean personas físicas o sociedades residentes en
el extranjero, salvo que en este último caso, estén denominadas en moneda
extranjera y provengan de la exportación de bienes o servicios.
No
será aplicable lo dispuesto en esta fracción, tratándose de créditos otorgados
por las uniones de crédito a cargo de sus socios o accionistas, que operen
únicamente con sus socios o accionistas.
III. Los que
sean a cargo de funcionarios y empleados, así como los préstamos efectuados a
terceros a que se refiere la fracción VII del artículo 27 de esta Ley.
IV. Los pagos
provisionales de impuestos, así como los estímulos fiscales.
V. Cualquier
ingreso cuya acumulación esté condicionada a su percepción efectiva. Lo
dispuesto en esta fracción no es aplicable a los ingresos derivados de los
contratos de arrendamiento financiero por los que se ejerza la opción prevista
en el artículo 17, fracción III de esta Ley.
VI. Las
acciones, los certificados de participación no amortizables y los certificados
de depósito de bienes y en general los títulos de crédito que representen la
propiedad de bienes, las aportaciones a una asociación en participación, así
como otros títulos valor cuyos rendimientos no se consideren interés en los
términos del artículo 8 de esta Ley.
VII. El efectivo
en caja.
Los créditos que deriven de los ingresos acumulables,
disminuidos por el importe de descuentos y bonificaciones sobre los mismos, se
considerarán como créditos para los efectos de este artículo, a partir de la
fecha en la que los ingresos correspondientes se acumulen y hasta la fecha en
la que se cobren en efectivo, en bienes, en servicios o, hasta la fecha de su
cancelación por incobrables. En el caso de la cancelación de la operación que
dio lugar al crédito, se cancelará la parte del ajuste anual por inflación que
le corresponda a dicho crédito, en los términos que establezca el Reglamento de
esta Ley, siempre que se trate de créditos que se hubiesen considerado para
dicho ajuste.
Para los efectos de este artículo, los saldos a favor
por contribuciones únicamente se considerarán créditos a partir del día
siguiente a aquél en el que se presente la declaración correspondiente y hasta
la fecha en la que se compensen, se acrediten o se reciba su devolución, según
se trate.
Artículo 46. Para los efectos del artículo 44 de esta Ley, se
considerará deuda, cualquier obligación en numerario pendiente de cumplimiento,
entre otras: las derivadas de contratos de arrendamiento financiero, de
operaciones financieras derivadas a que se refiere la fracción IX del artículo
20 de la misma, las aportaciones para futuros aumentos de capital y las
contribuciones causadas desde el último día del periodo al que correspondan y
hasta el día en el que deban pagarse.
También son deudas, los pasivos y las reservas del
activo, pasivo o capital, que sean o hayan sido deducibles. Para estos efectos,
se considera que las reservas se crean o incrementan mensualmente y en la
proporción que representan los ingresos del mes del total de ingresos en el
ejercicio.
En ningún caso se considerarán deudas las originadas
por partidas no deducibles, en los términos de las fracciones I, VIII y IX del
artículo 28 de esta Ley, así como el monto de las deudas que excedan el límite
a que se refiere el primer párrafo de la fracción XXVII y el monto de las
deudas de las cuales deriven intereses no deducibles de conformidad con la
fracción XXXII del mismo artículo, según sean aplicables durante el ejercicio.
Sin embargo, en el caso de la fracción XXXII del artículo 28 de esta Ley,
cuando el monto de los intereses no deducibles, sea deducido en un ejercicio
posterior de conformidad con dicha fracción, el monto de la deuda de la cual
deriven dichos intereses sí se considerará para el cálculo señalado en el
artículo 44 de esta Ley en dicho ejercicio.
Párrafo reformado DOF 09-12-2019
Para los efectos del artículo 44 de esta Ley, se
considerará que se contraen deudas por la adquisición de bienes y servicios,
por la obtención del uso o goce temporal de bienes o por capitales tomados en
préstamo, cuando se dé cualquiera de los supuestos siguientes:
I. Tratándose
de la adquisición de bienes o servicios, así como de la obtención del uso o
goce temporal de bienes, cuando se dé alguno de los supuestos previstos en el
artículo 17 de esta Ley y el precio o la contraprestación, se pague con
posterioridad a la fecha en que ocurra el supuesto de que se trate.
II. Tratándose
de capitales tomados en préstamo, cuando se reciba parcial o totalmente el
capital.
En el caso de la cancelación de una operación de la
cual deriva una deuda, se cancelará la parte del ajuste anual por inflación que
le corresponda a dicha deuda, en los términos que establezca el Reglamento de
esta Ley, siempre que se trate de deudas que se hubiesen considerado para dicho
ajuste.
CAPÍTULO IV
DE LAS INSTITUCIONES DE CRÉDITO, DE SEGUROS Y
DE FIANZAS, DE LOS ALMACENES GENERALES DE DEPÓSITO, ARRENDADORAS FINANCIERAS Y
UNIONES DE CRÉDITO
Artículo 47. Los almacenes generales de depósito harán las
deducciones a que se refiere este Título, dentro de las que considerarán la
creación o incremento, efectuados previa revisión de la Comisión Nacional
Bancaria y de Valores, de la reserva de contingencia.
Cuando al término de un ejercicio proceda disminuir la
reserva a que se refiere este artículo en relación con las constituidas en el
ejercicio inmediato anterior, la diferencia se acumulará como ingreso en el
ejercicio en que proceda la disminución.
Artículo 48. Los establecimientos en el extranjero de
instituciones de crédito del país deberán pagar el impuesto a la tasa del 4.9%
por los ingresos por intereses que perciban del capital que coloquen o
inviertan en el país, o que sean pagados por residentes en territorio nacional
o residentes en el extranjero con establecimiento permanente en el país, sin deducción
alguna.
El impuesto a que se refiere el párrafo anterior se
enterará mediante retención que efectuarán las personas que hagan los pagos de
intereses a que se refiere este artículo. Las instituciones de crédito podrán
acreditar la retención efectuada contra el impuesto sobre la renta a su cargo,
en la declaración del ejercicio, siempre que cuenten con la constancia de
retención. En ningún caso procederá solicitar la devolución de los montos no
acreditados en el ejercicio.
Cuando los intereses no se hubieren pagado a la fecha
de su exigibilidad, el retenedor estará obligado a enterar una cantidad
equivalente a la que debió haber retenido en la fecha de la exigibilidad.
Las instituciones de crédito deberán acumular a sus
demás ingresos los intereses a que se refiere este artículo. Dichas
instituciones, para los efectos del tercer párrafo del artículo 77 de esta Ley,
no restarán del resultado fiscal el impuesto pagado conforme a este artículo.
Cuando la persona que pague los intereses cubra por
cuenta del establecimiento el impuesto que a éste le corresponda, el importe de
dicho impuesto se considerará interés.
No se causará el impuesto a que se refiere este
artículo por los intereses que perciban dichos establecimientos y que, de haber
sido pagados directamente a un residente en el extranjero, quedarían
exceptuados del pago del impuesto sobre la renta en los términos del artículo
166 de esta Ley.
Artículo 49. Las instituciones de crédito podrán acumular los
ingresos que se deriven de los convenios con la Secretaría de Hacienda y
Crédito Público, en los términos de la fracción III del artículo 32-B del
Código Fiscal de la Federación, en el momento en que los perciban en efectivo o
en bienes y en el monto efectivamente percibido una vez efectuadas las
disminuciones previstas en dichos convenios.
Las instituciones de crédito, para determinar el
ajuste anual por inflación acumulable o deducible, en los términos del artículo
44 de esta Ley, considerarán como créditos, además de los señalados en el
artículo 45 de la misma, los créditos mencionados en la fracción I de dicho
artículo.
Artículo 50. Las instituciones de seguros harán las deducciones a
que se refiere este Título, dentro de las que considerarán la creación o
incremento, únicamente de las reservas de riesgos en curso, por obligaciones
pendientes de cumplir por siniestros y por vencimientos, así como de las
reservas de riesgos catastróficos.
Las instituciones de seguros autorizadas para la venta
de seguros de pensiones, derivados de las leyes de seguridad social, además de
efectuar las deducciones previstas en el párrafo anterior, podrán deducir la
creación o el incremento de la reserva matemática especial vinculada con los
seguros antes mencionados, así como las otras reservas previstas en la Ley de
Instituciones de Seguros y de Fianzas cuando
cumplan con la condición de que toda liberación sea destinada al fondo especial
de los seguros de pensiones, de conformidad con esta última Ley, en el cual el
Gobierno Federal participe como fideicomisario.
Párrafo reformado DOF 18-11-2015
Cuando al término de un ejercicio proceda disminuir
las reservas a que se refiere este artículo en relación con las constituidas en
el ejercicio inmediato anterior, la diferencia se acumulará como ingreso en el
ejercicio en el que proceda la disminución. Para determinar la disminución de
las reservas, no se considerará la liberación de dichas reservas destinadas al
fondo especial de los seguros de pensiones a que se refiere el párrafo
anterior.
También serán deducibles los llamados dividendos o
intereses que como procedimiento de ajuste de primas paguen o compensen las
instituciones a sus asegurados, de conformidad con las pólizas respectivas.
Artículo 51. Las instituciones de seguros, para los efectos del
artículo 44 de esta Ley, considerarán, adicionalmente, como créditos para los
efectos del citado artículo, los terrenos y las acciones que representen
inversiones autorizadas para garantizar las reservas deducibles conforme al
artículo anterior, creadas por dichas instituciones. Para estos efectos, se
considerarán los saldos de las cuentas de terrenos y de acciones al último día
de cada mes, sin actualización alguna. Cuando se enajenen dichos bienes, el
monto original de la inversión o el costo comprobado de adquisición de los
mismos, según corresponda, no se actualizará.
Artículo 52. Las instituciones de fianzas harán las deducciones a
que se refiere este Título, dentro de las que considerarán la creación o
incremento, efectuados previa revisión de la Comisión Nacional de Seguros y
Fianzas, de las siguientes reservas:
a) La de
fianzas en vigor.
b) La de
contingencia.
Cuando al término de un ejercicio proceda disminuir
las reservas a que se refiere este artículo en relación con las constituidas en
el ejercicio inmediato anterior, la diferencia se acumulará como ingreso en el
ejercicio en el que proceda la disminución.
También serán deducibles los llamados dividendos o
intereses que como procedimiento de ajuste de primas paguen o compensen las
instituciones a sus asegurados, de conformidad con las pólizas respectivas.
Artículo 53. Los contribuyentes que hubieran adquirido bienes o
derechos por dación en pago o por adjudicación, que no puedan conservar en
propiedad por disposición legal, no podrán deducirlos conforme al artículo 25
de esta Ley. Para determinar la ganancia obtenida o la pérdida sufrida en la
enajenación que realicen de los citados bienes o derechos, restarán al ingreso
que obtengan por dicha enajenación en el ejercicio en el cual se enajene el
bien o derecho, el costo comprobado de adquisición, el cual se podrá ajustar
multiplicándolo por el factor de actualización correspondiente al periodo
comprendido desde el mes en el que el bien o derecho fue adquirido por dación
en pago o por adjudicación y hasta el mes inmediato anterior a la fecha en la
que dicho bien o derecho sea enajenado a un tercero, por quien lo recibió en
pago o por adjudicación. Tratándose de acciones, el monto que se restará en los
términos de este párrafo, será el costo promedio por acción que se determine de
acuerdo con lo dispuesto por el artículo 22 de esta Ley.
Artículo 54. Las instituciones que componen el sistema financiero
que efectúen pagos por intereses, deberán retener y enterar el impuesto
aplicando la tasa que al efecto establezca el Congreso de la Unión para el
ejercicio de que se trate en la Ley de Ingresos de la Federación sobre el monto
del capital que dé lugar al pago de los intereses, como pago provisional. La
retención se enterará ante las oficinas autorizadas, a más tardar el día 17 del
mes inmediato siguiente a aquél al que corresponda, y se deberá expedir
comprobante fiscal en el que conste el monto del pago de los intereses, así
como el impuesto retenido.
No se efectuará la retención a que se refiere el
párrafo anterior, tratándose de:
I. Intereses
que se paguen a:
a) La Federación,
las entidades federativas o los municipios.
b) Los organismos
descentralizados cuyas actividades no sean preponderantemente empresariales,
así como a aquellos sujetos a control presupuestario en los términos de la Ley
Federal de Presupuesto y Responsabilidad Hacendaria, que determine el Servicio
de Administración Tributaria.
c) Los partidos o
asociaciones políticas, legalmente reconocidos.
d) Las personas
morales autorizadas para recibir donativos deducibles en los términos de esta
Ley.
e) Las sociedades
de inversión especializadas en fondos para el retiro, a los fondos de pensiones
o jubilaciones de personal complementarios a los que establece la Ley del
Seguro Social y a las empresas de seguros de pensiones autorizadas
exclusivamente para operar seguros de pensiones derivados de las leyes de
seguridad social en la forma de rentas vitalicias o seguros de sobrevivencia
conforme a dichas leyes, así como a las cuentas o canales de inversión que se
implementen con motivo de los planes personales para el retiro a que se refiere
el artículo 151, fracción V de esta Ley.
f) Los estados
extranjeros en los casos de reciprocidad.
II. Intereses
que se paguen entre el Banco de México, las instituciones que componen el
sistema financiero y las sociedades de inversión especializadas en fondos para
el retiro. No será aplicable lo dispuesto en esta fracción, tratándose de
intereses que deriven de pasivos que no sean a cargo de dichas instituciones o
sociedades, así como cuando éstas actúen por cuenta de terceros.
III. Los que se
paguen a fondos o fideicomisos de fomento económico del Gobierno Federal.
IV. Los
intereses que paguen los intermediarios financieros a los fondos de pensiones o
jubilaciones de personal y de primas de antigüedad, constituidos en los
términos del artículo 29 de esta Ley ni los que se paguen a fondos de inversión
en instrumentos de deuda que administren en forma exclusiva inversiones de
dichos fondos o agrupen como inversionistas de manera exclusiva a la
Federación, a las entidades federativas, a los municipios, a los organismos
descentralizados cuyas actividades no sean preponderantemente empresariales, a
los partidos políticos y asociaciones políticas legalmente reconocidos.
Fracción reformada DOF 18-11-2015
V. Los
intereses que se paguen a fondos de ahorro y cajas de ahorro de trabajadores o
a las personas morales constituidas únicamente con el objeto de administrar
dichos fondos o cajas de ahorro.
Lo
dispuesto en el párrafo anterior será aplicable únicamente cuando se cumpla con
lo siguiente:
a) Que los fondos
y cajas de ahorro a que se refiere esta fracción cumplan con los requisitos que
al efecto se establezcan en el Reglamento de esta Ley y que quien constituya el
fondo o la caja de ahorro o la persona moral que se constituya únicamente para
administrar el fondo o la caja de ahorro de que se trate, tenga a disposición
de las autoridades fiscales la documentación que se establezca en dicho
Reglamento.
b) Que las
personas morales a que se refiere esta fracción, a más tardar el 15 de febrero
de cada año, presenten ante el Servicio de Administración Tributaria
información del monto de las aportaciones efectuadas a los fondos y cajas de
ahorro que administren, así como de los intereses nominales y reales pagados,
en el ejercicio de que se trate.
Lo
dispuesto en esta fracción no será aplicable a los intereses que se paguen a
las personas morales a que se refiere la presente fracción por inversiones
distintas de las que se realicen con los recursos de los fondos y cajas de
ahorro de trabajadores que administren.
VI. Intereses
que se paguen a los fondos de inversión a que se refiere el artículo 87 y de
renta variable a que se refiere el artículo 88, de esta Ley.
Fracción reformada DOF 18-11-2015
VII. Las
ganancias obtenidas en las operaciones financieras derivadas de capital
referenciadas al tipo de cambio de una divisa que se realicen en los mercados
reconocidos a que se refiere la fracción I del artículo 16-C del Código Fiscal
de la Federación.
Artículo 55. Las instituciones que componen el sistema financiero
que paguen los intereses a que se refiere el artículo anterior, tendrán, además
de las obligaciones establecidas en otros artículos de esta Ley, las
siguientes:
I. Presentar
ante el Servicio de Administración Tributaria, a más tardar el día 15 de
febrero de cada año, información sobre el nombre, Registro Federal de
Contribuyentes, domicilio del contribuyente de que se trate y de los intereses
nominales y reales a que se refiere el artículo 134 de esta Ley, la tasa de
interés promedio nominal y número de días de la inversión, a él pagados en el
año de calendario inmediato anterior, respecto de todas las personas a quienes
se les hubiese pagado intereses, con independencia de lo establecido en los
artículos 192 y 295 de la Ley del Mercado de Valores, 117 de la Ley de
Instituciones de Crédito y 55 de la Ley de Fondos de Inversión.
Párrafo reformado DOF 18-11-2015
Las
autoridades fiscales proveerán las medidas necesarias para garantizar la
confidencialidad de la información que se deba presentar en los términos de
esta fracción. Dicha información solamente deberá presentarse encriptada y con las medidas de seguridad que previamente
acuerden las instituciones del sistema financiero y el Servicio de
Administración Tributaria.
II. Proporcionar
a las personas a quienes les efectúen los pagos, a más tardar el 15 de febrero
de cada año, constancia en la que se señale el monto nominal y el real de los
intereses pagados o, en su caso, la pérdida determinada conforme al artículo
134 de esta Ley, y las retenciones efectuadas, correspondientes al ejercicio
inmediato anterior.
III. Conservar,
de conformidad con lo previsto en el Código Fiscal de la Federación, la
información relacionada con los comprobantes fiscales y las retenciones de este
impuesto.
IV. Proporcionar
anualmente a más tardar el 15 de febrero, la información de los depósitos en
efectivo que se realicen en las cuentas abiertas a nombre de los contribuyentes
en las instituciones del sistema financiero, cuando el monto mensual acumulado
por los depósitos en efectivo que se realicen en todas las cuentas de las que
el contribuyente sea titular en una misma institución del sistema financiero
exceda de $15,000.00, así como respecto de todas las adquisiciones en efectivo
de cheques de caja, en los términos que establezca el Servicio de
Administración Tributaria mediante reglas de carácter general.
Para los efectos de este artículo, se entiende por
depósitos en efectivo, los depósitos en moneda nacional o extranjera que se
realicen en cualquier tipo de cuenta que las personas físicas o morales tengan
a su nombre en las instituciones del sistema financiero, así como las
adquisiciones en efectivo de cheques de caja. No se considerarán depósitos en
efectivo, los que se efectúen a favor de personas físicas o morales mediante
transferencias electrónicas, traspasos de cuenta, títulos de crédito o
cualquier otro documento o sistema pactado con instituciones del sistema
financiero en los términos de las leyes aplicables, aun cuando sean a cargo de
la misma institución que los reciba.
Artículo 56. Los intermediarios financieros que intervengan en la
enajenación de acciones realizadas a través de la Bolsa Mexicana de Valores
concesionada en los términos de la Ley del Mercado de Valores, deberán informar
al Servicio de Administración Tributaria, a más tardar el día 15 de febrero de
cada año, en la forma que al efecto se establezca, el nombre, Registro Federal
de Contribuyentes, domicilio, así como los datos de las enajenaciones de
acciones realizadas a través de la Bolsa Mexicana de Valores concesionada en
los términos de la Ley del Mercado de Valores, efectuadas en el año de
calendario inmediato anterior, que se solicite en dicha forma, respecto de todas
las personas que hubieran efectuado enajenación de acciones.
CAPÍTULO V
DE LAS PÉRDIDAS
Artículo 57. La pérdida fiscal se obtendrá de la diferencia entre
los ingresos acumulables del ejercicio y las deducciones autorizadas por esta
Ley, cuando el monto de estas últimas sea mayor que los ingresos. El resultado
obtenido se incrementará, en su caso, con la participación de los trabajadores
en las utilidades de las empresas pagada en el ejercicio en los términos del
artículo 123 de la Constitución Política de los Estados Unidos Mexicanos.
La pérdida fiscal ocurrida en un ejercicio podrá
disminuirse de la utilidad fiscal de los diez ejercicios siguientes hasta
agotarla.
Cuando el contribuyente no disminuya en un ejercicio
la pérdida fiscal de ejercicios anteriores, pudiendo haberlo hecho conforme a
este artículo, perderá el derecho a hacerlo en los ejercicios posteriores y
hasta por la cantidad en la que pudo haberlo efectuado.
Para los efectos de este artículo, el monto de la
pérdida fiscal ocurrida en un ejercicio, se actualizará multiplicándolo por el
factor de actualización correspondiente al periodo comprendido desde el primer
mes de la segunda mitad del ejercicio en el que ocurrió y hasta el último mes
del mismo ejercicio. La parte de la pérdida fiscal de ejercicios anteriores ya
actualizada pendiente de aplicar contra utilidades fiscales se actualizará
multiplicándola por el factor de actualización correspondiente al periodo
comprendido desde el mes en el que se actualizó por última vez y hasta el último
mes de la primera mitad del ejercicio en el que se aplicará.
Para los efectos del párrafo anterior, cuando sea
impar el número de meses del ejercicio en que ocurrió la pérdida, se
considerará como primer mes de la segunda mitad, el mes inmediato posterior al
que corresponda la mitad del ejercicio.
El derecho a disminuir las pérdidas fiscales es
personal del contribuyente que las sufra y no podrá ser transmitido a otra
persona ni como consecuencia de fusión.
En el caso de escisión de sociedades, las pérdidas
fiscales pendientes de disminuirse de utilidades fiscales, se deberán dividir
entre las sociedades escindente y las escindidas, en la proporción en que se
divida la suma del valor total de los inventarios y de las cuentas por cobrar
relacionadas con las actividades comerciales de la escindente cuando ésta
realizaba preponderantemente dichas actividades, o de los activos fijos cuando
la sociedad escindente realizaba preponderantemente otras actividades
empresariales. Para determinar la proporción a que se refiere este párrafo, se
deberán excluir las inversiones en bienes inmuebles no afectos a la actividad
preponderante.
Artículo 58. En los casos de fusión, la sociedad fusionante sólo podrá disminuir su pérdida fiscal pendiente
de disminuir al momento de la fusión, con cargo a la utilidad fiscal
correspondiente a la explotación de los mismos giros en los que se produjo la
pérdida.
Cuando cambien los socios o accionistas que posean el
control de una sociedad que tenga pérdidas fiscales de ejercicios anteriores
pendientes de disminuir y la suma de sus ingresos en los tres últimos
ejercicios hayan sido menores al monto actualizado de esas pérdidas al término
del último ejercicio antes del cambio de socios o accionistas, dicha sociedad
únicamente podrá disminuir las pérdidas contra las utilidades fiscales
correspondientes a la explotación de los mismos giros en los que se produjeron
las pérdidas. Para estos efectos, se considerarán los ingresos mostrados en los
estados financieros correspondientes al periodo señalado, aprobados por la
asamblea de accionistas.
Para los efectos del párrafo anterior, se considera
que existe cambio de socios o accionistas que posean el control de una
sociedad, cuando cambian los tenedores, directa o indirectamente, de más del
cincuenta por ciento de las acciones o partes sociales con derecho a voto de la
sociedad de que se trate, en uno o más actos realizados dentro de un periodo de
tres años. Lo dispuesto en este párrafo no aplica en los casos en que el cambio
de socios o accionistas se presente como consecuencia de herencia, donación, o
con motivo de una reestructura corporativa, fusión o escisión de sociedades que
no se consideren enajenación en los términos del Código Fiscal de la
Federación, siempre que en el caso de la reestructura, fusión o escisión los
socios o accionistas directos o indirectos que mantenían el control previo a
dichos actos, lo mantengan con posteridad a los mismos. En el caso de fusión,
deberá estarse a lo dispuesto en el primer párrafo de este artículo. Para estos
efectos, no se incluirán las acciones colocadas entre el gran público
inversionista.
Las sociedades a que se refieren los párrafos
anteriores para disminuir las pérdidas fiscales pendientes de disminuir,
deberán llevar sus registros contables en tal forma que el control de sus
pérdidas fiscales en cada giro se pueda ejercer individualmente respecto de
cada ejercicio, así como de cada nuevo giro que se incorpore al negocio. Por lo
que se refiere a los gastos no identificables, éstos deberán aplicarse en la
parte proporcional que representen en función de los ingresos obtenidos propios
de la actividad. Esta aplicación deberá hacerse con los mismos criterios para
cada ejercicio.
No se disminuirá la pérdida fiscal o la parte de ella,
que provenga de fusión o de liquidación de sociedades, en las que el
contribuyente sea socio o accionista.
CAPÍTULO VI
DEL RÉGIMEN OPCIONAL PARA GRUPOS DE SOCIEDADES
Artículo 59. El grupo de sociedades que reúnan los requisitos
establecidos en el presente Capítulo para ser consideradas como integradora e
integradas, podrá solicitar autorización para aplicar el régimen opcional
consistente en calcular y enterar su impuesto sobre la renta conforme a lo
dispuesto en el artículo 64 de esta Ley.
La sociedad integradora y las integradas que ejerzan
la opción prevista en este Capítulo, deberán aplicarla hasta en tanto la
sociedad integradora no presente aviso para dejar de hacerlo, o bien, cuando
deje de cumplir alguno de los requisitos establecidos en este Capítulo.
El aviso a que hace referencia el párrafo anterior
deberá presentarse ante el Servicio de Administración Tributaria, a más tardar
dentro del último mes del ejercicio anterior al que se pretenda dejar de
aplicar la opción prevista en este Capítulo.
Las sociedades que opten por aplicar lo dispuesto en
el presente Capítulo estarán a lo establecido en las demás disposiciones de
esta Ley, salvo que expresamente se señale un tratamiento distinto en este
Capítulo.
Artículo 60. Para los efectos de este Capítulo, se consideran
sociedades integradoras las que reúnan los siguientes requisitos:
I. Que se
trate de una sociedad residente en México.
II. Que sea
propietaria de más del 80% de las acciones con derecho a voto de otra u otras
sociedades integradas, inclusive cuando dicha propiedad se tenga por conducto de
otras sociedades que a su vez sean integradas de la misma sociedad integradora.
III. Que en
ningún caso más del 80% de sus acciones con derecho a voto sean propiedad de
otra u otras sociedades, salvo que dichas sociedades sean residentes en algún
país con el que se tenga acuerdo amplio de intercambio de información. Para
estos efectos, no se computarán las acciones que se coloquen entre el gran
público inversionista, de conformidad con las reglas que al efecto emita el
Servicio de Administración Tributaria.
Para los efectos de este Capítulo, no se consideran
como acciones con derecho a voto, aquéllas que lo tengan limitado y las que, en
los términos de la legislación mercantil, se denominen acciones de goce. Tratándose
de sociedades que no sean por acciones se considerará el valor de las partes
sociales.
Artículo 61. Para los efectos de esta Ley se consideran sociedades
integradas aquéllas en las cuales más del 80% de sus acciones con derecho a
voto sean propiedad, ya sea en forma directa, indirecta o de ambas formas, de
una sociedad integradora. Para estos efectos, la tenencia indirecta a que se
refiere este artículo será aquélla que tenga la sociedad integradora por
conducto de otra u otras sociedades que a su vez sean integradas por la misma
sociedad integradora.
Artículo 62. No tendrán el carácter de integradora o integradas,
las siguientes sociedades:
I. Las
comprendidas en el Título III de esta Ley.
II. Las que en
los términos del tercer párrafo del artículo 7 de la presente Ley componen el
sistema financiero y los fondos de inversión de capitales creados conforme a
las leyes de la materia.
Fracción reformada DOF 18-11-2015
III. Las
residentes en el extranjero, inclusive cuando tengan establecimientos permanentes
en el país.
IV. Aquéllas
que se encuentren en liquidación.
V. Las
sociedades y asociaciones civiles, así como las sociedades cooperativas.
VI. Las
personas morales que tributen conforme a los artículos 72 y 73 de esta Ley.
VII. Las
asociaciones en participación a que se refiere el artículo 17-B del Código
Fiscal de la Federación.
VIII. Las que
llevan a cabo operaciones de maquila a que se refiere el artículo 182 de esta
Ley.
IX. Aquéllas
que cuenten con pérdidas fiscales de ejercicios anteriores pendientes de
disminuir en términos de lo dispuesto por el artículo 57 de esta Ley, que se
hubieren generado con anterioridad a la fecha en que reúnan los requisitos a
que se refiere el artículo 60 ó 61 de esta Ley, según corresponda.
X. Las
empresas que presten el servicio de transporte público aéreo.
Artículo 63. Para obtener la autorización a que se refiere el
artículo 59 de esta Ley, la sociedad integradora deberá cumplir los siguientes
requisitos:
I. Contar
con la conformidad por escrito del representante legal de cada una de las
sociedades integradas para determinar y enterar el impuesto sobre la renta en
los términos establecidos en este Capítulo.
II. Presentar
la solicitud de autorización ante las autoridades fiscales a más tardar el día
15 de agosto del año inmediato anterior a aquél por el que se pretenda
determinar el impuesto en los términos de este Capítulo, acompañada con la
información que mediante reglas de carácter general establezca el Servicio de
Administración Tributaria, debiéndose reunir a esa fecha los requisitos
previstos en dicho Capítulo.
III. En la
solicitud a que se refiere la fracción anterior, señalar a todas las sociedades
que tengan el carácter de integradas conforme a lo dispuesto en este Capítulo.
La autorización a que se refiere este artículo será
personal del contribuyente y no podrá ser transmitida a otra persona ni con
motivo de fusión.
Artículo 64. La sociedad integradora y sus integradas para
determinar el impuesto sobre la renta del ejercicio que deberán enterar, así
como el que podrán diferir, estarán a lo siguiente:
I. La
sociedad de que se trate determinará su resultado o pérdida fiscal del
ejercicio conforme a lo dispuesto en el artículo 9 de esta Ley.
II. La
sociedad integradora obtendrá el resultado fiscal integrado, como sigue:
a) Sumará el
resultado fiscal del ejercicio de que se trate, correspondiente a las
sociedades integradas.
b) Restará las
pérdidas fiscales del ejercicio en que hayan incurrido las sociedades
integradas, sin la actualización a que se refiere el artículo 57 de esta Ley.
c) Según sea el
caso, sumará su resultado fiscal o restará su pérdida fiscal, del ejercicio de
que se trate. La pérdida fiscal será sin la actualización a que se refiere el
artículo 57 de esta Ley.
Los
conceptos señalados en los incisos anteriores se sumarán o se restarán en la
participación integrable.
III. La
sociedad integradora calculará un factor de resultado fiscal integrado
correspondiente al ejercicio de que se trate, el cual se obtendrá dividiendo el
resultado fiscal integrado del ejercicio entre la suma de los resultados
fiscales obtenidos en dicho ejercicio por la sociedad integradora y por sus
sociedades integradas en la participación integrable. El factor de resultado
fiscal integrado se calculará hasta el diezmilésimo.
En
caso de que el resultado fiscal integrado resulte negativo, el factor de
resultado fiscal integrado será cero.
IV. La
sociedad de que se trate determinará el impuesto del ejercicio a enterar, para
lo cual sumará el monto del impuesto que corresponda a la participación
integrable con el que corresponda a la participación no integrable, conforme a
lo siguiente:
a) El monto
relativo a la participación integrable, se determinará multiplicando el
impuesto que le hubiere correspondido de no aplicar lo dispuesto en el presente
Capítulo por la participación integrable del ejercicio, la cantidad obtenida se
multiplicará por el factor de resultado fiscal integrado a que se refiere la
fracción III del presente artículo.
b) El monto
correspondiente a la participación no integrable, se determinará multiplicando
el impuesto que le hubiere correspondido de no aplicar lo dispuesto en el
presente Capítulo por la participación no integrable del ejercicio.
c) La suma de
los montos obtenidos en los incisos anteriores será el impuesto que se deberá
enterar conjuntamente con la declaración que corresponda al ejercicio fiscal de
que se trate.
V. La
diferencia entre el impuesto que corresponda a la participación integrable y el
obtenido conforme al inciso a) de la fracción IV del presente artículo, será el
impuesto del ejercicio que podrá diferirse por un plazo de tres ejercicios, al
término del cual deberá enterarse de conformidad con lo establecido en el
primer párrafo del artículo 67 de esta Ley.
Para los efectos de este Capítulo, la participación
integrable será la participación accionaria que una sociedad integradora tenga
en el capital social de una sociedad integrada durante el ejercicio fiscal de
ésta, ya sea en forma directa o indirecta. Para estos efectos, se considerará
el promedio diario que corresponda a dicho ejercicio.
La participación integrable de las sociedades
integradoras será del 100%.
La participación no integrable será la participación
accionaria en que la sociedad integradora no participe directa o indirectamente
en el capital social de una sociedad integrada.
Cuando la sociedad integradora o las sociedades
integradas tengan inversiones a que se refiere el artículo 176 de esta Ley, la
sociedad integradora o sus integradas no deberán considerar el ingreso
gravable, la utilidad fiscal o el resultado fiscal, derivados de dichas
inversiones para determinar su resultado fiscal o la pérdida fiscal y estarán a
lo dispuesto en el artículo 177 de dicha Ley.
Artículo 65. Las sociedades integradoras e integradas durante el
periodo por el que deban pagar el impuesto sobre la renta en los términos de
este Capítulo llevarán la cuenta de utilidad fiscal neta aplicando las reglas y
el procedimiento establecidos en el artículo 77 de esta Ley, debiendo estar a
lo dispuesto en el presente artículo respecto de la utilidad fiscal neta del
ejercicio, conforme a lo siguiente:
I. En cada
ejercicio identificará el monto de la utilidad fiscal neta correspondiente a:
a) La
participación integrable, para lo cual multiplicará la utilidad fiscal neta por
la participación integrable que corresponda a la sociedad de que se trate.
b) La
participación integrable por la que se pagó el impuesto del ejercicio, misma
que se obtendrá multiplicando la cantidad que resulte conforme al inciso
anterior por el factor a que se refiere la fracción III del artículo 64 de la
presente Ley.
c) La
participación integrable por la que se difirió el impuesto del ejercicio, misma
que se obtendrá de disminuir a la cantidad obtenida conforme al inciso a), la
cantidad que resulte conforme al inciso b) anterior.
d) La
participación no integrable, la cual se calculará multiplicando la utilidad
fiscal neta por la participación no integrable.
II. Para
efectos de lo dispuesto en el primer párrafo del artículo 77 de esta Ley,
únicamente se adicionará a la cuenta de utilidad fiscal neta la parte de la
utilidad fiscal neta del ejercicio que se hubiere determinado conforme a los
incisos b) y d) de la fracción I de este artículo.
III. Cuando se
pague el impuesto diferido a que se refiere el artículo 64 de esta Ley, la
sociedad de que se trate podrá incrementar el saldo de su cuenta de utilidad
fiscal neta del ejercicio en que ocurra dicho pago, con la utilidad fiscal neta
señalada en el inciso c) de la fracción I de este artículo que le corresponda.
Asimismo, cuando se pague en forma anticipada el impuesto diferido se podrá
incrementar el saldo de la cuenta de utilidad fiscal neta del ejercicio en que
ocurrió dicho pago con la utilidad fiscal neta que corresponda al mismo.
Artículo 66. La autorización para ejercer la opción a que se
refiere el artículo 59 de esta Ley, surtirá sus efectos para el grupo de
sociedades a partir del ejercicio siguiente a aquél en el que se otorgue.
Las sociedades que cumplan con lo dispuesto en este
Capítulo para ser consideradas como integradas antes de que surta efectos la
autorización, se incorporarán al grupo a partir del ejercicio siguiente a aquél
en que se obtuvo la autorización.
Las sociedades que califiquen como integradas con
posterioridad a la fecha en que surtió efectos la autorización, se deberán
incorporar en el ejercicio siguiente a aquél en que ocurra dicho supuesto.
En el caso de sociedades integradas que se incorporen
al grupo de sociedades en el periodo que transcurra entre la fecha de
presentación de la solicitud para ejercer la opción a que se refiere el
presente Capítulo y aquélla en que se notifique la autorización respectiva, la
integradora deberá presentar el aviso de incorporación dentro de los quince
días siguientes a la fecha en que se notifique la autorización por parte de las
autoridades fiscales.
Para los efectos de este artículo, la sociedad
integradora deberá presentar, dentro de los quince días siguientes a la fecha
en que adquiera directamente o por conducto de otra u otras sociedades
integradas, más del 80% de las acciones con derecho a voto de una sociedad, un
aviso ante las autoridades fiscales en el que se señale, el porcentaje de
participación integrable, así como la clase de participación, ya sea directa,
indirecta o de ambas formas, acompañado con la información que mediante reglas
de carácter general establezca el Servicio de Administración Tributaria.
En el caso de la sociedad que surja con motivo de una
escisión, la sociedad integradora deberá presentar el aviso dentro de los
cuarenta y cinco días siguientes a la fecha en que se constituya la sociedad
escindida.
Cuando la integradora no incorpore a una sociedad que
deba considerarse como integrada, el grupo deberá dejar de aplicar la opción
referida en el presente Capítulo, quedando obligadas tanto la integradora como
las integradas a enterar el impuesto que hubieren diferido, con la
actualización y los recargos correspondientes al periodo transcurrido desde la
fecha en que debió enterarse el impuesto de cada sociedad de no haber estado a
lo dispuesto en el presente Capítulo y hasta que el mismo se realice. Lo
anterior también se aplicará en el caso en que se incorpore a una sociedad que
no califique como sociedad integrada en los términos del artículo 62 de esta
Ley.
Artículo 67. Las sociedades que hubieren optado por aplicar lo
dispuesto en este Capítulo deberán enterar el impuesto sobre la renta diferido
en la misma fecha en que deban presentar la declaración correspondiente al
ejercicio siguiente a aquél en que concluya el plazo de tres ejercicios a que
se refiere la fracción V del artículo 64 de esta Ley.
El impuesto sobre la renta diferido se deberá enterar
actualizado por el periodo comprendido desde el mes en que se debió haber
pagado el impuesto de no haber ejercido dicha opción hasta la fecha de
presentación de la declaración antes señalada.
Artículo 68. La sociedad que ya no deba ser considerada como
integrada o que deje de reunir los requisitos para serlo, deberá desincorporarse
a partir de la fecha en que ocurra este supuesto y enterar dentro del mes
siguiente el impuesto que hubiere diferido durante el periodo que estuvo a lo
dispuesto en el presente Capítulo.
El impuesto diferido a enterar se actualizará por el periodo
comprendido desde el mes en que se debió haber efectuado el pago del impuesto
de cada ejercicio de no aplicar la opción prevista en este Capítulo y hasta que
el mismo se realice.
En el caso de fusión de sociedades, la sociedad fusionante deberá pagar el impuesto que hubiere diferido la
sociedad integrada que desaparezca con motivo de la fusión, aplicando lo
dispuesto en el primer y segundo párrafos del presente artículo.
Tratándose de escisión de sociedades, la sociedad que
participe con carácter de escindente o la que tenga el carácter de escindida
designada en términos de lo dispuesto en el artículo 14-B, fracción II, inciso
b) del Código Fiscal de la Federación, deberá pagar dentro del mes siguiente a
aquél en el que surta efectos la escisión, el total del impuesto que con
anterioridad a ese hecho hubiere diferido la sociedad escindente, aplicando lo
dispuesto en el primer y segundo párrafos de este artículo. La sociedad
escindente que subsista podrá seguir aplicando lo dispuesto en este Capítulo a
partir del ejercicio siguiente a aquél en que ocurra la escisión.
Cuando una sociedad integrada se ubique en lo
dispuesto en el presente artículo, la sociedad integradora deberá presentar un
aviso ante el Servicio de Administración Tributaria dentro de los quince días
siguientes a la fecha en que ocurra dicho supuesto, acompañado de la
información que señale el Servicio de Administración Tributaria mediante reglas
de carácter general.
Artículo 69. Cuando la sociedad integradora deje de aplicar la
opción a que se refiere el presente Capítulo, ya no pueda ser considerada como
integradora o deje de reunir los requisitos para serlo, cada sociedad deberá
desincorporarse a partir de la fecha en que ocurra este supuesto y enterar
dentro del mes siguiente el impuesto que hubiere diferido durante el periodo
que estuvo a lo dispuesto en el presente Capítulo.
El impuesto diferido a enterar se actualizará por el
periodo comprendido desde el mes en que se debió haber efectuado el pago del
impuesto de cada ejercicio de no aplicar la opción prevista en este Capítulo y
hasta que el mismo se realice.
Cuando la sociedad integradora se ubique en cualquiera
de los supuestos a que se refiere el primer párrafo de este artículo, las
sociedades que conforman el grupo se encontrarán impedidas para volver a
aplicar la opción a que se refiere este Capítulo durante los tres ejercicios
siguientes a aquél en que se actualice el supuesto de que se trate.
En el caso de fusión de sociedades, cuando la sociedad
que desaparezca con motivo de la fusión sea la sociedad integradora, tanto la fusionante, como las sociedades integradas se encontrarán
obligadas al entero del impuesto diferido, aplicando lo dispuesto en el primer
y segundo párrafos del presente artículo.
Tratándose de la escisión parcial de la sociedad
integradora, la sociedad que participe con carácter de escindente deberá pagar
dentro del mes siguiente a aquél en el que surta efectos la escisión, el total
del impuesto que con anterioridad a ese hecho hubiere diferido la sociedad
escindente, aplicando lo dispuesto en el primer y segundo párrafos de este
artículo.
En caso de escisión total de la sociedad integradora,
la sociedad que tenga el carácter de escindida designada a que se refiere el
artículo 14-B, fracción II, inciso b) del Código Fiscal de la Federación y las
sociedades integradas deberán estar a lo dispuesto en el primer y segundo
párrafos de este artículo.
Cuando el grupo se ubique en lo dispuesto en el
presente artículo la sociedad integradora, la fusionante,
la escindente o la escindida referida en el párrafo anterior, según
corresponda, deberá presentar el aviso a que se refiere el último párrafo del
artículo 68 de esta Ley por cada una de las sociedades del grupo incluida ella
misma ante el Servicio de Administración Tributaria dentro de los quince días
siguientes a la fecha en que ocurra dicho supuesto, presentando la información
que señale el Servicio de Administración Tributaria mediante reglas de carácter
general.
En el caso de que alguna sociedad deje de ser integrada
o integradora en términos de lo dispuesto en el presente Capítulo, o bien,
cuando dichas sociedades dejen de cumplir los requisitos establecidos en el
mismo y la sociedad de que se trata continúe aplicando la presente opción, el
grupo se encontrará obligado al entero del impuesto diferido, aplicando lo
dispuesto en el primer y segundo párrafos del presente artículo, así como los
recargos que resulten desde el mes en que se debió haber efectuado el pago del
impuesto de cada ejercicio de no haber aplicado la opción y hasta el mes en que
éste se entere.
Artículo 70. Las sociedades que apliquen la opción a que se
refiere este Capítulo, además de las obligaciones establecidas en otros
artículos del presente ordenamiento, tendrán las siguientes:
I. La integradora
y las integradas deberán llevar y conservar los registros que a continuación se
señalan:
a) Los que
permitan determinar la cuenta de utilidad fiscal neta a que se refiere el
artículo 65 de esta Ley.
b) De los
dividendos o utilidades percibidos o distribuidos, incluidos los que no
hubieren provenido de su cuenta de utilidad fiscal neta, conforme a lo
dispuesto en las reglas de carácter general que para estos efectos expida el
Servicio de Administración Tributaria.
II. La
integradora y las integradas deberán adjuntar a la declaración informativa de
su situación fiscal que están obligadas a presentar conforme a lo dispuesto en
el artículo 32-H del Código Fiscal de la Federación, copia de las opiniones que
en materia fiscal recibieron de terceros y que hubieren tenido el efecto de
disminuir el resultado fiscal o aumentar la pérdida fiscal del ejercicio.
III. La
integradora deberá llevar y conservar los siguientes registros:
a) Aquél en el
que se muestre la determinación del resultado fiscal integrado y del factor de
resultado fiscal integrado del ejercicio.
b) Del
porcentaje de participación integrable que la sociedad integradora hubiere
mantenido en cada una de las sociedades integradas en el ejercicio.
Los
registros a que se refiere el presente artículo deberán conservarse en tanto
sus efectos fiscales se prolonguen en el tiempo, en términos de lo establecido
en las disposiciones fiscales aplicables.
IV. La
sociedad integradora estará obligada a presentar declaración del ejercicio
dentro de los tres meses siguientes al cierre del mismo, en la que manifieste
el factor de resultado fiscal integrado.
También
deberá hacer pública en el mes de mayo del ejercicio de que se trate, la
información relativa al impuesto que se hubiere diferido conforme a este
Capítulo, utilizando su página de Internet o los medios que el Servicio de
Administración Tributaria establezca mediante reglas de carácter general.
V. Las
sociedades integradas deberán:
a) Informar a la
sociedad integradora dentro de los tres meses siguientes a la fecha en que
termine el ejercicio el resultado o pérdida fiscal que les hubiere
correspondido.
b) Presentar
declaración del ejercicio dentro de los tres meses siguientes al cierre del
mismo.
c) Hacer pública
en el mes de mayo del ejercicio de que se trate, la información relativa al
impuesto que se hubiere diferido conforme a este Capítulo, utilizando su página
de Internet o los medios que el Servicio de Administración Tributaria
establezca mediante reglas de carácter general.
En el
caso de que alguna o algunas de las sociedades integradas deban modificar su
resultado o pérdida fiscal del ejercicio, presentarán declaración
complementaria a la referida en el inciso b) de esta fracción. En dicho
supuesto, la sociedad integradora se encontrará obligada a presentar una
declaración complementaria del ejercicio en la que manifieste el factor de
resultado fiscal integrado.
Cuando
en el ejercicio de sus facultades, las autoridades fiscales modifiquen el
resultado fiscal o la pérdida fiscal de una o más sociedades integradas o de la
integradora y con ello se modifique el resultado fiscal integrado, la sociedad
integradora e integradas presentarán declaración complementaria conforme a lo
dispuesto en el párrafo anterior.
Si
como consecuencia de lo dispuesto en cualquiera de los dos párrafos anteriores,
resulta una diferencia de impuesto a cargo de la integradora o de alguna de sus
integradas, dichas sociedades se encontrarán obligadas a enterar el impuesto
actualizado y los recargos que correspondan por el periodo comprendido desde la
fecha en que debió hacerse el pago y hasta que el mismo se realice, mediante
declaración complementaria.
Cuando
el supuesto a que se refiere el párrafo anterior derive de una modificación al
factor de resultado fiscal integrado, la sociedad integradora podrá presentar
la declaración complementaria en la que se corrija el factor antes mencionado a
más tardar en el último mes del primer o segundo semestre del ejercicio
correspondiente a aquél en el que fue presentada la declaración que dio origen
a la diferencia señalada o bien, en que la autoridad haya modificado el
resultado o pérdida fiscal de alguna o algunas de las sociedades del grupo.
En
caso de que la sociedad integradora o cualquiera de las sociedades integradas
modifiquen su resultado o pérdida fiscal del ejercicio, o bien cuando en el
ejercicio de sus facultades, las autoridades fiscales modifiquen el resultado
fiscal o la pérdida fiscal de la integradora o de una o más sociedades
integradas, y estos supuestos ocurran una vez enterado el impuesto diferido
conforme a lo establecido en la fracción V del artículo 64 de esta Ley, la
sociedad integrada o la integradora, según se trate, deberá cubrir tanto el
impuesto a su cargo como la actualización y recargos que en su caso se hubieren
generado como consecuencia de la modificación referida, sin que por tal motivo
se deba recalcular el resultado fiscal integrado, ni el factor de resultado
fiscal integrado. Asimismo, cuando la irregularidad consista en manifestar una
pérdida fiscal mayor a la realmente sufrida, la sociedad integradora deberá
modificar el resultado fiscal integrado y el factor de resultado fiscal
integrado, y las sociedades que hubieren tenido impuesto a su cargo deberán
enterar la actualización y recargos que les corresponda por la diferencia entre
el impuesto que en su momento se enteró y el que debió enterarse, por el
periodo comprendido desde el mes en que se debió haber pagado el impuesto de no
haber ejercido dicha opción hasta la fecha en que se realice el pago.
VI. Cuando
una sociedad integrada o integradora celebre operaciones a través de las cuales
enajene terrenos, inversiones, acciones, partes sociales, entre otras, con
alguna otra sociedad del grupo, deberá realizarlas conforme a lo previsto en el
artículo 179 de esta Ley.
La sociedad integrada que no cumpla con alguna de las
obligaciones a que se refiere este artículo deberá aplicar lo dispuesto en el
artículo 68 de la presente Ley, quedando obligada a enterar la totalidad del
impuesto sobre la renta diferido por el periodo en que aplicó esta opción, con
los recargos que resulten desde el mes en que se debió haber efectuado el pago
del impuesto de cada ejercicio de no haber aplicado la opción y hasta que el
mismo se realice.
En caso de ser la sociedad integradora la que incumpla
con alguna de las obligaciones a que se refiere este artículo, el grupo deberá
dejar de aplicar la opción a que se refiere este Capítulo, quedando obligada
cada sociedad a enterar la totalidad del impuesto sobre la renta diferido por
el periodo en que aplicó esta opción, con la actualización y los recargos que
resulten desde el mes en que se debió haber efectuado el pago del impuesto de
cada ejercicio de no haber aplicado la opción y hasta que el mismo se realice,
estando a lo dispuesto en el artículo 69, último párrafo, de esta Ley.
Artículo 71. Las sociedades integradora e integradas determinarán
los pagos provisionales a enterar en cada uno de los meses del ejercicio
conforme a lo siguiente:
I. Calcularán
el pago provisional del periodo de que se trate conforme al procedimiento y
reglas establecidos en el artículo 14 de esta Ley.
II. Al
resultado determinado conforme a lo establecido en la fracción anterior, se le
aplicará la participación integrable correspondiente al ejercicio inmediato
anterior, la cantidad obtenida se multiplicará por el factor de resultado
fiscal integrado correspondiente al ejercicio inmediato anterior.
III. El
resultado de la fracción I de este artículo se multiplicará por la participación
no integrable.
IV. El pago
provisional del periodo a enterar, será la cantidad que se obtenga de sumar los
resultados obtenidos conforme a las fracciones II y III anteriores.
V. Contra
el impuesto del ejercicio a enterar en términos de lo dispuesto en el artículo
64 de esta Ley se podrán acreditar los pagos provisionales correspondientes al
mismo, efectuados conforme al presente artículo.
Tratándose del primer ejercicio en que el grupo
aplique la opción a que se refiere este Capítulo, la sociedad integradora
calculará el factor de resultado fiscal integrado en términos de lo dispuesto
en la fracción III del artículo 64 de esta Ley que le hubiere correspondido al
grupo en el ejercicio inmediato anterior de haber ejercido dicha opción. En
este caso, el primer pago provisional del ejercicio comprenderá el primero, el
segundo y el tercer mes del citado ejercicio.
CAPÍTULO VII
DE LOS COORDINADOS
Artículo 72. Se consideran coordinados, a las personas morales que
administran y operan activos fijos o activos fijos y terrenos, relacionados
directamente con la actividad del autotransporte terrestre de carga o de
pasajeros y cuyos integrantes realicen exclusivamente actividades de
autotransporte terrestre de carga o pasajeros o complementarias a dichas actividades
y tengan activos fijos o activos fijos y terrenos, relacionados directamente
con dichas actividades.
Párrafo reformado DOF 18-11-2015
Podrán aplicar lo dispuesto en este Capítulo, las
personas morales dedicadas exclusivamente al autotransporte terrestre de carga
o de pasajeros, siempre que no presten preponderantemente sus servicios a otra
persona moral residente en el país o en el extranjero, que se considere parte
relacionada.
Párrafo adicionado DOF 18-11-2015
Para los efectos de este Capítulo, se consideran
contribuyentes dedicados exclusivamente a la actividad del autotransporte
terrestre de carga o de pasajeros, aquéllos cuyos ingresos por dichas
actividades representan cuando menos el 90% de sus ingresos totales, sin
incluir los ingresos por las enajenaciones de activos fijos o activos fijos y
terrenos, de su propiedad que hubiesen estado afectos a su actividad.
Párrafo adicionado DOF 18-11-2015
Los coordinados cumplirán con las obligaciones
establecidas en esta Ley, aplicando al efecto lo dispuesto en la Sección I del
Capítulo II del Título IV de la misma, de acuerdo a lo siguiente:
I. Calcularán
y enterarán, por cada uno de sus integrantes, los pagos provisionales en los términos
del artículo 106 de esta Ley. Al resultado obtenido conforme a esta fracción se
le aplicará la tarifa del citado artículo tratándose de personas físicas, o la
tasa establecida en el artículo 9 de la misma, tratándose de personas morales.
II. Para
calcular y enterar el impuesto del ejercicio de cada uno de sus integrantes,
determinarán la utilidad gravable del ejercicio aplicando al efecto lo
dispuesto en el artículo 109 de esta Ley. A la utilidad gravable determinada en
los términos de esta fracción, se le aplicará la tarifa del artículo 152 de la
presente Ley, tratándose de personas físicas, o la tasa establecida en el
artículo 9 de la misma, tratándose de personas morales.
Contra
el impuesto que resulte a cargo en los términos del párrafo anterior, se podrán
acreditar los pagos provisionales efectuados por el coordinado.
El
impuesto del ejercicio se pagará mediante declaración que presentarán las
personas morales durante el mes de marzo del año siguiente, ante las oficinas
autorizadas, excepto cuando se trate de personas morales, cuyos integrantes por
los cuales cumpla con sus obligaciones fiscales sólo sean personas físicas, en
cuyo caso la declaración se presentará en el mes de abril del año siguiente.
Las
personas físicas o morales, que cumplan sus obligaciones fiscales por conducto
de varios coordinados de los cuales son integrantes, en lugar de aplicar lo
dispuesto en el primer párrafo de esta fracción, podrán optar porque cada
coordinado de los que sean integrantes efectúe por su cuenta el pago del
impuesto sobre la renta, respecto de los ingresos que obtengan del coordinado
de que se trate, aplicando a la utilidad gravable a que se refiere el párrafo
anterior la tasa establecida en el artículo 9 de esta Ley, tratándose de
personas morales o la tasa máxima para aplicarse sobre el excedente del límite
inferior que establece la tarifa contenida en el artículo 152 de la misma en el
caso de personas físicas. Dicho pago se considerará como definitivo. Una vez
ejercida la opción a que se refiere este párrafo, ésta no podrá variarse
durante el periodo de cinco ejercicios contados a partir de aquél en el que se
empezó a ejercer la opción citada. La opción a que se refiere este párrafo
también la podrán aplicar las personas físicas o morales que sean integrantes
de un solo coordinado.
III. Efectuarán
por cuenta de sus integrantes las retenciones y el entero de las mismas y, en
su caso, expedirán las constancias de dichas retenciones, cuando esta Ley o las
demás disposiciones fiscales obliguen a ello, así como el comprobante fiscal
correspondiente.
IV. Llevarán un
registro por separado de los ingresos, gastos e inversiones, de las operaciones
que realicen por cuenta de cada uno de sus integrantes, cumpliendo al efecto
con lo establecido en las disposiciones de esta Ley y en las del Código Fiscal
de la Federación. En el caso de las liquidaciones que se emitan en los términos
del sexto párrafo del artículo 73 de esta Ley, el registro mencionado se hará
en forma global.
V. Expedir y
recabar los comprobantes fiscales de los ingresos que perciban y de las
erogaciones que se efectúen, de las operaciones que realicen por cuenta de cada
uno de sus integrantes, cumpliendo al efecto con lo establecido en esta Ley y
en las demás disposiciones fiscales.
VI. Proporcionarán
a sus integrantes, constancia de los ingresos y gastos, así como el impuesto
que el coordinado pagó por cuenta del integrante, a más tardar el 31 de enero
de cada año.
Para los efectos de este artículo, los coordinados
cumplirán con sus propias obligaciones y lo harán en forma conjunta por sus
integrantes en los casos en que así proceda. Igualmente, el impuesto que
determinen por cada uno de sus integrantes se enterará de manera conjunta en
una sola declaración.
Para los efectos de esta Ley, el coordinado se
considerará como responsable del cumplimiento de las obligaciones fiscales a
cargo de sus integrantes, respecto de las operaciones realizadas a través del
coordinado, siendo los integrantes responsables solidarios respecto de dicho
cumplimiento por la parte que les corresponda.
Para los efectos de este artículo, no se considera que
dos o más personas son partes relacionadas, cuando los servicios de
autotransporte terrestre de carga o de pasajeros se presten a personas con las
cuales los contribuyentes se encuentren interrelacionados en la administración,
control y participación de capital, siempre que el servicio final de
autotransporte de carga o de pasajeros sea proporcionado a terceros con los
cuales no se encuentran interrelacionados en la administración, control o
participación de capital, y dicho servicio no se preste conjuntamente con la
enajenación de bienes. No se consideran partes relacionadas cuando el servicio
de autotransporte se realice entre coordinados o integrantes del mismo.
Cuando las personas físicas realicen actividades en
copropiedad y opten por tributar por conducto de coordinados en los términos de
este Capítulo, dichos coordinados serán quienes cumplan con las obligaciones
fiscales de la copropiedad y se considerarán como representantes comunes de la
misma.
Artículo 73. Tratándose de personas físicas que cumplan sus
obligaciones fiscales por conducto de varios coordinados de los cuales son
integrantes, cuando sus ingresos provengan exclusivamente del autotransporte
terrestre de carga o de pasajeros, deberán solicitar a los coordinados de los
que sean integrantes, la información necesaria para calcular y enterar el
impuesto sobre la renta que les corresponda. Excepto cuando hayan ejercido la
opción a que se refiere el cuarto párrafo de la fracción II del artículo 72 de
esta Ley.
Para calcular y enterar el impuesto del ejercicio
aplicarán lo dispuesto por el artículo 109 de esta Ley. A la utilidad gravable
determinada conforme a dicho precepto, se le aplicará la tarifa del artículo
152 del presente ordenamiento.
Las personas físicas integrantes de personas morales
que realicen actividades de autotransporte terrestre de carga o de pasajeros,
podrán cumplir con las obligaciones establecidas en esta Ley en forma
individual, siempre que administren directamente los vehículos que les
correspondan o los hubieran aportado a la persona moral de que se trate.
Cuando opten por pagar el impuesto en forma individual
deberán dar aviso a las autoridades fiscales y comunicarlo por escrito a la
persona moral respectiva, a más tardar en la fecha en que deba efectuarse el
primer pago provisional del ejercicio de que se trate.
Las personas físicas que hayan optado por pagar el
impuesto individualmente, podrán deducir los gastos realizados durante el
ejercicio que correspondan al vehículo que administren, incluso cuando los
comprobantes fiscales de los mismos se encuentre a nombre del coordinado,
siempre que dicha documentación reúna los requisitos que señalen las
disposiciones fiscales e identifique al vehículo al que corresponda.
Las personas morales no considerarán los ingresos que
correspondan a sus integrantes que hubieran pagado en forma individual ni las
deducciones que a ellos correspondan, debiendo entregar a las personas físicas
y morales que paguen el impuesto individualmente, la liquidación de los ingresos
y gastos. Las personas morales citadas en primer término deberán conservar
copia de la liquidación y de los comprobantes de los gastos realizados en el
ejercicio, relativos al vehículo administrado por dichas personas físicas,
durante el plazo a que se refiere el artículo 30 del Código Fiscal de la
Federación.
Las personas morales a que se refiere el artículo 72
de la presente Ley aplicarán lo dispuesto en el artículo 12 de la misma, cuando
entren en liquidación, debiendo reunir los requisitos que al efecto se
establezcan en el Reglamento de esta Ley.
Las personas morales que no realicen las actividades
empresariales por cuenta de sus integrantes, deberán cumplir con las
obligaciones de este artículo y con los artículos 72, 76, 102 y 105 de la
presente Ley.
Cuando los integrantes de las personas morales a que
se refiere este Capítulo, se agrupen con el objeto de realizar en forma
conjunta gastos necesarios para el desarrollo de las actividades a que se
refiere el mismo, podrán hacer deducible la parte proporcional del gasto en
forma individual, aun cuando los comprobantes fiscales estén a nombre de alguno
de los otros integrantes, siempre que dichos comprobantes reúnan los demás
requisitos que señalen las disposiciones fiscales.
CAPÍTULO VIII
RÉGIMEN DE ACTIVIDADES AGRÍCOLAS, GANADERAS,
SILVÍCOLAS Y PESQUERAS
Artículo 74. Deberán cumplir con sus obligaciones fiscales en
materia del impuesto sobre la renta conforme al régimen establecido en el
presente Capítulo, los siguientes contribuyentes:
I. Las personas
morales de derecho agrario que se dediquen exclusivamente a actividades
agrícolas, ganaderas o silvícolas, las sociedades cooperativas de producción y
las demás personas morales, que se dediquen exclusivamente a dichas
actividades.
II. Las
personas morales que se dediquen exclusivamente a actividades pesqueras, así
como las sociedades cooperativas de producción que se dediquen exclusivamente a
dichas actividades.
III. Las
personas físicas que se dediquen exclusivamente a actividades agrícolas, ganaderas,
silvícolas o pesqueras.
Lo dispuesto en este Capítulo no será aplicable a las
personas morales que tributen en los términos del Capítulo VI del Título II de
esta Ley.
Cuando las personas físicas realicen actividades en
copropiedad y opten por tributar por conducto de personas morales en los
términos de este Capítulo, dichas personas morales serán quienes cumplan con
las obligaciones fiscales de la copropiedad y se considerarán como
representantes comunes de la misma.
Para los efectos de esta Ley, cuando la persona moral
cumpla por cuenta de sus integrantes con lo dispuesto en este Capítulo, se
considerará como responsable del cumplimiento de las obligaciones fiscales a
cargo de sus integrantes, respecto de las operaciones realizadas a través de la
persona moral, siendo los integrantes responsables solidarios respecto de dicho
cumplimiento por la parte que les corresponda.
Las personas morales a que se refiere este Capítulo
aplicarán lo dispuesto en el artículo 12 de esta Ley, cuando entren en liquidación.
Se consideran contribuyentes dedicados exclusivamente
a las actividades agrícolas, ganaderas, pesqueras o silvícolas, aquéllos cuyos
ingresos por dichas actividades representan cuando menos el 90% de sus ingresos
totales, sin incluir los ingresos por las enajenaciones de activos fijos o
activos fijos y terrenos, de su propiedad que hubiesen estado afectos a su
actividad.
Las personas morales a que se refiere este Capítulo,
cumplirán con las obligaciones establecidas en esta Ley conforme lo dispuesto
en la Sección I del Capítulo II del Título IV de la misma, de acuerdo a lo
siguiente:
I. Deberán
calcular y enterar, por cada uno de sus integrantes, los pagos provisionales en
los términos del artículo 106 de esta Ley. Al resultado obtenido conforme a
esta fracción se le aplicará la tarifa del citado artículo tratándose de
personas físicas, o la tasa establecida en el artículo 9 de la misma,
tratándose de personas morales.
II. Para
calcular y enterar el impuesto del ejercicio de cada uno de sus integrantes,
determinarán la utilidad gravable del ejercicio aplicando al efecto lo
dispuesto en el artículo 109 de esta Ley. A la utilidad gravable determinada en
los términos de esta fracción, se le aplicará la tarifa del artículo 152 de
esta Ley, tratándose de personas físicas, o la tasa establecida en el artículo
9 de la misma, en el caso de personas morales.
Contra
el impuesto que resulte a cargo en los términos del párrafo anterior, se podrán
acreditar los pagos provisionales efectuados por la persona moral.
El
impuesto del ejercicio se pagará mediante declaración que presentarán las
personas morales durante el mes de marzo del año siguiente, ante las oficinas
autorizadas, excepto cuando se trate de personas morales, que cumplan con las
obligaciones fiscales de integrantes que únicamente sean personas físicas, en
cuyo caso la declaración se presentará en el mes de abril del año siguiente.
Los
contribuyentes a que se refieren los párrafos décimo segundo y décimo tercero
de este artículo, deducirán como gastos las erogaciones efectivamente
realizadas en el ejercicio para la adquisición de activos fijos, gastos o
cargos diferidos. Los contribuyentes a que se refiere el décimo cuarto párrafo
de este artículo, deberán aplicar lo dispuesto en la Sección II, del Capítulo
II, del Título II de esta Ley.
III. Deberán
cumplir con las demás obligaciones formales, de retención y de entero, que
establecen las disposiciones fiscales.
Para los efectos de este artículo, las personas
morales cumplirán con sus propias obligaciones y lo harán en forma conjunta por
sus integrantes en los casos en que así proceda. Igualmente, el impuesto que
determinen por cada uno de sus integrantes se enterará de manera conjunta en
una sola declaración.
Las personas morales que no realicen las actividades
empresariales por cuenta de sus integrantes, deberán cumplir con las
obligaciones de este título y con el artículo 102 y 105 de esta Ley.
Las personas morales a que se refiere este Capítulo no
tendrán la obligación de determinar al cierre del ejercicio el ajuste anual por
inflación a que se refiere el Capítulo III del Título II de esta Ley.
Las personas morales que se dediquen exclusivamente a
las actividades agrícolas, ganaderas, silvícolas o pesqueras, no pagarán el
impuesto sobre la renta por los ingresos provenientes de dichas actividades
hasta por un monto, en el ejercicio, de 20 veces el salario mínimo general
elevado al año, por cada uno de sus socios o asociados siempre que no exceda,
en su totalidad, de 200 veces el salario mínimo general elevado al año. El
límite de 200 veces el salario mínimo, no será aplicable a ejidos y
comunidades. En el caso de las personas físicas, no pagarán el impuesto sobre
la renta por los ingresos provenientes de dichas actividades hasta por un
monto, en el ejercicio, de 40 veces el salario mínimo general elevado al año.
Las personas morales a que se refiere este párrafo, podrán adicionar al saldo
de su cuenta de utilidad fiscal neta del ejercicio de que se trate, la utilidad
que corresponda a los ingresos exentos; para determinar dicha utilidad se
multiplicará el ingreso exento que corresponda al contribuyente por el
coeficiente de utilidad del ejercicio, calculado conforme a lo dispuesto en el
artículo 14 de esta Ley.
Párrafo reformado DOF 18-11-2015
Tratándose de personas físicas y morales que se
dediquen exclusivamente a las actividades agrícolas, ganaderas, silvícolas o
pesqueras, cuyos ingresos en el ejercicio excedan de 40 ó 20 veces el salario
mínimo general elevado al año, según corresponda, pero sean inferiores de 423
veces el salario mínimo general elevado al año, les será aplicable lo dispuesto
en el párrafo anterior, por el excedente se pagará el impuesto en los términos
del séptimo párrafo de este artículo, reduciéndose el impuesto determinado
conforme a la fracción II de dicho párrafo, en un 40% tratándose de personas
físicas y un 30% para personas morales. Las personas morales a que se refiere
este párrafo, podrán adicionar al saldo de su cuenta de utilidad fiscal neta
del ejercicio de que se trate, la utilidad que corresponda a los ingresos
exentos; para determinar dicha utilidad se multiplicará el ingreso exento que
corresponda al contribuyente por el coeficiente de utilidad del ejercicio,
calculado conforme a lo dispuesto en el artículo 14 de esta Ley.
Párrafo reformado DOF 18-11-2015
Tratándose de sociedades o asociaciones de
productores, que se dediquen exclusivamente a las actividades agrícolas,
ganaderas, silvícolas o pesqueras, constituidas exclusivamente por socios o
asociados personas físicas y que cada socio o asociado tenga ingresos
superiores a 20 veces el salario mínimo general del área geográfica del
contribuyente elevado al año, sin exceder de 423 veces el salario mínimo
general del área geográfica del contribuyente elevado al año, sin que en su
totalidad los ingresos en el ejercicio de la sociedad o asociación excedan de
4230 veces el salario mínimo general del área geográfica del contribuyente
elevado al año, le será aplicable lo dispuesto en el décimo primer párrafo, por
el excedente se pagará el impuesto en los términos del séptimo párrafo de este
artículo, reduciéndose el impuesto determinado conforme a la fracción II de
dicho párrafo, en un 30%.
Las personas físicas y morales que se dediquen
exclusivamente a las actividades agrícolas, ganaderas, silvícolas o pesqueras,
cuyos ingresos en el ejercicio rebasen los montos señalados en el décimo
segundo párrafo, les será aplicable la exención prevista en el décimo primer
párrafo de este artículo, por el excedente, se pagará el impuesto en los
términos del séptimo párrafo de este artículo y será aplicable la reducción a
que se refiere el décimo segundo párrafo de este artículo hasta por los montos
en él establecidos. Las personas morales a que se refiere este párrafo, podrán
adicionar al saldo de su cuenta de utilidad fiscal neta del ejercicio de que se
trate, la utilidad que corresponda a los ingresos exentos; para determinar
dicha utilidad se multiplicará el ingreso exento que corresponda al
contribuyente por el coeficiente de utilidad del ejercicio, calculado conforme
a lo dispuesto en el artículo 14 de esta Ley.
Tratándose de las personas morales que se dediquen
exclusivamente a las actividades agrícolas, ganaderas, pesqueras o silvícolas,
para calcular el impuesto que corresponda a dividendos o utilidades
distribuidos, en lugar de lo dispuesto en el párrafo anterior, deberán
multiplicar los dividendos o utilidades distribuidos por el factor de que se
obtenga de dividir la unidad, entre el factor que se obtenga de restar a la unidad
el resultado de dividir el impuesto sobre la renta que se deba pagar en los
términos de este artículo, entre la utilidad o los dividendos distribuidos.
Artículo 74-A. Las personas físicas que obtengan ingresos por
actividades agrícolas, ganaderas, silvícolas o pesqueras, y que dichos ingresos
representen cuando menos el 25% de sus ingresos totales en el ejercicio, sin
incluir los ingresos por las enajenaciones de activos fijos o activos fijos y
terrenos, de su propiedad que hubiesen estado afectos a las citadas
actividades, y que además sus ingresos totales en el ejercicio no rebasen 8
veces el salario mínimo general elevado al año, no pagarán el impuesto sobre la
renta por los ingresos provenientes de las citadas actividades hasta por un
monto, en el ejercicio, de 1 salario mínimo general elevado al año.
Artículo adicionado DOF 18-11-2015
Artículo 74-B. Las personas morales de derecho agrario que obtengan
al menos el 80% de sus ingresos totales por la industrialización y
comercialización de productos derivados de actividades agrícolas, ganaderas,
silvícolas o pesqueras, constituidas únicamente por socios o asociados personas
físicas que estén reconocidos como ejidatarios o comuneros de acuerdo con la
Ley Agraria, o por ejidos o comunidades constituidos en términos de la referida
Ley, que hubieran tenido ingresos totales en el ejercicio inmediato anterior,
sin incluir los ingresos por las enajenaciones de activos fijos o activos fijos
y terrenos de su propiedad que hubiesen estado afectos a su actividad, que no
hubieran excedido de la cantidad de cinco millones de pesos, cumplirán con las
obligaciones establecidas en esta Ley conforme a lo dispuesto en la Sección I
del Capítulo II del Título IV de la misma y determinarán el impuesto sobre la
renta que corresponda aplicando la tasa establecida en el artículo 9 de esta
Ley. El impuesto determinado se reducirá en un 30%.
Las personas morales a que refiere este artículo que
inicien actividades, podrán optar por aplicar lo dispuesto en el presente
artículo, cuando estimen que sus ingresos totales del ejercicio, en los que al
menos un 80% sean obtenidos por la industrialización y comercialización de
productos derivados de actividades agrícolas, ganaderas, silvícolas o
pesqueras, no excederán de la cantidad de cinco millones de pesos. Cuando en el
ejercicio citado realicen operaciones por un periodo menor de doce meses, para
determinar el citado monto, dividirán los ingresos manifestados entre el número
de días que comprende el periodo y el resultado se multiplicará por 365 días.
Los contribuyentes que opten por aplicar lo dispuesto
en el presente artículo deberán presentar en enero del año de que se trate, un
aviso ante las autoridades fiscales en los términos que para tales efectos
establezca el Servicio de Administración Tributaria mediante reglas de carácter
general, en el que manifiesten que aplicarán lo dispuesto en este artículo.
Cuando los contribuyentes dejen de cumplir con los
requisitos a que se refiere este artículo o cuando sus ingresos en el periodo transcurrido
desde el inicio del ejercicio y hasta el mes de que se trate, excedan de la
cantidad señalada en el primer párrafo de este artículo, dejarán de aplicar lo
dispuesto en este artículo y deberán pagar el impuesto sobre la renta en los
términos de la presente Ley en el régimen correspondiente, a partir del
ejercicio siguiente a aquél en que ocurra el incumplimiento de dichos
requisitos. En el caso de que los contribuyentes obtengan ingresos que excedan
de la cantidad de cinco millones de pesos, dicho excedente no tendrá el
beneficio de la reducción del impuesto a que se refiere este artículo. Cuando
los contribuyentes dejen de aplicar lo dispuesto en este artículo, en ningún
caso podrán volver a aplicarlo en los
términos del mismo.
Las declaraciones de pagos provisionales y del
ejercicio, así como el registro de operaciones se podrán realizar a través de
los medios y formatos que señale el Servicio de Administración Tributaria
mediante reglas de carácter general.
Artículo adicionado DOF 09-12-2019
Artículo 75. La persona moral que cumpla las obligaciones fiscales
por cuenta de sus integrantes en los términos de este Capítulo, además de las
obligaciones a que se refiere el artículo anterior, tendrá las siguientes:
I. Efectuar
por cuenta de sus integrantes las retenciones y el entero de las mismas y, en
su caso, expedir las constancias de dichas retenciones, cuando esta Ley o las
demás disposiciones fiscales obliguen a ello.
II. Llevar
un registro por separado de los ingresos, gastos e inversiones, de las
operaciones que realicen por cuenta de cada uno de sus integrantes, cumpliendo
al efecto con lo establecido en las disposiciones de esta Ley y en las del
Código Fiscal de la Federación.
III. Emitir y
recabar la documentación comprobatoria de los ingresos y de las erogaciones,
respectivamente, de las operaciones que realicen por cuenta de cada uno de sus
integrantes, cumpliendo al efecto con lo establecido en esta Ley y en las demás
disposiciones fiscales.
Las personas morales a que se refiere este Capítulo
deberán estar inscritas en el Registro Federal de Contribuyentes.
Las personas físicas que se ubiquen en los supuestos
señalados en los párrafos décimo segundo y décimo cuarto del artículo anterior
deberán estar inscritas en el Registro Federal de Contribuyentes.
CAPÍTULO IX
DE LAS OBLIGACIONES DE LAS PERSONAS MORALES
Artículo 76. Los contribuyentes que obtengan ingresos de los
señalados en este Título, además de las obligaciones establecidas en otros
artículos de esta Ley, tendrán las siguientes:
I. Llevar la
contabilidad de conformidad con el Código Fiscal de la Federación, su
Reglamento y el Reglamento de esta Ley, y efectuar los registros en la misma.
II. Expedir
los comprobantes fiscales por las actividades que realicen.
III. Expedir los
comprobantes fiscales en los que asienten el monto de los pagos efectuados que
constituyan ingresos de fuente de riqueza ubicada en México de acuerdo con lo
previsto por el Título V de esta Ley o de los pagos efectuados a los
establecimientos en el extranjero de instituciones de crédito del país, en los
términos del artículo 48 de la misma y, en su caso, el impuesto retenido al
residente en el extranjero o a las citadas instituciones de crédito.
IV. Formular un
estado de posición financiera y levantar inventario de existencias a la fecha
en que termine el ejercicio, de acuerdo con las disposiciones reglamentarias
respectivas.
V. Presentar
declaración en la que se determine el resultado fiscal del ejercicio o la
utilidad gravable del mismo y el monto del impuesto correspondiente, ante las
oficinas autorizadas, dentro de los tres meses siguientes a la fecha en que
termine dicho ejercicio. En dicha declaración también se determinarán la
utilidad fiscal y el monto que corresponda a la participación de los trabajadores
en las utilidades de la empresa.
VI. Presentar,
a más tardar el día 15 de febrero de cada año, ante las autoridades fiscales y
mediante la forma oficial que al efecto aprueben dichas autoridades, la
información siguiente:
a) El saldo
insoluto al 31 de diciembre del año anterior, de los préstamos que le hayan
sido otorgados o garantizados por residentes en el extranjero; y
b) El tipo de
financiamiento, nombre del beneficiario efectivo de los intereses, tipo de
moneda, la tasa de interés aplicable y las fechas de exigibilidad del principal
y de los accesorios, de cada una de las operaciones de financiamiento a que se
refiere el inciso anterior.
VII. Presentar
las declaraciones a que se refiere este artículo a través de medios
electrónicos en la dirección de correo electrónico que al efecto señale el
Servicio de Administración Tributaria mediante disposiciones de carácter
general.
VIII. Llevar un
registro de las operaciones que efectúen con títulos valor emitidos en serie.
IX. Obtener y
conservar la documentación comprobatoria, tratándose de contribuyentes que
celebren operaciones con partes relacionadas residentes en el extranjero, con
la que demuestren que el monto de sus ingresos y deducciones se efectuaron de
acuerdo a los precios o montos de contraprestaciones que hubieran utilizado
partes independientes en operaciones comparables, la cual deberá contener los
siguientes datos:
a) El nombre,
denominación o razón social, domicilio y residencia fiscal, de las personas
relacionadas con las que se celebren operaciones, así como la documentación que
demuestre la participación directa e indirecta entre las partes relacionadas.
b) Información
relativa a las funciones o actividades, activos utilizados y riesgos asumidos
por el contribuyente por cada tipo de operación.
c) Información y
documentación sobre las operaciones con partes relacionadas y sus montos, por
cada parte relacionada y por cada tipo de operación de acuerdo a la
clasificación y con los datos que establece el artículo 179 de esta Ley.
d) El método
aplicado conforme al artículo 180 de esta Ley, incluyendo la información y la
documentación sobre operaciones o empresas comparables por cada tipo de
operación.
Los
contribuyentes que realicen actividades empresariales cuyos ingresos en el ejercicio
inmediato anterior no hayan excedido de $13’000,000.00, así como los
contribuyentes cuyos ingresos derivados de prestación de servicios
profesionales no hubiesen excedido en dicho ejercicio de $3’000,000.00 no
estarán obligados a cumplir con la obligación establecida en esta fracción,
excepto aquéllos que se encuentren en el supuesto a que se refiere el penúltimo
párrafo del artículo 179 de esta Ley y los que tengan el carácter de
contratistas o asignatarios en términos de la Ley de Ingresos sobre Hidrocarburos.
Párrafo reformado DOF 30-11-2016
El
ejercicio de las facultades de comprobación respecto a la obligación prevista
en esta fracción solamente se podrá realizar por lo que hace a ejercicios
terminados.
La
documentación e información a que se refiere esta fracción deberá registrarse
en contabilidad, identificando en la misma el que se trata de operaciones con
partes relacionadas residentes en el extranjero.
X. Presentar,
conjuntamente con la declaración del ejercicio, la información de las operaciones
que realicen con partes relacionadas residentes en el extranjero, efectuadas
durante el año de calendario inmediato anterior, que se solicite mediante la
forma oficial que al efecto aprueben las autoridades fiscales.
XI. Tratándose
de personas morales que hagan los pagos por concepto de dividendos o utilidades
a personas físicas o morales:
a) Efectuar los
pagos con cheque nominativo no negociable del contribuyente expedido a nombre
del accionista o a través de transferencias de fondos reguladas por el Banco de
México a la cuenta de dicho accionista.
b) Proporcionar a
las personas a quienes les efectúen pagos por los conceptos a que se refiere
esta fracción, comprobante fiscal en el que se señale su monto, el impuesto
sobre la renta retenido en términos de los artículos 140 y 164 de esta Ley, así
como si éstos provienen de las cuentas establecidas en los artículos 77 y 85 de
esta Ley, según se trate, o si se trata de los dividendos o utilidades a que se
refiere el primer párrafo del artículo 10 de la misma. Este comprobante se
entregará cuando se pague el dividendo o utilidad.
XII. Tratándose
de personas morales que celebren operaciones con partes relacionadas, éstas
deberán determinar sus ingresos acumulables y sus deducciones autorizadas,
considerando para esas operaciones los precios y montos de contraprestaciones
que hubieran utilizado con o entre partes independientes en operaciones
comparables. Para estos efectos, aplicarán los métodos establecidos en el
artículo 180 de esta Ley, en el orden establecido en el citado artículo.
XIII. Presentar, a
más tardar el día 15 de febrero de cada año ante las oficinas autorizadas,
declaración en la que proporcionen la información de las operaciones efectuadas
en el año de calendario anterior, a través de fideicomisos por los que se
realicen actividades empresariales en los que intervengan.
XIV. Llevar un
control de inventarios de mercancías, materias primas, productos en proceso y
productos terminados, según se trate, conforme al sistema de inventarios perpetuos.
Los contribuyentes podrán incorporar variaciones al sistema señalado en esta
fracción, siempre que cumplan con los requisitos que se establezcan mediante
reglas de carácter general.
Los
contribuyentes que opten por valuar sus inventarios de conformidad con el
cuarto párrafo del artículo 41 de esta Ley, deberán llevar un registro de los
factores utilizados para fijar los márgenes de utilidad bruta aplicados para
determinar el costo de lo vendido durante el ejercicio, identificando los
artículos homogéneos por grupos o departamentos con los márgenes de utilidad
aplicados a cada uno de ellos. El registro a que se refiere este párrafo se
deberá tener a disposición de las autoridades fiscales durante el plazo
establecido en el artículo 30 del Código Fiscal de la Federación.
XV. Informar a
las autoridades fiscales, a través de los medios y formatos electrónicos, que
señale el Servicio de Administración Tributaria mediante reglas de carácter
general, a más tardar el día 17 del mes inmediato posterior a aquel en el que
se realice la operación, de las contraprestaciones recibidas en efectivo en
moneda nacional o extranjera, así como en piezas de oro o de plata, cuyo monto
sea superior a cien mil pesos. Las referidas reglas de carácter general podrán
establecer supuestos en los que no sea necesario presentar la información a que
se refiere esta fracción.
La
información a que se refiere esta fracción estará a disposición de la
Secretaría de Hacienda y Crédito Público en los términos del artículo 69 del
Código Fiscal de la Federación.
XVI. Informar a
las autoridades fiscales, a través de los medios y formatos que para tal efecto
señale el Servicio de Administración Tributaria mediante reglas de carácter
general, de los préstamos, aportaciones para futuros aumentos de capital o
aumentos de capital que reciban en efectivo, en moneda nacional o extranjera,
mayores a $600,000.00, dentro de los quince días posteriores a aquél en el que
se reciban las cantidades correspondientes.
XVII. Los
contribuyentes residentes en el país que tengan establecimientos en el
extranjero, además de las obligaciones establecidas en otros artículos de esta
Ley, tendrán las siguientes:
a) Llevar los libros de contabilidad y los
registros que correspondan al establecimiento en el extranjero, en los términos
que señale esta Ley y su Reglamento. Los asientos correspondientes podrán
efectuarse de acuerdo con lo siguiente:
1. En idioma
español o en el oficial del país donde se encuentren dichos establecimientos.
Si los asientos correspondientes se hacen en idioma distinto al español deberá
proporcionarse traducción autorizada a las autoridades fiscales cuando éstas
así lo requieran en el ejercicio de sus facultades de comprobación.
2. Registrando las
operaciones en moneda nacional o en la moneda de curso legal en el país donde
se encuentren dichos establecimientos. Si se registra en moneda distinta de la
nacional, la conversión podrá hacerse, a elección del contribuyente, por cada
operación o conforme al tipo de cambio que tenga la moneda extranjera en México
al último día de cada mes de calendario.
b) Conservar los libros, los registros y la
documentación comprobatoria de los asientos respectivos y los comprobantes de
haber cumplido con sus obligaciones fiscales, relacionados únicamente con el
establecimiento en el extranjero, durante el término que para tal efecto
señalan esta Ley y el Código Fiscal de la Federación. Podrán conservarse en
dicho establecimiento siempre que se cumplan los requisitos y condiciones que
fije el Reglamento de esta Ley.
XVIII. Las personas
morales que distribuyan anticipos o rendimientos en los términos de la fracción
II del artículo 94 de esta Ley, deberán expedir comprobante fiscal en el que
conste el monto de los anticipos y rendimientos distribuidos, así como el
impuesto retenido.
XIX. Tratándose de
contribuyentes que hayan optado por dictaminarse en los términos del artículo 32-A
del Código Fiscal de la Federación, deberán dar a conocer en la Asamblea
General Ordinaria de Accionistas un reporte en el que se informe sobre el
cumplimiento de las obligaciones fiscales a su cargo en el ejercicio fiscal al
que corresponda el dictamen.
La
obligación prevista en el párrafo anterior, se tendrá por cumplida si en la
Asamblea referida se distribuye entre los accionistas y se da lectura al
informe sobre la revisión de la situación fiscal a que se refiere la fracción
III del artículo 52 del Código Fiscal de la Federación.
Artículo 76-A. Los contribuyentes señalados en el artículo 32-H,
fracciones I, II, III y IV del Código Fiscal de la Federación que celebren
operaciones con partes relacionadas, en adición a lo previsto en el artículo
76, fracciones IX y XII, y en relación con el artículo 179, primer y último
párrafos de esta Ley, deberán proporcionar a las autoridades fiscales a más
tardar el 31 de diciembre del año inmediato posterior al ejercicio fiscal de
que se trate, las siguientes declaraciones anuales informativas de partes
relacionadas:
I. Declaración
informativa maestra de partes relacionadas del grupo empresarial multinacional,
que deberá contener información referente al grupo empresarial multinacional,
de la:
a) Estructura
organizacional.
b) Descripción
de la actividad, sus intangibles, actividades financieras con sus partes
relacionadas.
c) Posición
financiera y fiscal.
II. Declaración
informativa local de partes relacionadas, que deberá contener información sobre
la:
a) Descripción
de la estructura organizacional, actividades estratégicas y de negocio, así
como de sus operaciones con partes relacionadas.
b) Información
financiera del contribuyente obligado y de las operaciones o empresas
utilizadas como comparables en sus análisis.
III. Declaración
informativa país por país del grupo empresarial multinacional que contenga:
a) Información a
nivel jurisdicción fiscal sobre la distribución mundial de ingresos e impuestos
pagados.
b) Indicadores
de localización de las actividades económicas en las jurisdicciones fiscales en
las que opera el grupo empresarial multinacional en el ejercicio fiscal
correspondiente, los cuales deberán incluir la jurisdicción fiscal; el ingreso
total, distinguiendo el monto obtenido con partes relacionadas y con partes
independientes; utilidades o pérdidas antes de impuestos; impuesto sobre la
renta efectivamente pagado; impuesto sobre la renta causado en el ejercicio;
cuentas de capital; utilidades o pérdidas acumuladas; número de empleados;
activos fijos y de mercancías.
c) Un listado de
todas las entidades integrantes del grupo empresarial multinacional, y de sus
establecimientos permanentes, incluyendo las principales actividades económicas
de cada una de las entidades integrantes del grupo empresarial multinacional;
jurisdicción de constitución de la entidad, para el caso en que fuera distinta
a la de su residencia fiscal, además de toda aquella información adicional que
se considere pudiera facilitar el entendimiento de la información anterior.
La
declaración informativa país por país, deberá ser presentada por los
contribuyentes a que se refiere este artículo cuando se ubiquen en alguno de
los supuestos que se señalan a continuación:
a) Sean personas
morales controladoras multinacionales, entendiéndose como tales aquéllas que
reúnan los siguientes requisitos:
1. Sean
residentes en México.
2. Tengan
empresas subsidiarias definidas en términos de las normas de información
financiera, o bien, establecimientos permanentes, que residan o se ubiquen en
el extranjero, según sea el caso.
3. No sean
subsidiarias de otra empresa residente en el extranjero.
4. Estén
obligadas a elaborar, presentar y revelar estados financieros consolidados en
los términos de las normas de información financiera.
5. Reporten en
sus estados financieros consolidados resultados de entidades con residencia en
otro o más países o jurisdicciones.
6. Hayan
obtenido en el ejercicio inmediato anterior ingresos consolidados para efectos
contables equivalentes o superiores a doce mil millones de pesos.
Este monto
podrá ser modificado por el Congreso de la Unión para el ejercicio de que se
trate en la Ley de Ingresos de la Federación.
b) Sean personas
morales residentes en territorio nacional o residentes en el extranjero con
establecimiento permanente en el país, que hayan sido designadas por la persona
moral controladora del grupo empresarial multinacional residente en el
extranjero como responsables de proporcionar la declaración informativa país
por país a que se refiere la presente fracción. La persona moral designada
deberá presentar, a más tardar el 31 de diciembre del año siguiente al de su
designación, un aviso ante las autoridades fiscales en los términos que para
tales efectos establezca el Servicio de Administración Tributaria mediante
reglas de carácter general.
El Servicio de Administración Tributaria establecerá
reglas de carácter general para la presentación de las declaraciones referidas
en las fracciones I, II y III del presente artículo, a través de las cuales
podrá solicitar información adicional, e incluirá los medios y formatos
correspondientes. Por otra parte, dicha autoridad fiscal, podrá requerir a las
personas morales residentes en territorio nacional que sean subsidiarias de una
empresa residente en el extranjero, o a los residentes en el extranjero que
tengan un establecimiento permanente en el país, la declaración informativa país
por país a que se refiere la fracción III de este artículo, en los casos en que
las autoridades fiscales no puedan obtener la información correspondiente a
dicha declaración por medio de los mecanismos de intercambio de información
establecidos en los tratados internacionales que México tenga en vigor, para
dichos efectos los contribuyentes contarán con un plazo máximo de 120 días
hábiles a partir de la fecha en la que se notifique la solicitud para
proporcionar la declaración a que se refiere este párrafo.
Artículo adicionado DOF 18-11-2015
Artículo 77. Las personas morales llevarán una cuenta de utilidad
fiscal neta. Esta cuenta se adicionará con la utilidad fiscal neta de cada
ejercicio, así como con los dividendos o utilidades percibidos de otras personas
morales residentes en México y con los ingresos, dividendos o utilidades
sujetos a regímenes fiscales preferentes en los términos del décimo párrafo del
artículo 177 de esta Ley, y se disminuirá con el importe de los dividendos o
utilidades pagados, con las utilidades distribuidas a que se refiere el
artículo 78 de esta Ley, cuando en ambos casos provengan del saldo de dicha
cuenta. Para los efectos de este párrafo, no se incluyen los dividendos o
utilidades en acciones o los reinvertidos en la suscripción y aumento de
capital de la misma persona que los distribuye, dentro de los 30 días naturales
siguientes a su distribución. Para determinar la utilidad fiscal neta a que se
refiere este párrafo, se deberá disminuir, en su caso, el monto que resulte en los
términos de la fracción II del artículo 10 de esta Ley.
El saldo de la cuenta prevista en este artículo que se
tenga al último día de cada ejercicio, sin incluir la utilidad fiscal neta del
mismo, se actualizará por el periodo comprendido desde el mes en que se efectuó
la última actualización y hasta el último mes del ejercicio de que se trate.
Cuando se distribuyan o se perciban dividendos o utilidades con posterioridad a
la actualización prevista en este párrafo, el saldo de la cuenta que se tenga a
la fecha de la distribución o de percepción, se actualizará por el periodo
comprendido desde el mes en el que se efectuó la última actualización y hasta
el mes en el que se distribuyan o se perciban los dividendos o utilidades.
Para los efectos de lo dispuesto en este artículo, se
considera utilidad fiscal neta del ejercicio, la cantidad que se obtenga de
restar al resultado fiscal del ejercicio, el impuesto sobre la renta pagado en
los términos del artículo 9 de esta Ley, el importe de las partidas no deducibles
para efectos de dicho impuesto, excepto las señaladas en las fracciones VIII y
IX del artículo 28 de la Ley citada, la participación de los trabajadores en
las utilidades de las empresas a que se refiere la fracción I del artículo 9 de
la misma, y el monto que se determine de conformidad con el siguiente párrafo.
Cuando en el ejercicio por el cual se calcule la
utilidad fiscal neta a que se refiere el párrafo anterior, la persona moral de
que se trate tenga la obligación de acumular los montos proporcionales de los
impuestos sobre la renta pagados en el extranjero de conformidad con los
párrafos segundo y cuarto del artículo 5 de esta Ley, se deberá disminuir a la
cantidad que se obtenga conforme al párrafo anterior, el monto que resulte por
aplicar la siguiente fórmula:
MRU ![]()
Donde:
MRU: Monto a restar de la cantidad obtenida conforme al tercer párrafo
de este artículo.
D: Dividendo o utilidad distribuido por la sociedad residente en
el extranjero a la persona moral residente en México sin disminuir la retención
o pago del impuesto sobre la renta que en su caso se haya efectuado por su
distribución.
MPI: Monto proporcional del impuesto sobre la renta pagado en el
extranjero en primer nivel corporativo, referido en los párrafos segundo y
tercero del artículo 5 de esta Ley.
MPI2: Monto proporcional del impuesto sobre la
renta pagado en el extranjero en segundo nivel corporativo, referido en los
párrafos cuarto y quinto del artículo 5 de esta Ley.
DN: Dividendo o utilidad distribuido por la sociedad residente en el
extranjero a la persona moral residente en México disminuido con la retención o
pago del impuesto sobre la renta que en su caso se haya efectuado por su
distribución.
AC: Impuestos acreditables conforme al primer, segundo y cuarto
párrafos del artículo 5 de esta Ley que correspondan al ingreso que se acumuló
tanto por el dividendo percibido como por sus montos proporcionales.
Cuando la suma del impuesto sobre la renta pagado en
los términos del artículo 9 de esta Ley, las partidas no deducibles para
efectos del impuesto sobre la renta, excepto las señaladas en las fracciones
VIII y IX del artículo 28 de esta Ley, la participación de los trabajadores en
las utilidades de las empresas a que se refiere la fracción I del artículo 9 de
la misma, y el monto que se determine conforme al párrafo anterior, sea mayor
al resultado fiscal del ejercicio, la diferencia se disminuirá del saldo de la
cuenta de utilidad fiscal neta que se tenga al final del ejercicio o, en su
caso, de la utilidad fiscal neta que se determine en los siguientes ejercicios,
hasta agotarlo. En este último caso, el monto que se disminuya se actualizará
desde el último mes del ejercicio en el que se determinó y hasta el último mes
del ejercicio en el que se disminuya.
Cuando se modifique el resultado fiscal de un
ejercicio y la modificación reduzca la utilidad fiscal neta determinada, el
importe actualizado de la reducción deberá disminuirse del saldo de la cuenta
de utilidad fiscal neta que la persona moral tenga a la fecha en que se
presente la declaración complementaria. Cuando el importe actualizado de la
reducción sea mayor que el saldo de la cuenta a la fecha de presentación de la
declaración referida, se deberá pagar, en la misma declaración, el impuesto sobre
la renta que resulte de aplicar la tasa a que se refiere el artículo 9 de esta
Ley a la cantidad que resulte de sumar a la diferencia entre la reducción y el
saldo de la referida cuenta, el impuesto correspondiente a dicha diferencia.
Para determinar el impuesto que se debe adicionar, se multiplicará la
diferencia citada por el factor de 1.4286 y al resultado se le aplicará la tasa
del artículo 9 de esta Ley. El importe de la reducción se actualizará por los
mismos periodos en que se actualizó la utilidad fiscal neta del ejercicio de
que se trate.
El saldo de la cuenta de utilidad fiscal neta deberá
transmitirse a otra u otras sociedades en los casos de fusión o escisión. En
este último caso, dicho saldo se dividirá entre la sociedad escindente y las
sociedades escindidas, en la proporción en que se efectúe la partición del
capital contable del estado de posición financiera aprobado por la asamblea de
accionistas y que haya servido de base para realizar la escisión.
Artículo 77-A. Las personas morales que se dediquen exclusivamente a
la generación de energía proveniente de fuentes renovables o de sistemas de
cogeneración de electricidad eficiente, en el ejercicio en que apliquen la
deducción prevista en el artículo 34, fracción XIII de esta Ley, podrán crear
una cuenta de utilidad por inversión en energías renovables, la que se
calculará en los mismos términos que la cuenta de utilidad fiscal neta prevista
en el artículo 77 de la presente Ley. Para efectos del cálculo de la cuenta de
utilidad por inversión en energías renovables, en lugar de la utilidad fiscal
neta del ejercicio a que se refiere el artículo 77 de esta Ley, se adicionará
la utilidad por inversión en energías renovables del ejercicio.
Los contribuyentes que opten por llevar la cuenta de
utilidad por inversión en energías renovables, lo harán hasta el ejercicio en
el que determinen la utilidad fiscal neta prevista en el artículo 77, párrafo
tercero de la presente Ley.
Para efectos de lo dispuesto en este artículo, se
considera utilidad por inversión en energías renovables del ejercicio, la
cantidad que se obtenga de restar al resultado fiscal del mismo ejercicio el
impuesto sobre la renta, ambos determinados de conformidad con el siguiente
párrafo y, en su caso, los conceptos a que se refiere el artículo 77, párrafo
tercero de esta Ley.
Para efectos de la utilidad por inversión en energías
renovables, el resultado fiscal del ejercicio se calculará aplicando en
sustitución del porciento de deducción establecido en el artículo 34, fracción
XIII de esta Ley, el previsto en el artículo 35, fracción I de la misma,
durante los ejercicios que correspondan a la vida útil del bien y hasta el
ejercicio fiscal en que se determine utilidad fiscal neta. Al resultado fiscal
que se obtenga, se aplicará la tasa prevista en el artículo 9 de esta Ley y la
cantidad obtenida será el impuesto sobre la renta que se disminuya conforme al
párrafo anterior. La deducción prevista en este párrafo deberá efectuarse en
los términos del Título II, Capítulo II, Sección II de esta Ley, excepto lo
dispuesto en el artículo 31, párrafo cuarto de la citada Ley.
No se estará obligado al pago del impuesto sobre la
renta por los dividendos o utilidades que se distribuyan de la cuenta de
utilidad por inversión en energías renovables. Lo dispuesto en este párrafo no
será aplicable tratándose del impuesto previsto en los artículos 140, párrafo
segundo y 164, fracciones I, quinto párrafo y IV de esta Ley.
Los contribuyentes que distribuyan dividendos o
utilidades de la cuenta de utilidad por inversión en energías renovables,
deberán llevar un registro de manera acumulativa de la distribución de
dividendos o utilidades que efectúen en cada ejercicio.
Los contribuyentes que distribuyan dividendos o
utilidades de la cuenta de utilidad por inversión en energías renovables, a
partir del ejercicio en que determinen la utilidad fiscal neta prevista en el
artículo 77, párrafo tercero de esta Ley, deberán disminuir de dicha utilidad
fiscal neta, el saldo que tengan en el registro que se establece en el párrafo
anterior. Dicha disminución deberá efectuarse hasta por el monto del saldo de
la cuenta de utilidad fiscal neta prevista en el artículo 77 de esta Ley, y
hasta el ejercicio en que disminuyan el total de los dividendos o utilidades
distribuidos provenientes de la cuenta de utilidad por inversión en energías
renovables.
A partir del ejercicio en que se genere saldo en la
cuenta de utilidad fiscal neta prevista en el artículo 77 de esta Ley, no se
podrá distribuir el remanente no distribuido que, en su caso, tenga la cuenta
de utilidad por inversión en energías renovables.
Se consideran contribuyentes dedicados exclusivamente
a la generación de energía proveniente de fuentes renovables o de sistemas de
cogeneración de electricidad eficiente, aquellos cuyos ingresos por dichas
actividades representen cuando menos el 90% de sus ingresos totales, sin
incluir los ingresos por las enajenaciones de activos fijos o activos fijos y
terrenos, de su propiedad, que hubiesen estado afectos a su actividad.
Artículo adicionado DOF 18-11-2015
Artículo 78. Las
personas morales residentes en México que reduzcan su capital determinarán la
utilidad distribuida, conforme a lo siguiente:
I. Se
disminuirá del reembolso por acción, el saldo de la cuenta de capital de aportación
por acción que se tenga a la fecha en la que se pague el reembolso.
La
utilidad distribuida será la cantidad que resulte de multiplicar el número de
acciones que se reembolsen o las que se hayan considerado para la reducción de
capital de que se trate, según corresponda, por el monto que resulte conforme
al párrafo anterior.
La
utilidad distribuida gravable determinada conforme el párrafo anterior podrá
provenir de la cuenta de utilidad fiscal neta hasta por la parte que del saldo
de dicha cuenta le corresponda al número de acciones que se reembolsan. El
monto que de la cuenta de utilidad fiscal neta le corresponda a las acciones
señaladas, se disminuirá del saldo que dicha cuenta tenga en la fecha en la que
se pagó el reembolso.
Cuando
la utilidad distribuida gravable a que se refiere esta fracción no provenga de
la cuenta de utilidad fiscal neta, las personas morales deberán determinar y
enterar el impuesto que corresponda aplicando a dicha utilidad la tasa prevista
en el artículo 9 de esta Ley. Para estos efectos, el monto de la utilidad
distribuida deberá incluir el impuesto sobre la renta que le corresponda a la
misma. Para determinar el impuesto que corresponde a dicha utilidad, se
multiplicará la misma por el factor de 1.4286 y al resultado se le aplicará la
tasa del artículo 9 de esta Ley.
El
monto del saldo de la cuenta de capital de aportación por acción determinado
para el cálculo de la utilidad distribuida, se multiplicará por el número de
acciones que se reembolsen o por las que se hayan considerado para la reducción
de capital de que se trate. El resultado obtenido se disminuirá del saldo que
dicha cuenta tenga a la fecha en la que se pagó el reembolso.
Para
determinar el monto del saldo de la cuenta de capital de aportación por acción
se dividirá el saldo de dicha cuenta a la fecha en que se pague el reembolso,
sin considerar éste, entre el total de acciones de la misma persona existentes
a la misma fecha, incluyendo las correspondientes a la reinversión o a la
capitalización de utilidades, o de cualquier otro concepto que integre el
capital contable de la misma.
II. Las
personas morales que reduzcan su capital, adicionalmente, considerarán dicha
reducción como utilidad distribuida hasta por la cantidad que resulte de restar
al capital contable según el estado de posición financiera aprobado por la
asamblea de accionistas para fines de dicha disminución, el saldo de la cuenta
de capital de aportación que se tenga a la fecha en que se efectúe la reducción
referida cuando éste sea menor.
A la
cantidad que se obtenga conforme al párrafo anterior se le disminuirá la
utilidad distribuida determinada en los términos del segundo párrafo de la
fracción I de este artículo. El resultado será la utilidad distribuida gravable
para los efectos de esta fracción.
Cuando
la utilidad distribuida gravable a que se refiere el párrafo anterior no
provenga de la cuenta de utilidad fiscal neta, las personas morales deberán
determinar y enterar el impuesto que corresponda a dicha utilidad, aplicando a
la misma la tasa prevista en el artículo 9 de esta Ley. Para estos efectos, el
monto de la utilidad distribuida gravable deberá incluir el impuesto sobre la
renta que le corresponda a la misma. Para determinar el impuesto que
corresponde a dicha utilidad, se multiplicará la misma por el factor de 1.4286
y al resultado se le aplicará la tasa del artículo 9 de esta Ley. Cuando la
utilidad distribuida gravable provenga de la mencionada cuenta de utilidad
fiscal neta se estará a lo dispuesto en el tercero párrafo del artículo 10 de
esta Ley y dicha utilidad se deberá disminuir del saldo de la mencionada
cuenta. La utilidad que se determine conforme a esta fracción se considerará
para reducciones de capital subsecuentes como aportación de capital en los
términos de este artículo.
El capital contable deberá actualizarse conforme a las
Normas de Información Financiera, cuando la persona utilice dichos principios
para integrar su contabilidad; en el caso contrario, el capital contable deberá
actualizarse conforme a las reglas de carácter general que para el efecto
expida el Servicio de Administración Tributaria.
Las personas morales a que se refiere este artículo,
deberán enterar conjuntamente con el impuesto que, en su caso, haya
correspondido a la utilidad o dividendo en los términos de la fracción I de
este artículo, el monto del impuesto que determinen en los términos de la
fracción II del mismo.
Lo dispuesto en este artículo también será aplicable
tratándose de liquidación de personas morales.
En el caso de escisión de sociedades, no será
aplicable lo dispuesto en este precepto, salvo lo señalado en el párrafo décimo
del mismo, siempre que la suma del capital de la sociedad escindente, en el
caso de que subsista, y de las sociedades escindidas, sea igual al que tenía la
sociedad escindente y las acciones que se emitan como consecuencia de dichos
actos sean canjeadas a los mismos accionistas y en la misma proporción
accionaria que tenían en la sociedad escindente.
Lo dispuesto en este artículo será aplicable tratándose
de la compra de acciones, efectuada por la propia sociedad emisora con cargo a
su capital social o a la reserva para adquisiciones de acciones propias. Dichas
sociedades no considerarán utilidades distribuidas en los términos de este
artículo, las compras de acciones propias que sumadas a las que hubiesen
comprado previamente, no excedan del 5% de la totalidad de sus acciones
liberadas, y siempre que se recoloquen dentro de un plazo máximo de un año,
contado a partir del día de la compra. En el caso de que la adquisición de
acciones propias a que se refiere este párrafo se haga con recursos que se
obtengan a través de la emisión de obligaciones convertibles en acciones, el
plazo será el de la emisión de dichas obligaciones. El Servicio de Administración
Tributaria podrá expedir reglas de carácter general que faciliten el
cumplimiento de lo establecido en el presente párrafo. Lo dispuesto en este
párrafo no será aplicable tratándose de fondos de inversión de renta variable por la compra de acciones que éstas
efectúen a sus integrantes o accionistas.
Párrafo reformado DOF 18-11-2015
Para los efectos del párrafo anterior, la utilidad
distribuida será la cantidad que se obtenga de disminuir al monto que se pague
por la adquisición de cada una de las acciones, el saldo de la cuenta de
capital de aportación por acción, a la fecha en la que se compran las acciones,
multiplicando el resultado por el número de acciones compradas. A la utilidad
distribuida en los términos de este párrafo, se le podrá disminuir, en su caso,
el saldo de la cuenta de utilidad fiscal neta de la sociedad emisora. El monto
del saldo de la cuenta de utilidad fiscal neta y del saldo de la cuenta de
capital de aportación, que se disminuyeron en los términos de este párrafo, se
disminuirán de los saldos de las referidas cuentas que se tengan a la fecha de
la compra de acciones por la propia sociedad emisora.
Cuando la utilidad distribuida determinada conforme al
párrafo anterior no provenga de la cuenta de utilidad fiscal neta, la sociedad
emisora deberá determinar y enterar el impuesto que corresponda en los términos
del tercer párrafo de la fracción II de este artículo.
También se considera reducción de capital en los
términos de este artículo, la adquisición que una sociedad realice de las
acciones emitidas por otra sociedad que a su vez sea tenedora directa o
indirecta de las acciones de la sociedad adquirente. En este caso, se considera
que la sociedad emisora de las acciones que sean adquiridas es la que reduce su
capital. Para estos efectos, el monto del reembolso será la cantidad que se
pague por la adquisición de la acción.
En el caso de escisión de sociedades, se considerará
como reducción de capital la transmisión de activos monetarios a las sociedades
que surjan con motivo de la escisión, cuando dicha transferencia origine que en
las sociedades que surjan, los activos mencionados representen más del 51% de
sus activos totales. Se considerará reducción de capital cuando con motivo de
la escisión, la sociedad escindente, conserve activos monetarios que
representen más del 51% de sus activos totales. Para efectos de este párrafo,
se considera como reducción de capital un monto equivalente al valor de los
activos monetarios que se transmiten. Lo dispuesto en este párrafo no será aplicable
tratándose de escisión de sociedades, que sean integrantes del sistema
financiero en los términos del artículo 7 de esta Ley. El monto de la reducción
de capital que se determine conforme a este párrafo, se considerará para
reducciones posteriores como aportación de capital en los términos de este
artículo, siempre y cuando no se realice reembolso alguno en el momento de la
escisión.
Para determinar el capital de aportación actualizado,
las personas morales llevarán una cuenta de capital de aportación que se
adicionará con las aportaciones de capital, las primas netas por suscripción de
acciones efectuadas por los socios o accionistas, y se disminuirá con las
reducciones de capital que se efectúen. Para los efectos de este párrafo, no se
incluirá como capital de aportación el correspondiente a la reinversión o
capitalización de utilidades o de cualquier otro concepto que conforme el
capital contable de la persona moral ni el proveniente de reinversiones de
dividendos o utilidades en aumento de capital de las personas que los
distribuyan realizadas dentro de los treinta días siguientes a su distribución.
Los conceptos correspondientes a aumentos de capital mencionados en este
párrafo, se adicionarán a la cuenta de capital de aportación en el momento en el
que se paguen y los conceptos relativos a reducciones de capital se disminuirán
de la citada cuenta en el momento en el que se pague el reembolso.
El saldo de la cuenta prevista en el párrafo anterior
que se tenga al día del cierre de cada ejercicio, se actualizará por el periodo
comprendido desde el mes en el que se efectuó la última actualización y hasta
el mes de cierre del ejercicio de que se trate. Cuando se efectúen aportaciones
o reducciones de capital, con posterioridad a la actualización prevista en este
párrafo, el saldo de la cuenta que se tenga a esa fecha se actualizará por el
periodo comprendido desde el mes en el que se efectuó la última actualización y
hasta el mes en el que se pague la aportación o el reembolso, según
corresponda.
Cuando ocurra una fusión o una escisión de sociedades,
el saldo de la cuenta de capital de aportación se deberá transmitir a las
sociedades que surjan o que subsistan con motivo de dichos actos, según
corresponda. En el caso de fusión de sociedades, no se tomará en consideración
el saldo de la cuenta de capital de aportación de las sociedades fusionadas, en
la proporción en la que las acciones de dichas sociedades que sean propiedad de
las que subsistan al momento de la fusión, representen respecto del total de sus
acciones. En el caso de escisión de sociedades, dicho saldo se dividirá entre
la sociedad escindente y las sociedades escindidas, en la proporción en la que
se divida el capital contable del estado de posición financiera aprobado por la
asamblea de accionistas y que haya servido de base para realizar la escisión.
En el caso de fusión, cuando subsista la sociedad
tenedora de las acciones de la sociedad que desaparece, el saldo de la cuenta
de capital de aportación de la sociedad que subsista será el monto que resulte
de sumar al saldo de la cuenta de capital de aportación que la sociedad que
subsista tenía antes de la fusión, el monto del saldo de la cuenta de capital
de aportación que corresponda a otros accionistas de la sociedad que
desaparezca en la misma fecha, distintos de la sociedad fusionante.
Cuando la sociedad que subsista de la fusión sea la
sociedad cuyas acciones fueron poseídas por una sociedad fusionada, el monto de
la cuenta de capital de aportación de la sociedad que subsista será el que
tenía la sociedad fusionada antes de la fusión, adicionado con el monto que
resulte de multiplicar el saldo de la cuenta de capital de aportación que tenía
la sociedad fusionante antes de la fusión, por la
participación accionaria que tenían en dicha sociedad y en la misma fecha otros
accionistas distintos de la sociedad fusionada.
Cuando una persona moral hubiera aumentado su capital
dentro de un periodo de dos años anterior a la fecha en la que se efectúe la
reducción del mismo y ésta dé origen a la cancelación de acciones o a la
disminución del valor de las acciones, dicha persona moral calculará la
ganancia que hubiera correspondido a los tenedores de las mismas de haberlas
enajenado, conforme al artículo 22 de esta Ley, considerando para estos efectos
como ingreso obtenido por acción el reembolso por acción. Cuando la persona
moral se fusione dentro del plazo de dos años antes referido y posteriormente
la persona moral que subsista o surja con motivo de la fusión reduzca su
capital dando origen a la cancelación de acciones o a la disminución del valor
de las acciones, la sociedad referida calculará la ganancia que hubiera
correspondido a los tenedores de las acciones de haberlas enajenado, conforme
al artículo antes citado. En el caso de que esta ganancia resulte mayor que la
utilidad distribuida determinada conforme a las fracciones I y II de este
artículo, dicha ganancia se considerará como utilidad distribuida para los
efectos de este precepto.
Lo dispuesto en este artículo será aplicable,
indistintamente, al reembolso, a la amortización o a la reducción de capital,
independientemente de que haya o no cancelación de acciones.
También será aplicable lo dispuesto en este artículo,
a las asociaciones en participación cuando éstas efectúen reembolsos o reducciones
de capital en favor de sus integrantes.
TÍTULO III
DEL RÉGIMEN DE LAS PERSONAS MORALES CON FINES
NO LUCRATIVOS
Artículo 79. No son contribuyentes del impuesto sobre la renta, las
siguientes personas morales:
I. Sindicatos
obreros y los organismos que los agrupen.
II. Asociaciones
patronales.
III. Cámaras
de comercio e industria, agrupaciones agrícolas, ganaderas, pesqueras o
silvícolas, así como los organismos que las reúnan.
IV. Colegios
de profesionales y los organismos que los agrupen.
V. Asociaciones
civiles y sociedades de responsabilidad limitada de interés público que
administren en forma descentralizada los distritos o unidades de riego, previa
la concesión y permiso respectivo.
VI. Instituciones
de asistencia o de beneficencia, autorizadas por las leyes de la materia, así
como las sociedades o asociaciones civiles, organizadas sin fines de lucro y
autorizadas para recibir donativos en los términos de esta Ley, que tengan como
beneficiarios a personas, sectores, y regiones de escasos recursos; que
realicen actividades para lograr mejores condiciones de subsistencia y
desarrollo a las comunidades indígenas y a los grupos vulnerables por edad,
sexo o problemas de discapacidad, dedicadas a las siguientes actividades:
a) La atención a
requerimientos básicos de subsistencia en materia de alimentación, vestido o
vivienda.
b) La asistencia
o rehabilitación médica o a la atención en establecimientos especializados.
c) La asistencia
jurídica, el apoyo y la promoción, para la tutela de los derechos de los
menores, así como para la readaptación social de personas que han llevado a
cabo conductas ilícitas.
d) La
rehabilitación de alcohólicos y farmacodependientes.
e) La ayuda para
servicios funerarios.
f) Orientación
social, educación o capacitación para el trabajo.
g) Apoyo para el
desarrollo de los pueblos y comunidades indígenas.
h) Aportación de
servicios para la atención a grupos sociales con discapacidad.
i) Fomento de
acciones para mejorar la economía popular.
VII. Sociedades
cooperativas de consumo.
VIII. Organismos
que conforme a la Ley agrupen a las sociedades cooperativas, ya sea de
productores o de consumidores, así como los organismos cooperativos de
integración y representación a que se refiere la Ley General de Sociedades Cooperativas.
Fracción reformada DOF 08-12-2020
IX. Sociedades
mutualistas y Fondos de Aseguramiento Agropecuario y Rural, que no operen con
terceros, siempre que no realicen gastos para la adquisición de negocios, tales
como premios, comisiones y otros semejantes.
X. Sociedades
o asociaciones de carácter civil que se dediquen a la enseñanza, con
autorización o con reconocimiento de validez oficial de estudios en los
términos de la Ley General de Educación, así como las instituciones creadas por
decreto presidencial o por ley, cuyo objeto sea la enseñanza, siempre que sean
consideradas como instituciones autorizadas para recibir donativos deducibles
en términos de esta Ley.
XI. Sociedades o
asociaciones de carácter civil sin fines de lucro y autorizadas para recibir
donativos deducibles en los términos de esta Ley, dedicadas a la investigación
científica o tecnológica que se encuentren inscritas en el Registro Nacional de
Instituciones Científicas y Tecnológicas.
Fracción reformada DOF 08-12-2020
XII. Asociaciones
o sociedades civiles, organizadas sin fines de lucro y autorizadas para recibir
donativos, dedicadas a las siguientes actividades:
a) La promoción
y difusión de música, artes plásticas, artes dramáticas, danza, literatura,
arquitectura y cinematografía, conforme a la Ley que crea al Instituto Nacional
de Bellas Artes y Literatura, así como a la Ley Federal de Cinematografía.
b) El apoyo a
las actividades de educación e investigación artísticas de conformidad con lo
señalado en el inciso anterior.
c) La
protección, conservación, restauración y recuperación del patrimonio cultural
de la nación, en los términos de la Ley Federal sobre Monumentos y Zonas
Arqueológicos, Artísticos e Históricos y la Ley General de Bienes Nacionales;
así como el arte de las comunidades indígenas en todas las manifestaciones
primigenias de sus propias lenguas, los usos y costumbres, artesanías y
tradiciones de la composición pluricultural que conforman el país.
d) La
instauración y establecimiento de bibliotecas que formen parte de la Red
Nacional de Bibliotecas Públicas de conformidad con la Ley General de
Bibliotecas.
e) El apoyo a
las actividades y objetivos de los museos dependientes del Consejo Nacional
para la Cultura y las Artes.
XIII. Las
instituciones o sociedades civiles, constituidas únicamente con el objeto de
administrar fondos o cajas de ahorro, y aquéllas a las que se refiera la
legislación laboral, así como las sociedades cooperativas de ahorro y préstamo
a que se refiere la Ley para regular las actividades de las sociedades
cooperativas de ahorro y préstamo.
XIV. Asociaciones
de padres de familia constituidas y registradas en los términos del Reglamento
de Asociaciones de Padres de Familia de la Ley General de Educación.
XV. Sociedades
de gestión colectiva constituidas de acuerdo con la Ley Federal del Derecho de
Autor.
XVI. Asociaciones
o sociedades civiles organizadas con fines políticos, o asociaciones religiosas
constituidas de conformidad con la Ley de Asociaciones Religiosas y Culto
Público.
XVII. Asociaciones o
sociedades civiles, organizadas sin fines de lucro y autorizadas para recibir
donativos deducibles en los términos de esta Ley, que otorguen becas, a que se
refiere el artículo 83 de esta Ley.
Fracción reformada DOF 08-12-2020
XVIII. Asociaciones
civiles de colonos y las asociaciones civiles que se dediquen exclusivamente a
la administración de un inmueble de propiedad en condominio.
XIX. Las
sociedades o asociaciones civiles, organizadas sin fines de lucro y autorizadas
para recibir donativos deducibles en los términos de esta Ley, que se
constituyan y funcionen en forma exclusiva para la realización de actividades
de investigación o preservación de la flora o fauna silvestre, terrestre o
acuática, dentro de las áreas geográficas definidas que señale el Servicio de
Administración Tributaria mediante reglas de carácter general, así como
aquellas que se constituyan y funcionen en forma exclusiva para promover entre
la población la prevención y control de la contaminación del agua, del aire y
del suelo, la protección al ambiente y la preservación y restauración del
equilibrio ecológico.
Fracción reformada DOF 08-12-2020
XX. Las
asociaciones y sociedades civiles, sin fines de lucro y autorizadas para
recibir donativos deducibles en los términos de esta Ley, que comprueben que se
dedican exclusivamente a la reproducción de especies en protección y peligro de
extinción y a la conservación de su hábitat, siempre que además de cumplir con
las reglas de carácter general que emita el Servicio de Administración
Tributaria, se obtenga opinión previa de la Secretaría de Medio Ambiente y
Recursos Naturales.
Fracción reformada DOF 08-12-2020
XXI. Las
sociedades de inversión especializadas de fondos para el retiro.
XXII. Los partidos
y asociaciones políticas, legalmente reconocidos.
XXIII. La
Federación, las entidades federativas, los municipios y las instituciones que
por Ley estén obligadas a entregar al Gobierno Federal el importe íntegro de su
remanente de operación.
XXIV. Los organismos
descentralizados que no tributen conforme al Título II de esta Ley.
XXV. Instituciones
de asistencia o de beneficencia, autorizadas por las leyes de la materia y
organizadas sin fines de lucro, así como las sociedades o asociaciones civiles,
organizadas sin fines de lucro y autorizadas para recibir donativos en los
términos de esta Ley, dedicadas a las siguientes actividades:
a) La promoción
de la participación organizada de la población en las acciones que mejoren sus
propias condiciones de subsistencia en beneficio de la comunidad o en la
promoción de acciones en materia de seguridad ciudadana.
b) Apoyo en la
defensa y promoción de los derechos humanos.
c) Cívicas,
enfocadas a promover la participación ciudadana en asuntos de interés público.
d) Promoción de
la equidad de género.
e) Apoyo en el
aprovechamiento de los recursos naturales, la protección del ambiente, la flora
y la fauna, la preservación y restauración del equilibrio ecológico, así como
la promoción del desarrollo sustentable a nivel regional y comunitario, de las
zonas urbanas y rurales.
f) Promoción y
fomento educativo, cultural, artístico, científico y tecnológico.
g) Participación
en acciones de protección civil.
h) Prestación de
servicios de apoyo a la creación y fortalecimiento de organizaciones que
realicen actividades objeto de fomento en términos de la Ley Federal de Fomento
a las Actividades Realizadas por Organizaciones de la Sociedad Civil.
i) Promoción y
defensa de los derechos de los consumidores.
j) Apoyo a
proyectos de productores agrícolas y de artesanos, con ingresos en el ejercicio
inmediato anterior de hasta 4 veces el valor anual de la Unidad de Medida y
Actualización, que se ubiquen en las zonas con mayor rezago del país de acuerdo
con el Consejo Nacional de Población y que cumplan con las reglas de carácter
general que emita el Servicio de Administración Tributaria.
Inciso adicionado DOF 30-11-2016
XXVI. Asociaciones
Deportivas reconocidas por la Comisión Nacional del Deporte, siempre y cuando
éstas sean miembros del Sistema Nacional del Deporte, en términos de la Ley
General de Cultura Física y Deporte.
Las personas morales a que se refieren las fracciones
V, VI, VII, IX, X, XI, XIII, XVI, XVII, XVIII, XIX, XX, XXIV y XXV de este
artículo, así como las personas morales y fideicomisos autorizados para recibir
donativos deducibles de impuestos, y los fondos de inversión a que se refiere
este Título, considerarán remanente distribuible, aun cuando no lo hayan
entregado en efectivo o en bienes a sus integrantes o socios, el importe de las
omisiones de ingresos o las compras no realizadas e indebidamente registradas;
las erogaciones que efectúen y no sean deducibles en los términos del Título IV
de esta Ley; los préstamos que hagan a sus socios o integrantes, o a los
cónyuges, ascendientes o descendientes en línea recta de dichos socios o
integrantes salvo en el caso de préstamos a los socios o integrantes de las
sociedades cooperativas de ahorro y préstamo a que se refiere la fracción XIII
de este artículo. Tratándose de préstamos que en los términos de este párrafo
se consideren remanente distribuible, su importe se disminuirá de los
remanentes distribuibles que la persona moral distribuya a sus socios o
integrantes.
Párrafo reformado DOF 18-11-2015,
08-12-2020
En el caso en el que se determine remanente
distribuible en los términos del párrafo anterior, la persona moral de que se
trate enterará como impuesto a su cargo el impuesto que resulte de aplicar
sobre dicho remanente distribuible, la tasa máxima para aplicarse sobre el excedente
del límite inferior que establece la tarifa contenida en el artículo 152 de
esta Ley, en cuyo caso se considerará como impuesto definitivo, debiendo
efectuar el entero correspondiente a más tardar en el mes de febrero del año
siguiente a aquél en el que ocurra cualquiera de los supuestos a que se refiere
dicho párrafo.
Artículo 80. Las personas morales a que se refiere el artículo
anterior determinarán el remanente distribuible de un año de calendario
correspondiente a sus integrantes o accionistas, disminuyendo de los ingresos
obtenidos en ese periodo, a excepción de los señalados en el artículo 93 de
esta Ley y de aquéllos por los que se haya pagado el impuesto definitivo, las
deducciones autorizadas, de conformidad con el Título IV de la presente Ley.
Cuando la mayoría de los integrantes o accionistas de
dichas personas morales sean contribuyentes del Título II de esta Ley, el
remanente distribuible se calculará sumando los ingresos y disminuyendo las
deducciones que correspondan, en los términos de las disposiciones de dicho
Título. Cuando la mayoría de los integrantes de dichas personas morales sean
contribuyentes del Título IV, Capítulo II, Sección I de esta Ley, el remanente
distribuible se calculará sumando los ingresos y disminuyendo las deducciones
que correspondan, en los términos de dicha Sección, según corresponda.
Los integrantes o accionistas de las personas morales
a que se refiere el artículo 79 de esta Ley, considerarán como remanente
distribuible únicamente los ingresos que dichas personas les entreguen en
efectivo o en bienes.
Lo dispuesto en este Título será aplicable tratándose
de los fondos de inversión a que se refiere la Ley de Fondos de Inversión,
excepto tratándose de los fondos de inversión de capitales. Los integrantes o
accionistas de los fondos de inversión a que se refiere este párrafo, serán
contribuyentes conforme a lo dispuesto en esta Ley.
Párrafo reformado DOF 18-11-2015
Los integrantes o accionistas de las personas morales
a que se refiere este Título, no considerarán como ingresos los reembolsos que
éstas les hagan de las aportaciones que hayan efectuado. Para dichos efectos,
se estará a lo dispuesto en el artículo 78 de esta Ley.
En el caso de que las personas morales a que se
refiere este Título enajenen bienes distintos de su activo fijo o presten
servicios a personas distintas de sus miembros o socios, deberán determinar el
impuesto que corresponda a la utilidad por los ingresos derivados de las
actividades mencionadas, en los términos del Título II de esta Ley, a la tasa
prevista en el artículo 9 de la misma, siempre que dichos ingresos excedan del
5% de los ingresos totales de la persona moral en el ejercicio de que se trate.
Las personas morales y fideicomisos autorizados para
recibir donativos deducibles de impuestos podrán obtener ingresos por
actividades distintas a los fines para los que fueron autorizados para recibir
dichos donativos, siempre que no excedan del 10% de sus ingresos totales en el
ejercicio de que se trate. No se consideran ingresos por actividades distintas
a los referidos fines los que reciban por donativos; apoyos o estímulos
proporcionados por la Federación, entidades federativas, o municipios;
enajenación de bienes de su activo fijo o intangible; cuotas de sus
integrantes; cuotas de recuperación; intereses; derechos patrimoniales
derivados de la propiedad intelectual; uso o goce temporal de bienes inmuebles,
o rendimientos obtenidos de acciones u otros títulos de crédito, colocados
entre el gran público inversionista en los términos que mediante reglas de
carácter general establezca el Servicio de Administración Tributaria. En el
caso de que sus ingresos no relacionados con los fines para los que fueron
autorizadas para recibir dichos donativos excedan del límite señalado, las
citadas personas morales deberán determinar el impuesto que corresponda a dicho
excedente, de conformidad con lo establecido en el párrafo anterior.
Párrafo reformado DOF 30-11-2016
En el caso de que las personas a que se refiere el
párrafo anterior obtengan ingresos por actividades distintas a los fines para
los que fueron autorizados para recibir donativos en un porcentaje mayor al 50%
del total de los ingresos del ejercicio fiscal, perderán la autorización
correspondiente, lo cual determinará mediante resolución emitida y notificada
por la autoridad fiscal. Si dentro de los doce meses siguientes a la pérdida de
la autorización para recibir donativos deducibles del impuesto sobre la renta
no se obtiene nuevamente dicha autorización, deberán destinar todo su patrimonio
a otra donataria autorizada para recibir donativos deducibles.
Párrafo adicionado DOF 08-12-2020
Artículo 81. Las personas morales a que se refiere este Título, a
excepción de las señaladas en el artículo 86 de esta Ley, de las sociedades de
inversión especializadas en fondos para el retiro y de las personas morales
autorizadas para recibir donativos deducibles en los términos de la misma,
serán contribuyentes del impuesto sobre la renta cuando perciban ingresos de
los mencionados en los Capítulos IV, VI y VII del Título IV de esta Ley, con
independencia de que los ingresos a que se refiere el citado Capítulo VI se
perciban en moneda extranjera. Para estos efectos, serán aplicables las
disposiciones contenidas en dicho Título y la retención que en su caso se
efectúe tendrá el carácter de pago definitivo.
Los Fondos de inversión de deuda y de renta variable a
que se refiere el artículo 87 de esta Ley no serán contribuyentes del impuesto
sobre la renta cuando perciban ingresos de los señalados en el Capítulo VI del
Título IV de la presente Ley y tanto éstos como sus integrantes o accionistas
estarán a lo dispuesto en los artículos 87, 88 y 89 de la misma Ley.
Párrafo reformado DOF 18-11-2015
Artículo 82. Las personas morales con fines no lucrativos a que se
refieren las fracciones VI, X, XI, XII, XIX, XX y XXV del artículo 79 de esta
Ley, deberán cumplir con lo siguiente para ser consideradas como instituciones
autorizadas para recibir donativos deducibles en los términos de esta Ley.
I. Que se
constituyan y funcionen exclusivamente como entidades que se dediquen a
cualquiera de los fines a que se refieren las fracciones VI, X, XI, XII, XIX,
XX y XXV del artículo 79 de esta Ley y que, de conformidad con las reglas de
carácter general que al efecto expida el Servicio de Administración Tributaria,
una parte sustancial de sus ingresos la reciban de fondos proporcionados por la
Federación, entidades federativas o municipios, de donativos o de aquellos
ingresos derivados de la realización de su objeto social. Tratándose de
aquellas entidades a cuyo favor se emita una autorización para recibir
donativos deducibles en el extranjero conforme a los tratados internacionales,
además de cumplir con lo anterior, no podrán recibir ingresos en cantidades
excesivas por concepto de arrendamiento, intereses, dividendos o regalías o por
actividades no relacionadas con su objeto social.
II. Que las
actividades que desarrollen tengan como finalidad primordial el cumplimiento de
su objeto social, sin que puedan intervenir en campañas políticas o
involucrarse en actividades de propaganda.
III. Las
personas a que se refiere este artículo podrán realizar actividades destinadas
a influir en la legislación, siempre que dichas actividades no sean remuneradas
y no se realicen en favor de personas o sectores que les hayan otorgado
donativos y además, proporcionen al Servicio de Administración Tributaria la
siguiente información:
a) La materia
objeto de estudio.
b) La
legislación que se pretende promover.
c) Los
legisladores con quienes se realice las actividades de promoción.
d) El sector
social, industrial o rama de la actividad económica que se beneficiaría con la
propuesta.
e) Los
materiales, datos o información que aporten a los órganos legislativos,
claramente identificables en cuanto a su origen y autoría.
f) Las
conclusiones.
g) Cualquier
otra información relacionada que determine el Servicio de Administración
Tributaria mediante reglas de carácter general.
IV. Que
destinen sus activos exclusivamente a los fines propios de su objeto social,
por el cual hayan sido autorizadas para recibir donativos deducibles del
impuesto sobre la renta, no pudiendo otorgar beneficios sobre el remanente
distribuible a persona física alguna o a sus integrantes personas físicas o
morales, salvo que se trate, en este último caso, de alguna de las personas
morales o fideicomisos autorizados para recibir donativos deducibles de
impuestos o se trate de la remuneración de servicios efectivamente recibidos.
Fracción reformada DOF 08-12-2020
V. Que al
momento de su liquidación o cambio de residencia para efectos fiscales,
destinen la totalidad de su patrimonio a entidades autorizadas para recibir
donativos deducibles.
En los casos de revocación de la autorización o cuando
su vigencia haya concluido y no se haya obtenido nuevamente o renovado la
misma, dentro de los doce meses siguientes a la fecha en que ocurran dichos
eventos, se deberá destinar la totalidad de su patrimonio a otras entidades
autorizadas para recibir donativos deducibles del impuesto sobre la renta
quienes deberán emitir el comprobante fiscal correspondiente por concepto de
donativo, el cual no será deducible para efectos del impuesto sobre la renta.
Párrafo reformado DOF 08-12-2020
Las personas morales a que se refiere el párrafo anterior
tributarán en los términos y condiciones establecidos en el Título II de esta
Ley. Los recursos que se deban destinar a otras donatarias autorizadas deberán
ser transmitidos dentro del plazo de 6 meses contados a partir de que concluyó
el plazo para obtener nuevamente la autorización cuando fue revocada o de la
conclusión de la vigencia de la autorización.
Párrafo reformado DOF 08-12-2020
Lo dispuesto en el párrafo anterior también será
aplicable en caso de que a una donataria autorizada se le apruebe su solicitud
de cancelación de su autorización, quien deberá destinar todo su patrimonio a
otra donataria autorizada para recibir donativos deducibles del impuesto sobre
la renta y ésta última deberá emitir el comprobante fiscal correspondiente por
concepto de donativo, el cual no será deducible para efectos del impuesto sobre
la renta.
Párrafo adicionado DOF 08-12-2020
Fracción reformada DOF 30-11-2016
VI. Mantener a
disposición del público en general la información relativa a la autorización
para recibir donativos, al uso y destino que se haya dado a los donativos
recibidos y su patrimonio, así como al cumplimiento de sus obligaciones
fiscales, y en su caso, la información a que se refiere la fracción II de este artículo, por el plazo y
en los términos que mediante reglas de carácter general fije el Servicio de
Administración Tributaria.
En los casos en que a las personas morales con fines
no lucrativos o a los fideicomisos se les haya revocado o no se les haya
renovado la autorización para recibir donativos derivado del incumplimiento de
la obligación de poner a disposición del público en general la información a
que se refiere el párrafo anterior, deberán cumplir con la obligación a que se
refiere dicho párrafo dentro del mes siguiente a aquel en que surtió efectos la
notificación de la revocación o a aquél en el que se haya publicado la no
renovación de la autorización, a través de los medios y formatos establecidos
en las disposiciones de carácter general que para tal efecto emita la autoridad
fiscal, y solo estarán en posibilidad de obtener una nueva autorización una vez
que cumplan con la obligación omitida.
Fracción reformada DOF 30-11-2016,
08-12-2020
VII. Informar a
las autoridades fiscales, a través de los medios y formatos electrónicos, que señale
el Servicio de Administración Tributaria mediante reglas de carácter general, a
más tardar el día 17 del mes inmediato posterior a aquel en el que se realice
la operación, de los donativos recibidos en efectivo en moneda nacional o
extranjera, así como en piezas de oro o de plata, cuyo monto sea superior a
cien mil pesos.
La
información a que se refiere esta fracción estará a disposición de la
Secretaría de Hacienda y Crédito Público, en los términos del segundo párrafo
del artículo 69 del Código Fiscal de la Federación.
VIII. Informar a
las autoridades fiscales, en los términos que señale el Servicio de
Administración Tributaria mediante reglas de carácter general, de las
operaciones que celebren con partes relacionadas y de los servicios que reciban
o de los bienes que adquieran, de personas que les hayan otorgado donativos
deducibles en los términos de esta Ley.
IX. Que cuenten
con las estructuras y procesos de un gobierno corporativo, para la dirección y
el control de la persona moral, de conformidad con las reglas de carácter
general que emita el Servicio de Administración Tributaria.
Lo
dispuesto en esta fracción sólo será aplicable tratándose de personas morales
con fines no lucrativos con ingresos totales anuales de más de 100 millones de
pesos o que tengan un patrimonio de más de 500 millones de pesos.
Fracción adicionada DOF 30-11-2016
Los requisitos a que se refieren las fracciones IV y V
de este artículo, deberán constar en la escritura constitutiva de la persona
moral de que se trate con el carácter de irrevocable.
En todos los casos, las donatarias autorizadas deberán
cumplir con los requisitos de control administrativo y de transparencia, que al
efecto establezcan el Reglamento de esta Ley y las reglas de carácter general
que al efecto emita el Servicio de Administración Tributaria.
El Servicio de Administración Tributaria podrá revocar
o no renovar las autorizaciones para recibir donativos deducibles en los
términos de esta Ley, a las entidades que incumplan los requisitos o las obligaciones
que en su carácter de donatarias autorizadas deban cumplir conforme a las
disposiciones fiscales, mediante resolución notificada personalmente. Dicho
órgano desconcentrado publicará los datos de tales entidades en el Diario
Oficial de la Federación y en su página de Internet.
Para los efectos del párrafo anterior, tratándose de
las personas a las que se refieren los artículos 79, fracciones VI, X, XII y
XXV, y 84 de esta Ley, salvo las instituciones de asistencia o de beneficencia
autorizadas por las leyes de la materia, a las que se les revoque o no se les
renueve la autorización, a partir de que surta sus efectos la notificación de
la resolución correspondiente y con motivo de ésta, podrán entregar donativos a
donatarias autorizadas sin que les sea aplicable el límite establecido por el
artículo 27, fracción I, último párrafo de esta Ley durante el ejercicio en el
que se les revoque o no se les renueve la autorización.
Las fundaciones, patronatos y demás entidades cuyo
propósito sea apoyar económicamente las actividades de personas morales
autorizadas para recibir donativos deducibles en los términos de esta Ley,
podrán obtener donativos deducibles, siempre que cumplan con los siguientes
requisitos:
a) Destinen
la totalidad de sus ingresos a los fines para los que fueron creadas.
b) Los
establecidos en este artículo, salvo lo dispuesto en su fracción I.
El requisito a que se refiere el inciso a) del párrafo
anterior deberá constar en la escritura constitutiva de la persona moral de que
se trate con el carácter de irrevocable.
Artículo 82-Bis. Las instituciones autorizadas para recibir
donativos deducibles en términos de esta Ley, que se encuentren en los
supuestos a que se refiere el artículo 82, fracción V, del presente
ordenamiento, deberán informar a las autoridades fiscales el importe y los
datos de identificación de los bienes, así como los de identidad de las
personas morales a quienes se destinó la totalidad de su patrimonio, a través
de los medios y formatos que para tal efecto emita el Servicio de
Administración Tributaria mediante reglas de carácter general. En caso de no
cumplir con lo anterior, el valor de los bienes susceptibles de transmisión se
considerará como ingreso omitido y se deberá pagar el impuesto sobre la renta
de conformidad con lo dispuesto en el Título II, de esta Ley.
La entidad autorizada para
recibir donativos deducibles que reciba el patrimonio a que se refiere el
párrafo anterior, tendrá que emitir el comprobante fiscal correspondiente por
concepto de donativo conforme a las reglas de carácter general que al efecto
emita el Servicio de Administración Tributaria. En este caso, el donativo no
será deducible para efectos del impuesto sobre la renta.
Artículo adicionado DOF 30-11-2016
Artículo 82-Ter. Se deroga.
Artículo adicionado DOF 30-11-2016.
Derogado DOF 08-12-2020
Artículo 82-Quáter.
Para los efectos del párrafo cuarto del artículo 82 de esta Ley, se estará a lo
siguiente:
A. Son causales de revocación
de la autorización para recibir donativos deducibles las cuales darán inicio al
procedimiento de revocación:
I. Destinar su activo a fines
distintos del objeto social por el que obtuvieron la autorización
correspondiente, conforme a la fracción I del artículo 82 de esta Ley.
II. No expedir el comprobante fiscal que ampare los
donativos recibidos o expedir comprobantes fiscales de donativos deducibles
para amparar cualquier otra operación distinta de la donación.
III. Cuando con motivo del ejercicio de las facultades de
comprobación o de los expedientes, documentos o bases de datos del Servicio de
Administración Tributaria o aquellas a las que tenga acceso o tenga en su poder
dicho órgano administrativo desconcentrado, se conozca la actualización de
cualquier hecho que constituya incumplimiento a las obligaciones o requisitos
que establezcan las disposiciones fiscales a cargo de las donatarias
autorizadas.
IV. Estar incluida en la lista a que se refiere el cuarto
párrafo del artículo 69-B del Código Fiscal de la Federación.
V. Si el o los representantes legales, socios o asociados
o cualquier integrante del Consejo Directivo o de Administración de una
organización civil o fideicomiso que haya sido revocada su autorización por
ubicarse en el supuesto referido en la fracción anterior, dentro de los últimos
cinco años, forman parte de las organizaciones civiles y fideicomisos
autorizados para recibir donativos deducibles durante la vigencia de la misma.
VI. Encontrarse en el supuesto establecido en el último
párrafo del artículo 80 de esta Ley.
Las organizaciones civiles y fideicomisos cuya autorización para
recibir donativos deducibles para efectos del impuesto sobre la renta haya sido
revocada por las causales a que se refieren las fracciones I a V de este
apartado, no podrán obtener nuevamente la autorización para recibir donativos
deducibles, hasta en tanto no corrijan el motivo por el cual fueron revocadas o
en su caso paguen el impuesto sobre la renta correspondiente.
En el caso de que las organizaciones civiles y fideicomisos cuya
autorización para recibir donativos deducibles para efectos del impuesto sobre
la renta hayan sido revocadas en una ocasión por la causal a que se refiere la
fracción VI de este apartado, no podrán obtener nuevamente la autorización y
deberán destinar todo su patrimonio a otra donataria autorizada para recibir
donativos deducibles del impuesto sobre la renta.
B. El Servicio de Administración Tributaria realizará el
procedimiento de revocación de la autorización para recibir donativos
deducibles del impuesto sobre la renta conforme a lo siguiente:
I. Emitirá oficio a través del
cual dé a conocer a la donataria autorizada la causal de revocación que se
configure conforme al apartado anterior, otorgándole un plazo de diez días
hábiles siguientes a aquél en el que surta efectos la notificación de dicho
oficio, a fin de que manifieste ante la autoridad fiscal lo que a su derecho
convenga, aportando la documentación e información que considere pertinente
para desvirtuar la misma.
Se
admitirá toda clase de pruebas, excepto la testimonial y la confesional a cargo
de las autoridades. Las pruebas se valorarán en los términos del artículo 130
del Código Fiscal de la Federación.
II. Agotado el plazo a que se
refiere la fracción anterior, la autoridad fiscal emitirá la resolución
correspondiente en un plazo que no excederá de tres meses, contados a partir
del día siguiente a aquél en que se agotó el referido plazo.
III. La resolución señalada en la
fracción que antecede se notificará de conformidad con las disposiciones
fiscales aplicables.
Artículo adicionado DOF 08-12-2020
Artículo 83. Las asociaciones o sociedades civiles, que se
constituyan con el propósito de otorgar becas podrán obtener autorización para
recibir donativos deducibles, siempre que cumplan con los siguientes
requisitos:
I. Que las
becas se otorguen para realizar estudios en instituciones de enseñanza que
tengan autorización o reconocimiento de validez oficial de estudios en los
términos de la Ley General de Educación o, cuando se trate de instituciones del
extranjero, éstas se encuentren reconocidas por el Consejo Nacional de Ciencia
y Tecnología.
II. Que las
becas se otorguen mediante concurso abierto al público en general y su
asignación se base en datos objetivos relacionados con la capacidad académica
del candidato.
III. Que cumplan
con los requisitos a los que se refieren las fracciones II a VIII del artículo
82 de esta Ley.
Artículo 84. Se deroga.
Artículo derogado DOF 08-12-2020
Artículo 85. Para los efectos de los artículos 80 y 88 de esta Ley,
los fondos de inversión de renta variable que distribuyan dividendos percibidos
de otras sociedades deberán llevar una cuenta de dividendos netos.
Párrafo reformado DOF 18-11-2015
La cuenta a que se refiere este artículo se integrará
con los dividendos percibidos de otras personas morales residentes en México y
se disminuirá con el importe de los pagados a sus integrantes, provenientes de
dicha cuenta. Para los efectos de este artículo, no se incluyen los dividendos
en acciones o los reinvertidos en la suscripción o aumento de capital de la
misma persona que los distribuye, dentro de los treinta días siguientes a su
distribución. El saldo de la cuenta prevista en este artículo se actualizará en
los términos del artículo 77 de esta Ley.
Artículo 86. Las personas morales a que se refiere este Título,
además de las obligaciones establecidas en otros artículos de esta Ley, tendrán
las siguientes:
I. Llevar
los sistemas contables de conformidad con el Código Fiscal de la Federación, su
Reglamento y el Reglamento de esta Ley y efectuar registros en los mismos
respecto de sus operaciones.
II. Expedir y
recabar los comprobantes fiscales que acrediten las enajenaciones y erogaciones
que efectúen, los servicios que presten o el otorgamiento del uso o goce
temporal de bienes.
III. Presentar
en las oficinas autorizadas a más tardar el día 15 de febrero de cada año,
declaración en la que se determine el remanente distribuible y la proporción
que de este concepto corresponda a cada integrante.
IV. Proporcionar
a sus integrantes constancia y comprobante fiscal en el que se señale el monto
del remanente distribuible, en su caso.
V. Expedir
las constancias y el comprobante fiscal y proporcionar la información a que se
refiere la fracción III del artículo 76 de esta Ley; retener y enterar el
impuesto a cargo de terceros y exigir el comprobante respectivo, cuando hagan
pagos a terceros y estén obligados a ello en los términos de esta Ley. Deberán
cumplir con las obligaciones a que se refiere el artículo 99 de la misma Ley,
cuando hagan pagos que a la vez sean ingresos en los términos del Título IV,
Capítulo I del presente ordenamiento.
Fracción reformada DOF 18-11-2015
Los sindicatos obreros y los organismos que los
agrupen quedan relevados de cumplir con las obligaciones establecidas en las
fracciones I y II de este artículo, excepto por aquellas actividades que de
realizarse por otra persona quedarían comprendidas en el artículo 16 del Código
Fiscal de la Federación. Quedan relevadas de cumplir con las obligaciones a que
se refieren las fracciones III y IV de este artículo las personas señaladas en
el artículo 79 de esta Ley que no determinen remanente distribuible.
Las personas a que se refieren las fracciones V a XIX
y XXV del artículo 79 de esta Ley, así como las personas morales o fideicomisos
autorizados para recibir donativos deducibles de impuestos y los fondos de
inversión a que se refiere este Título, presentarán declaración anual en la que
informarán a las autoridades fiscales de los ingresos obtenidos y de las
erogaciones efectuadas. Dicha declaración deberá presentarse a más tardar el
día 15 de febrero de cada año.
Párrafo reformado DOF 18-11-2015
Los partidos y asociaciones políticas, legalmente
reconocidos, tendrán las obligaciones de retener y enterar el impuesto y exigir
comprobantes fiscales, cuando hagan pagos a terceros y estén obligados a ello
en términos de ley, así como llevar contabilidad y conservarla de conformidad
con el Código Fiscal de la Federación y su Reglamento.
La Federación, las entidades federativas, los municipios
y las instituciones que por Ley estén obligadas a entregar al Gobierno Federal
el importe íntegro de su remanente de operación, sólo tendrán las obligaciones
de retener y enterar el impuesto, emitir comprobantes fiscales por las
contribuciones, productos y aprovechamientos que cobran así como por los apoyos
o estímulos que otorguen y exigir comprobantes fiscales cuando hagan pagos a
terceros y estén obligados a ello en términos de ley.
Párrafo reformado DOF 30-11-2016
Los organismos descentralizados que no tributen
conforme al Título II de esta Ley, sólo tendrán las obligaciones a que se
refiere el párrafo anterior.
Los partidos y asociaciones políticas, legalmente
reconocidos, la Federación, las entidades federativas, los municipios y las
instituciones que por Ley estén obligadas a entregar al Gobierno Federal el
importe íntegro de su remanente de operación y los organismos descentralizados
que no tributen conforme al Título II de esta Ley están obligados a expedir y
entregar comprobantes fiscales a las personas que reciban pagos por concepto de
salarios y, en general, por la prestación de un servicio personal subordinado,
en la fecha en que se realice la erogación correspondiente, los cuales podrán
utilizarse como constancia o recibo de pago para efectos de la legislación
laboral a que se refieren los artículos 132 fracciones VII y VIII, y 804 primer
párrafo fracciones II y IV de la Ley Federal del Trabajo.
Cuando se disuelva una persona moral de las
comprendidas en este Título, las obligaciones a que se refieren las fracciones
III y IV de este artículo, se deberán cumplir dentro de los tres meses
siguientes a la disolución.
Artículo 87. Los fondos de inversión en instrumentos de deuda a
que se refiere la Ley de Fondos de
Inversión no serán contribuyentes del impuesto sobre la renta y sus integrantes
o accionistas acumularán los ingresos por intereses devengados a su favor por
dichos fondos.
Los ingresos por intereses devengados acumulables a
que se refiere el párrafo anterior serán en términos reales para las personas
físicas y nominales para las morales, y serán acumulables en el ejercicio en el
que los devengue dicho fondo, en la cantidad que de dichos intereses
corresponda a cada uno de ellos de acuerdo a su inversión.
Los intereses devengados a favor de los accionistas de
los fondos de inversión en
instrumentos de deuda serán la suma de las ganancias percibidas por la
enajenación de sus acciones emitidas por dichos fondos y el incremento de la valuación de sus inversiones en el mismo
fondo al último día hábil del ejercicio de que se trate, en términos reales
para personas físicas y nominales para personas morales, determinados ambos
conforme se establece en el artículo 88 de esta Ley.
Las personas morales integrantes de dichos fondos estarán a lo dispuesto en el Capítulo
III del Título II de esta Ley respecto de las inversiones efectuadas en este
tipo de fondos.
Los fondos de inversión a que se refiere el primer
párrafo de este artículo deberán enterar mensualmente, a más tardar el día 17
del mes siguiente al mes en que se devengue el interés gravado, el impuesto a
que se refiere el artículo 54 de esta Ley, que corresponda a sus integrantes o
accionistas. Las personas que paguen intereses a dichos fondos quedarán
relevadas de efectuar la retención a que se refiere el artículo 54 de esta Ley.
El impuesto mensual a que se refiere el párrafo
anterior, será la suma del impuesto diario que corresponda a la cartera de
inversión sujeto del impuesto del fondo de inversión y se calculará como sigue:
en el caso de títulos cuyo rendimiento sea pagado íntegramente en la fecha de
vencimiento, lo que resulte de multiplicar el número de títulos gravados de
cada especie por su costo promedio ponderado de adquisición multiplicado por la
tasa a que se refiere el artículo mencionado en el párrafo anterior y, en el
caso de los demás títulos a que se refiere el artículo 8 de esta Ley, lo que
resulte de multiplicar el número de títulos gravados de cada especie por su
valor nominal, multiplicado por la misma tasa.
El impuesto enterado por los fondos de inversión en los términos del
párrafo anterior, será acreditable para sus integrantes o accionistas
contribuyentes del Título II y Título IV de la Ley contra sus pagos
provisionales o definitivos, siempre que acumulen a sus demás ingresos del
ejercicio los intereses gravados devengados por sus inversiones en dichos fondos de inversión.
Para determinar la retención acreditable para cada
integrante o accionista, los fondos de inversión en instrumentos de deuda
deberán dividir el impuesto correspondiente a los intereses devengados gravados
diarios entre el número de acciones en circulación al final de cada día. El
monto del impuesto diario por acción se multiplicará por el número de acciones
en poder del accionista al final de cada día de que se trate. Para tal efecto,
la cantidad del impuesto acreditable deberá quedar asentada en el estado de
cuenta, constancia, ficha o aviso de liquidación que al efecto se expida.
Los fondos de inversión de renta variable a que se
refiere la Ley de Fondos de Inversión, no serán contribuyentes del impuesto
sobre la renta y sus integrantes o accionistas aplicarán a los rendimientos de
estos fondos el régimen que le
corresponda a sus componentes de interés, de dividendos y de ganancia por enajenación
de acciones, según lo establecido en este artículo y demás aplicables de esta
Ley.
Las personas físicas integrantes de los fondos referidos en el párrafo anterior
acumularán solamente los intereses reales gravados devengados a su favor por el
mismo fondo, provenientes de los títulos de deuda que contenga la cartera de
dicho fondo, de acuerdo a la inversión en ella que corresponda a cada uno de sus
integrantes.
La parte correspondiente a los intereses reales del
ingreso diario devengado en el ejercicio a favor del accionista persona física,
se calculará multiplicando el ingreso determinado conforme al artículo 88 de
esta Ley por el factor que resulte de dividir los intereses gravados devengados
diarios a favor del fondo de inversión entre los ingresos totales diarios del
mismo fondo durante la tenencia de
las acciones por parte del accionista. Los ingresos totales incluirán la
valuación de la tenencia accionaria de la cartera de la sociedad en la fecha de
enajenación de la acción emitida por el mismo fondo o al último día hábil del ejercicio que se trate, según
corresponda.
Las personas morales integrantes o accionistas de los
fondos de inversión de renta variable, determinarán los intereses devengados a
su favor por sus inversiones en dichos fondos sumando las ganancias percibidas por la enajenación de sus
acciones y el incremento de la valuación de sus inversiones en el mismo fondo al último día hábil del
ejercicio de que se trate, en términos nominales, determinados ambos tipos de
ingresos conforme se establece en el artículo 88 de esta Ley, y estarán a lo
dispuesto en el Capítulo III del Título II de la misma Ley respecto de las
inversiones efectuadas en este tipo de fondos.
Los fondos de inversión de renta variable efectuarán
mensualmente la retención del impuesto en los términos del artículo 54 de esta
Ley por el total de los intereses gravados que se devenguen a su favor y lo
enterarán a más tardar el día 17 del mes siguiente al mes en que se devenguen.
Para estos efectos, estarán a lo dispuesto en el sexto párrafo de este
artículo. La retención correspondiente a cada integrante del fondo se
determinará conforme a lo establecido en el octavo párrafo de este artículo y
será acreditable para sus integrantes o accionistas contribuyentes del Título
II y Título IV de la Ley contra sus pagos provisionales o definitivos, siempre
que acumulen a sus demás ingresos del ejercicio los intereses gravados
devengados por sus inversiones en dichos fondos de inversión. Las personas que
paguen intereses a dichos fondos quedarán relevadas de efectuar la retención a
que se refiere el artículo 54 de esta Ley.
Los integrantes o accionistas de los fondos de
inversión a que se refiere este artículo y el artículo 88 del presente
ordenamiento, que sean personas físicas, podrán en su caso deducir la pérdida
que se determine conforme al quinto párrafo del artículo 134 de esta Ley, en
los términos de dicha disposición.
Artículo reformado DOF 18-11-2015
Artículo 88. Los integrantes o accionistas personas físicas de los
fondos de inversión en instrumentos de deuda o de los fondos de inversión de
renta variable acumularán en el ejercicio los ingresos que obtengan por los
intereses generados por los instrumentos gravados que formen parte de la
cartera de dichos fondos conforme al artículo 87 de esta Ley. Dicho ingreso será calculado por las
operadoras, distribuidoras o administradoras de los fondos, según corresponda.
Párrafo reformado DOF 18-11-2015
Las personas físicas que obtengan ganancias derivadas
de la enajenación de acciones emitidas por fondos de inversión de renta
variable, cuyo objeto sea la adquisición y venta de activos objeto de inversión
con recursos provenientes de la colocación de las acciones representativas de
su capital social entre el público inversionista, previstas en la Ley de Fondos de Inversión, determinarán sumando o
disminuyendo, según corresponda, la ganancia o pérdida obtenida en el ejercicio
que derive de la enajenación de acciones de cada fondo de inversión realizadas por dicha persona física. Dichas personas
estarán obligadas a pagar el impuesto sobre la renta que resulte de aplicar la
tasa del 10% a la ganancia obtenida en el ejercicio. El impuesto pagado se
considerará como definitivo.
Párrafo reformado DOF 18-11-2015
La ganancia o pérdida obtenida por el contribuyente,
derivada de la enajenación de acciones de cada fondo de inversión, se determinará disminuyendo al precio de los activos
objeto de inversión de renta variable en la fecha de venta de las acciones de
dicho fondo de inversión, el precio
de los activos objeto de inversión de renta variable en la fecha de
adquisición, actualizado por el periodo comprendido desde la fecha de
adquisición y hasta la fecha de la venta.
Párrafo reformado DOF 18-11-2015
Cuando el precio de adquisición actualizado de los
activos objeto de inversión de renta variable sea mayor al precio de los
activos objeto de inversión de renta variable en la fecha de venta, la
diferencia será el monto de la pérdida en la operación de que se trate.
En el caso de fondos de inversión que emitan acciones
que representen además de los valores a que se refiere el primer párrafo del
artículo 129 de esta Ley, otros activos objeto de inversión distintos a éstos,
referidos a divisas, tasas, créditos, bienes objeto de comercio, entre otros,
tanto el precio de adquisición de los activos objeto de inversión de renta
variable como el de enajenación no deberán contener la proporción de la
ganancia por enajenación de acciones correspondiente a dichos bienes, los
cuales estarán a lo dispuesto en el artículo 87 de esta Ley.
Párrafo reformado DOF 18-11-2015
Cuando los contribuyentes generen pérdida en el
ejercicio por las enajenaciones de las acciones a que se refiere el párrafo
segundo, podrán disminuir dicha pérdida únicamente contra el monto de la
ganancia que en su caso obtenga el mismo contribuyente en el ejercicio o en los
diez siguientes por las enajenaciones a que se refiere el segundo párrafo de
este artículo. El monto a disminuir por las pérdidas a que se refiere este
párrafo no podrá exceder el monto de dichas ganancias.
Para los efectos del párrafo anterior, las pérdidas se
actualizarán por el periodo comprendido desde el mes en que ocurrieron y hasta
el mes de cierre del mismo ejercicio. La parte de las pérdidas que no se
disminuyan en un ejercicio se actualizará por el periodo comprendido desde el
mes del cierre del ejercicio en el que se actualizó por última vez y hasta el
último mes del ejercicio inmediato anterior a aquél en el que se disminuirá.
Cuando el contribuyente no disminuya la pérdida fiscal
durante un ejercicio pudiendo haberlo hecho conforme a este artículo, perderá
el derecho a hacerlo en los ejercicios posteriores y hasta por la cantidad en
la que pudo haberlo efectuado.
Los contribuyentes deberán presentar declaración por
las ganancias obtenidas conforme a los párrafos anteriores y efectuar, en su
caso, el pago del impuesto correspondiente al ejercicio, la cual deberá
entregarse de manera conjunta a la declaración anual.
En el caso de los intereses reales acumulables
devengados por fondos de inversión en renta variable, la ganancia por
enajenación de acciones así como el incremento en la valuación real de la
tenencia de acciones al final del ejercicio, se determinarán conforme a lo
establecido para los fondos de inversión
de deuda, pero sólo por la proporción que representen los ingresos por
dividendos percibidos e intereses gravados del fondo, respecto del total de sus
ingresos durante la tenencia de las acciones por parte del accionista o
integrante contribuyente del impuesto.
Párrafo reformado DOF 18-11-2015
A través de reglas de carácter general, el Servicio de
Administración Tributaria podrá emitir disposiciones que simplifiquen la
determinación del interés acumulable por parte de los integrantes de fondos de
inversión de renta variable, a partir de una fórmula de prorrateo de los
ingresos totales del fondo respecto de los intereses gravados devengados a su
favor por títulos de deuda y de las ganancias registradas por tenencia de
acciones exentas del impuesto sobre la renta durante el periodo de tenencia de
las acciones por parte de sus integrantes. El Servicio de Administración
Tributaria podrá emitir en reglas de carácter general una mecánica de prorrateo
para simplificar el cálculo de interés gravable para los fondos de inversión en
instrumento de deuda que tengan en su portafolio títulos exentos.
Párrafo reformado DOF 18-11-2015
Artículo 89. Los fondos de inversión en instrumentos de deuda y los
fondos de inversión de renta variable a que se refieren los artículos 87 y 88
de esta Ley, a través de sus operadores, administradores o distribuidores,
según se trate, a más tardar el 15 de febrero de cada año, deberán proporcionar
a los integrantes o accionistas de las mismas, así como a los intermediarios
financieros que lleven la custodia y administración de las inversiones,
constancia en la que se señale la siguiente información:
Párrafo reformado DOF 18-11-2015
I. El monto
de los intereses nominales y reales devengados por el fondo a favor de cada uno
de sus accionistas durante el ejercicio.
Fracción reformada DOF 18-11-2015
II. El monto
de las retenciones que le corresponda acreditar al integrante que se trate, en
los términos del artículo 87 de esta Ley y, en su caso, el monto de la pérdida
deducible en los términos del artículo 88 de la misma.
Los fondos de inversión a que se refiere este
artículo, a través de sus operadores, administradores o distribuidores, según
se trate, deberán informar al Servicio de Administración Tributaria, a más
tardar el 15 de febrero de cada año, los datos contenidos en las constancias,
así como el saldo promedio mensual de las inversiones en el fondo en cada uno
de los meses del ejercicio, por cada una de las personas a quienes se les
emitieron, y la demás información que se establezca en la forma que al efecto
emita el Servicio de Administración Tributaria y serán responsables solidarios
por las omisiones en el pago de impuestos en que pudieran incurrir los
integrantes o accionistas de dichos fondos, cuando la información contenida en
las constancias sea incorrecta o incompleta.
Párrafo reformado DOF 18-11-2015
TÍTULO IV
DE LAS PERSONAS FÍSICAS
DISPOSICIONES GENERALES
Artículo 90. Están obligadas al pago del impuesto establecido en
este Título, las personas físicas residentes en México que obtengan ingresos en
efectivo, en bienes, devengado cuando en los términos de este Título señale, en
crédito, en servicios en los casos que señale esta Ley, o de cualquier otro
tipo. También están obligadas al pago del impuesto, las personas físicas
residentes en el extranjero que realicen actividades empresariales o presten
servicios personales independientes, en el país, a través de un establecimiento
permanente, por los ingresos atribuibles a éste.
Las personas físicas residentes en México están
obligadas a informar, en la declaración del ejercicio, sobre los préstamos, los
donativos y los premios, obtenidos en el mismo, siempre que éstos, en lo
individual o en su conjunto, excedan de $600,000.00.
Las personas físicas residentes en México deberán
informar a las autoridades fiscales, a través de los medios y formatos que para
tal efecto señale el Servicio de Administración Tributaria mediante reglas de
carácter general, respecto de las cantidades recibidas por los conceptos
señalados en el párrafo anterior al momento de presentar la declaración anual
del ejercicio fiscal en el que se obtengan.
No se consideran ingresos obtenidos por los
contribuyentes, los rendimientos de bienes entregados en fideicomiso, en tanto
dichos rendimientos únicamente se destinen a fines científicos, políticos o
religiosos o a los establecimientos de enseñanza y a las instituciones de
asistencia o de beneficencia, señalados en la fracción III del artículo 151 de
esta Ley, o a financiar la educación hasta nivel licenciatura de sus
descendientes en línea recta, siempre que los estudios cuenten con
reconocimiento de validez oficial.
Tampoco se consideran ingresos para efectos de este
Título, los ingresos por apoyos económicos o monetarios que reciban los
contribuyentes a través de los programas previstos en los presupuestos de
egresos, de la Federación o de las Entidades Federativas.
Párrafo adicionado DOF 30-11-2016
Para efectos del párrafo anterior, en el caso de que
los recursos que reciban los contribuyentes se destinen al apoyo de actividades
empresariales, los programas correspondientes deberán contar con un padrón de
beneficiarios; los recursos se deberán distribuir a través de transferencia
electrónica de fondos a nombre de los beneficiarios quienes, a su vez, deberán
cumplir con las obligaciones que se hayan establecido en las reglas de
operación de los citados programas y deberán contar con la opinión favorable
por parte de la autoridad competente respecto del cumplimiento de obligaciones
fiscales, cuando estén obligados a solicitarla en los términos de las
disposiciones fiscales. Los gastos o erogaciones que se realicen con los apoyos
económicos a que se refiere este párrafo, que no se consideren ingresos, no
serán deducibles para efectos de este impuesto. Las dependencias o entidades,
federales o estatales, encargadas de otorgar o administrar los apoyos
económicos o monetarios, deberán poner a disposición del público en general y
mantener actualizado en sus respectivos medios electrónicos, el padrón de
beneficiarios a que se refiere este párrafo, mismo que deberá contener los
siguientes datos: nombre de la persona física beneficiaria, el monto, recurso,
beneficio o apoyo otorgado para cada una de ellas, la unidad territorial, edad
y sexo.
Párrafo adicionado DOF 30-11-2016
Cuando las personas tengan deudas o créditos, en
moneda extranjera, y obtengan ganancia cambiaria derivada de la fluctuación de
dicha moneda, considerarán como ingreso la ganancia determinada conforme a lo
previsto en el artículo 143 de esta Ley.
Se consideran ingresos obtenidos por las personas
físicas, los que les correspondan conforme al Título III de esta Ley, así como
las cantidades que perciban para efectuar gastos por cuenta de terceros, salvo
que dichos gastos sean respaldados con comprobantes fiscales a nombre de aquél
por cuenta de quien se efectúa el gasto.
Tratándose de ingresos provenientes de fuente de
riqueza ubicada en el extranjero, los contribuyentes no los considerarán para
los efectos de los pagos provisionales de este impuesto, salvo lo previsto en
el artículo 96 de esta Ley.
Las personas físicas residentes en el país que cambien
su residencia durante un año de calendario a otro país, considerarán los pagos
provisionales efectuados como pago definitivo del impuesto y no podrán presentar
declaración anual.
Los contribuyentes de este Título que celebren
operaciones con partes relacionadas, están obligados, para los efectos de esta
Ley, a determinar sus ingresos acumulables y sus deducciones autorizadas,
considerando, para esas operaciones, los precios y montos de contraprestaciones
que hubieran utilizado con o entre partes independientes en operaciones
comparables. En el caso contrario, las autoridades fiscales podrán determinar
los ingresos acumulables y las deducciones autorizadas de los contribuyentes,
mediante la determinación del precio o monto de la contraprestación en
operaciones celebradas entre partes relacionadas, considerando, para esas
operaciones, los precios y montos de contraprestaciones que hubieran utilizado
partes independientes en operaciones comparables, mediante la aplicación de los
métodos previstos en el artículo 180 de esta Ley, ya sea que éstas sean con
personas morales, residentes en el país o en el extranjero, personas físicas y
establecimientos permanentes en el país de residentes en el extranjero, así
como en el caso de las actividades realizadas a través de fideicomisos.
Se considera que dos o más personas son partes
relacionadas, cuando una participa de manera directa o indirecta en la
administración, control o capital de la otra, o cuando una persona o grupo de
personas participe, directa o indirectamente, en la administración, control o
en el capital de dichas personas, o cuando exista vinculación entre ellas de
acuerdo con la legislación aduanera.
Artículo 91. Las personas físicas podrán ser objeto del
procedimiento de discrepancia fiscal cuando se compruebe que el monto de las
erogaciones en un año de calendario sea superior a los ingresos declarados por
el contribuyente, o bien a los que le hubiere correspondido declarar.
Para tal efecto, también se considerarán erogaciones
efectuadas por cualquier persona física, las consistentes en gastos,
adquisiciones de bienes y depósitos en cuentas bancarias, en inversiones
financieras o tarjetas de crédito.
Las erogaciones referidas en el párrafo anterior se
presumirán ingresos, cuando se trate de personas físicas que no estén inscritas
en el Registro Federal de Contribuyentes, o bien, que estándolo, no presenten
las declaraciones a las que están obligadas, o que aun presentándolas, declaren
ingresos menores a las erogaciones referidas. Tratándose de contribuyentes que
tributen en el Capítulo I del Título IV de la presente Ley y que no estén
obligados a presentar declaración anual, se considerarán como ingresos
declarados los manifestados por los sujetos que efectúen la retención.
No se tomarán en consideración los depósitos que el
contribuyente efectúe en cuentas que no sean propias, que califiquen como
erogaciones en los términos de este artículo, cuando se demuestre que dicho
depósito se hizo como pago por la adquisición de bienes o de servicios, o como
contraprestación para el otorgamiento del uso o goce temporal de bienes o para
realizar inversiones financieras ni los traspasos entre cuentas del contribuyente
o a cuentas de su cónyuge, de sus ascendientes o descendientes, en línea recta
en primer grado.
Los ingresos determinados en los términos de este
artículo, netos de los declarados, se considerarán omitidos por la actividad
preponderante del contribuyente o, en su caso, otros ingresos en los términos
del Capítulo IX de este Título tratándose de préstamos y donativos que no se
declaren o se informen a las autoridades fiscales, conforme a lo previsto en
los párrafos segundo y tercero del artículo 90 de esta Ley. En el caso de que
se trate de un contribuyente que no se encuentre inscrito en el Registro
Federal de Contribuyentes, las autoridades fiscales procederán, además, a
inscribirlo en el Capítulo II, Sección I de este Título.
Para conocer el monto de las erogaciones a que se
refiere el presente artículo, las autoridades fiscales podrán utilizar
cualquier información que obre en su poder, ya sea porque conste en sus
expedientes, documentos o bases de datos, o porque haya sido proporcionada por
un tercero u otra autoridad.
Para los efectos de este artículo las autoridades
fiscales procederán como sigue:
I. Notificaran
al contribuyente, el monto de las erogaciones detectadas, la información que se
utilizó para conocerlas, el medio por el cual se obtuvo y la discrepancia
resultante.
II. Notificado
el oficio a que se refiere la fracción anterior, el contribuyente contará con
un plazo de veinte días para informar por escrito a las autoridades fiscales,
contados a partir del día siguiente a la fecha de notificación, el origen o
fuente de procedencia de los recursos con que efectuó las erogaciones
detectadas y ofrecerá, en su caso, las pruebas que estime idóneas para
acreditar que los recursos no constituyen ingresos gravados en los términos del
presente Título. Las autoridades fiscales podrán, por una sola vez, requerir
información o documentación adicional al contribuyente, la que deberá
proporcionar en el término previsto en el artículo 53, inciso c), del Código
Fiscal de la Federación.
III. Acreditada
la discrepancia, ésta se presumirá ingreso gravado y se formulará la
liquidación respectiva, considerándose como ingresos omitidos el monto de las
erogaciones no aclaradas y aplicándose la tarifa prevista en el artículo 152 de
esta Ley, al resultado así obtenido.
Artículo 92. Cuando los ingresos de las personas físicas deriven de
bienes en copropiedad, deberá designarse a uno de los copropietarios como
representante común, el cual deberá llevar los libros, expedir los comprobantes
fiscales y recabar la documentación que determinen las disposiciones fiscales,
así como cumplir con las obligaciones en materia de retención de impuestos a
que se refiere esta Ley.
Cuando dos o más contribuyentes sean copropietarios de
una negociación, se estará a lo dispuesto en el artículo 108 de esta Ley.
Los copropietarios responderán solidariamente por el
incumplimiento del representante común.
Lo dispuesto en los párrafos anteriores es aplicable a
los integrantes de la sociedad conyugal.
El representante legal de la sucesión pagará en cada
año de calendario el impuesto por cuenta de los herederos o legatarios,
considerando el ingreso en forma conjunta, hasta que se haya dado por
finalizada la liquidación de la sucesión. El pago efectuado en esta forma se
considerará como definitivo, salvo que los herederos o legatarios opten por
acumular los ingresos respectivos que les correspondan, en cuyo caso podrán
acreditar la parte proporcional de impuesto pagado.
Artículo 93. No se pagará el impuesto sobre la renta por la
obtención de los siguientes ingresos:
I. Las
prestaciones distintas del salario que reciban los trabajadores del salario
mínimo general para una o varias áreas geográficas, calculadas sobre la base de
dicho salario, cuando no excedan de los mínimos señalados por la legislación
laboral, así como las remuneraciones por concepto de tiempo extraordinario o de
prestación de servicios que se realice en los días de descanso sin disfrutar de
otros en sustitución, hasta el límite establecido en la legislación laboral,
que perciban dichos trabajadores. Tratándose de los demás trabajadores, el 50%
de las remuneraciones por concepto de tiempo extraordinario o de la prestación
de servicios que se realice en los días de descanso sin disfrutar de otros en
sustitución, que no exceda el límite previsto en la legislación laboral y sin
que esta exención exceda del equivalente de cinco veces el salario mínimo
general del área geográfica del trabajador por cada semana de servicios.
II. Por el
excedente de las prestaciones exceptuadas del pago del impuesto a que se
refiere la fracción anterior, se pagará el impuesto en los términos de este
Título.
III. Las
indemnizaciones por riesgos de trabajo o enfermedades, que se concedan de
acuerdo con las leyes, por contratos colectivos de trabajo o por contratos Ley.
IV. Las
jubilaciones, pensiones, haberes de retiro, así como las pensiones vitalicias u
otras formas de retiro, provenientes de la subcuenta del seguro de retiro o de
la subcuenta de retiro, cesantía en edad avanzada y vejez, previstas en la Ley
del Seguro Social y las provenientes de la cuenta individual del sistema de
ahorro para el retiro prevista en la Ley del Instituto de Seguridad y Servicios
Sociales de los Trabajadores del Estado, en los casos de invalidez,
incapacidad, cesantía, vejez, retiro y muerte, cuyo monto diario no exceda de
quince veces el salario mínimo general del área geográfica del contribuyente, y
el beneficio previsto en la Ley de Pensión Universal. Por el excedente se
pagará el impuesto en los términos de este Título.
V. Para
aplicar la exención sobre los conceptos a que se refiere la fracción anterior,
se deberá considerar la totalidad de las pensiones y de los haberes de retiro
pagados al trabajador a que se refiere la misma, independientemente de quien
los pague. Sobre el excedente se deberá efectuar la retención en los términos
que al efecto establezca el Reglamento de esta Ley.
VI. Los
percibidos con motivo del reembolso de gastos médicos, dentales, hospitalarios
y de funeral, que se concedan de manera general, de acuerdo con las leyes o
contratos de trabajo.
VII. Las
prestaciones de seguridad social que otorguen las instituciones públicas.
VIII. Los
percibidos con motivo de subsidios por incapacidad, becas educacionales para
los trabajadores o sus hijos, guarderías infantiles, actividades culturales y
deportivas, y otras prestaciones de previsión social, de naturaleza análoga,
que se concedan de manera general, de acuerdo con las leyes o por contratos de
trabajo.
IX. La
previsión social a que se refiere la fracción anterior es la establecida en el
artículo 7, quinto párrafo de esta Ley.
X. La
entrega de las aportaciones y sus rendimientos provenientes de la subcuenta de
vivienda de la cuenta individual prevista en la Ley del Seguro Social, de la
subcuenta del Fondo de la Vivienda de la cuenta individual del sistema de
ahorro para el retiro, prevista en la Ley del Instituto de Seguridad y
Servicios Sociales de los Trabajadores del Estado o del Fondo de la Vivienda
para los miembros del activo del Ejército, Fuerza Aérea y Armada, previsto en
la Ley del Instituto de Seguridad Social para las Fuerzas Armadas Mexicanas,
así como las casas habitación proporcionadas a los trabajadores, inclusive por
las empresas cuando se reúnan los requisitos de deducibilidad del Título II de
esta Ley o, en su caso, del presente Título.
XI. Los
provenientes de cajas de ahorro de trabajadores y de fondos de ahorro
establecidos por las empresas para sus trabajadores cuando reúnan los
requisitos de deducibilidad del Título II de esta Ley o, en su caso, del
presente Título.
XII. La cuota
de seguridad social de los trabajadores pagada por los patrones.
XIII. Los que
obtengan las personas que han estado sujetas a una relación laboral en el
momento de su separación, por concepto de primas de antigüedad, retiro e
indemnizaciones u otros pagos, así como los obtenidos con cargo a la subcuenta
del seguro de retiro o a la subcuenta de retiro, cesantía en edad avanzada y
vejez, previstas en la Ley del Seguro Social y los que obtengan los trabajadores
al servicio del Estado con cargo a la cuenta individual del sistema de ahorro
para el retiro, prevista en la Ley del Instituto de Seguridad y Servicios
Sociales de los Trabajadores del Estado, y los que obtengan por concepto del
beneficio previsto en la Ley de Pensión Universal, hasta por el equivalente a
noventa veces el salario mínimo general del área geográfica del contribuyente
por cada año de servicio o de contribución en el caso de la subcuenta del
seguro de retiro, de la subcuenta de retiro, cesantía en edad avanzada y vejez
o de la cuenta individual del sistema de ahorro para el retiro. Los años de
servicio serán los que se hubieran considerado para el cálculo de los conceptos
mencionados. Toda fracción de más de seis meses se considerará un año completo.
Por el excedente se pagará el impuesto en los términos de este Título.
XIV. Las
gratificaciones que reciban los trabajadores de sus patrones, durante un año de
calendario, hasta el equivalente del salario mínimo general del área geográfica
del trabajador elevado a 30 días, cuando dichas gratificaciones se otorguen en
forma general; así como las primas vacacionales que otorguen los patrones
durante el año de calendario a sus trabajadores en forma general y la
participación de los trabajadores en las utilidades de las empresas, hasta por
el equivalente a 15 días de salario mínimo general del área geográfica del
trabajador, por cada uno de los conceptos señalados. Tratándose de primas
dominicales hasta por el equivalente de un salario mínimo general del área
geográfica del trabajador por cada domingo que se labore.
XV. Por el
excedente de los ingresos a que se refiere la fracción anterior se pagará el
impuesto en los términos de este Título.
XVI. Las
remuneraciones por servicios personales subordinados que perciban los
extranjeros, en los siguientes casos:
a) Los agentes
diplomáticos.
b) Los agentes
consulares, en el ejercicio de sus funciones, en los casos de reciprocidad.
c) Los empleados
de embajadas, legaciones y consulados extranjeros, que sean nacionales de los
países representados, siempre que exista reciprocidad.
d) Los miembros
de delegaciones oficiales, en el caso de reciprocidad, cuando representen
países extranjeros.
e) Los miembros
de delegaciones científicas y humanitarias.
f) Los
representantes, funcionarios y empleados de los organismos internacionales con
sede u oficina en México, cuando así lo establezcan los tratados o convenios.
g) Los técnicos
extranjeros contratados por el Gobierno Federal, cuando así se prevea en los
acuerdos concertados entre México y el país de que dependan.
XVII. Los
viáticos, cuando sean efectivamente erogados en servicio del patrón y se
compruebe esta circunstancia con los comprobantes fiscales correspondientes.
XVIII. Los que
provengan de contratos de arrendamiento prorrogados por disposición de Ley.
XIX. Los
derivados de la enajenación de:
a) La casa
habitación del contribuyente, siempre que el monto de la contraprestación
obtenida no exceda de setecientas mil unidades de inversión y la transmisión se
formalice ante fedatario público. Por el excedente se determinará la ganancia y
se calcularán el impuesto anual y el pago provisional en los términos del
Capítulo IV de este Título, considerando las deducciones en la proporción que
resulte de dividir el excedente entre el monto de la contraprestación obtenida.
El cálculo y entero del impuesto que corresponda al pago provisional se
realizará por el fedatario público conforme a dicho Capítulo.
La
exención prevista en este inciso será aplicable siempre que durante los tres
años inmediatos anteriores a la fecha de enajenación de que se trate el
contribuyente no hubiere enajenado otra casa habitación por la que hubiera
obtenido la exención prevista en este inciso y manifieste, bajo protesta de
decir verdad, dichas circunstancias ante el fedatario público ante quien se
protocolice la operación.
Párrafo reformado DOF 18-11-2015
El
fedatario público deberá consultar al Servicio de Administración Tributaria a
través de la página de Internet de dicho órgano desconcentrado y de conformidad
con las reglas de carácter general que al efecto emita este último, si
previamente el contribuyente ha enajenado alguna casa habitación durante los
cinco años anteriores a la fecha de la enajenación de que se trate, por la que
hubiera obtenido la exención prevista en este inciso y dará aviso al citado
órgano desconcentrado de dicha enajenación, indicando el monto de la
contraprestación y, en su caso, del impuesto retenido.
b) Bienes
muebles, distintos de las acciones, de las partes sociales, de los títulos
valor y de las inversiones del contribuyente, cuando en un año de calendario la
diferencia entre el total de las enajenaciones y el costo comprobado de la
adquisición de los bienes enajenados, no exceda de tres veces el salario mínimo
general del área geográfica del contribuyente elevado al año. Por la utilidad
que exceda se pagará el impuesto en los términos de este Título.
XX. Los
intereses:
a) Pagados por
instituciones de crédito, siempre que los mismos provengan de cuentas de
cheques, para el depósito de sueldos y salarios, pensiones o para haberes de
retiro o depósitos de ahorro, cuyo saldo promedio diario de la inversión no
exceda de 5 salarios mínimos generales del área geográfica del Distrito
Federal, elevados al año.
b) Pagados por
sociedades cooperativas de ahorro y préstamo y por las sociedades financieras
populares, provenientes de inversiones cuyo saldo promedio diario no exceda de
5 salarios mínimos generales del área geográfica del Distrito Federal, elevados
al año.
Para
los efectos de esta fracción, el saldo promedio diario será el que se obtenga
de dividir la suma de los saldos diarios de la inversión entre el número de
días de ésta, sin considerar los intereses devengados no pagados.
XXI. Las
cantidades que paguen las instituciones de seguros a los asegurados o a sus
beneficiarios cuando ocurra el riesgo amparado por las pólizas contratadas y
siempre que no se trate de seguros relacionados con bienes de activo fijo.
Tratándose de seguros en los que el riesgo amparado sea la supervivencia del
asegurado, no se pagará el impuesto sobre la renta por las cantidades que
paguen las instituciones de seguros a sus asegurados o beneficiarios, siempre
que la indemnización se pague cuando el asegurado llegue a la edad de sesenta
años y además hubieran transcurrido al menos cinco años desde la fecha de
contratación del seguro y el momento en el que se pague la indemnización. Lo
dispuesto en este párrafo sólo será aplicable cuando la prima sea pagada por el
asegurado.
Tampoco
se pagará el impuesto sobre la renta por las cantidades que paguen las
instituciones de seguros a sus asegurados o a sus beneficiarios, que provengan
de contratos de seguros de vida cuando la prima haya sido pagada directamente
por el empleador en favor de sus trabajadores, siempre que los beneficios de
dichos seguros se entreguen únicamente por muerte, invalidez, pérdidas
orgánicas o incapacidad del asegurado para realizar un trabajo personal
remunerado de conformidad con las leyes de seguridad social y siempre que en el
caso del seguro que cubre la muerte del titular los beneficiarios de dicha
póliza sean las personas relacionadas con el titular a que se refiere la
fracción I del artículo 151 de esta Ley y se cumplan los demás requisitos
establecidos en la fracción XI del artículo 27 de la misma Ley. La exención
prevista en este párrafo no será aplicable tratándose de las cantidades que
paguen las instituciones de seguros por concepto de dividendos derivados de la
póliza de seguros o su colectividad.
No se
pagará el impuesto sobre la renta por las cantidades que paguen las
instituciones de seguros a sus asegurados o a sus beneficiarios que provengan
de contratos de seguros de vida, cuando la persona que pague la prima sea
distinta a la mencionada en el párrafo anterior y que los beneficiaros de
dichos seguros se entreguen por muerte, invalidez, pérdidas orgánicas o
incapacidad del asegurado para realizar un trabajo personal.
El
riesgo amparado a que se refiere el párrafo anterior se calculará tomando en
cuenta todas las pólizas de seguros que cubran el riesgo de muerte, invalidez,
pérdidas orgánicas o incapacidad del asegurado para realizar un trabajo
personal remunerado de conformidad con las leyes de seguridad social,
contratadas en beneficio del mismo asegurado por el mismo empleador.
Tratándose
de las cantidades que paguen las instituciones de seguros por concepto de
jubilaciones, pensiones o retiro, así como de seguros de gastos médicos, se
estará a lo dispuesto en las fracciones IV y VI de este artículo, según
corresponda.
Lo
dispuesto en esta fracción sólo será aplicable a los ingresos percibidos de
instituciones de seguros constituidas conforme a las leyes mexicanas, que sean
autorizadas para organizarse y funcionar como tales por las autoridades
competentes.
XXII. Los que se
reciban por herencia o legado.
XXIII. Los donativos
en los siguientes casos:
a) Entre
cónyuges o los que perciban los descendientes de sus ascendientes en línea
recta, cualquiera que sea su monto.
b) Los que
perciban los ascendientes de sus descendientes en línea recta, siempre que los
bienes recibidos no se enajenen o se donen por el ascendiente a otro
descendiente en línea recta sin limitación de grado.
c) Los demás
donativos, siempre que el valor total de los recibidos en un año de calendario
no exceda de tres veces el salario mínimo general del área geográfica del
contribuyente elevado al año. Por el excedente se pagará impuesto en los
términos de este Título.
XXIV. Los premios
obtenidos con motivo de un concurso científico, artístico o literario, abierto
al público en general o a determinado gremio o grupo de profesionales, así como
los premios otorgados por la Federación para promover los valores cívicos.
XXV. Las
indemnizaciones por daños que no excedan al valor de mercado del bien de que se
trate. Por el excedente se pagará el impuesto en los términos de este Título.
XXVI. Los percibidos
en concepto de alimentos por las personas físicas que tengan el carácter de
acreedores alimentarios en términos de la legislación civil aplicable.
XXVII. Los retiros
efectuados de la subcuenta de retiro, cesantía en edad avanzada y vejez de la
cuenta individual abierta en los términos de la Ley del Seguro Social, por
concepto de ayuda para gastos de matrimonio y por desempleo. También tendrá
este tratamiento, el traspaso de los recursos de la cuenta individual entre
administradoras de fondos para el retiro, entre instituciones de crédito o
entre ambas, así como entre dichas administradoras e instituciones de seguros
autorizadas para operar los seguros de pensiones derivados de las leyes de
seguridad social, con el único fin de contratar una renta vitalicia y seguro de
sobrevivencia conforme a las leyes de seguridad social y a la Ley de los
Sistemas de Ahorro para el Retiro.
XXVIII. Los que deriven
de la enajenación de derechos parcelarios, de las parcelas sobre las que
hubiera adoptado el dominio pleno o de los derechos comuneros, siempre y cuando
sea la primera trasmisión que se efectúe por los ejidatarios o comuneros y la misma
se realice en los términos de la legislación de la materia.
La
enajenación a que se refiere esta fracción deberá realizarse ante fedatario
público, y el enajenante deberá acreditar que es titular de dichos derechos
parcelarios o comuneros, así como su calidad de ejidatario o comunero mediante
los certificados o los títulos correspondientes a que se refiere la Ley
Agraria.
En
caso de no acreditar la calidad de ejidatario o comunero conforme a lo
establecido en el párrafo anterior, o que no se trate de la primera transmisión
que se efectúe por los ejidatarios o comuneros, el fedatario público calculará
y enterará el impuesto en los términos de este Título.
XXIX. Los que se
obtengan, hasta el equivalente de veinte salarios mínimos generales del área geográfica
que corresponda al contribuyente elevados al año, por permitir a terceros la
publicación de obras escritas de su creación en libros, periódicos o revistas,
o bien, la reproducción en serie de grabaciones de obras musicales de su
creación, siempre que los libros, periódicos o revistas, así como los bienes en
los que se contengan las grabaciones, se destinen para su enajenación al
público por la persona que efectúa los pagos por estos conceptos y siempre que
el creador de la obra expida por dichos ingresos el comprobante fiscal
respectivo. Por el excedente se pagará el impuesto en los términos de este
Título.
La
exención a que se refiere esta fracción no se aplicará en cualquiera de los
siguientes casos:
a) Cuando quien
perciba estos ingresos obtenga también de la persona que los paga ingresos de
los señalados en el Capítulo I de este Título.
b) Cuando quien
perciba estos ingresos sea socio o accionista en más del 10% del capital social
de la persona moral que efectúa los pagos.
c) Cuando se
trate de ingresos que deriven de ideas o frases publicitarias, logotipos,
emblemas, sellos distintivos, diseños o modelos industriales, manuales
operativos u obras de arte aplicado.
No
será aplicable lo dispuesto en esta fracción cuando los ingresos se deriven de
la explotación de las obras escritas o musicales de su creación en actividades
empresariales distintas a la enajenación al público de sus obras, o en la
prestación de servicios.
Lo dispuesto en las fracciones XIX inciso b), XX, XXI,
XXIII inciso c) y XXV de este artículo, no será aplicable tratándose de
ingresos por las actividades empresariales o profesionales a que se refiere el
Capítulo II de este Título.
Las aportaciones que efectúen los patrones y el
Gobierno Federal a la subcuenta de retiro, cesantía en edad avanzada y vejez de
la cuenta individual que se constituya en los términos de la Ley del Seguro
Social, así como las aportaciones que se efectúen a la cuenta individual del
sistema de ahorro para el retiro, en los términos de la Ley del Instituto de
Seguridad y Servicios Sociales de los Trabajadores del Estado, incluyendo los
rendimientos que generen, no serán ingresos acumulables del trabajador en el
ejercicio en que se aporten o generen, según corresponda.
Las aportaciones que efectúen los patrones, en los
términos de la Ley del Instituto del Fondo Nacional de la Vivienda para los
Trabajadores, a la subcuenta de vivienda de la cuenta individual abierta en los
términos de la Ley del Seguro Social, y las que efectúe el Gobierno Federal a la
subcuenta del Fondo de la Vivienda de la cuenta individual del sistema de
ahorro para el retiro, en los términos de la Ley del Instituto de Seguridad y
Servicios Sociales de los Trabajadores del Estado, o del Fondo de la Vivienda
para los miembros del activo del Ejército, Fuerza Aérea y Armada, previsto en
la Ley del Instituto de Seguridad Social para las Fuerzas Armadas Mexicanas,
así como los rendimientos que generen, no serán ingresos acumulables del
trabajador en el ejercicio en que se aporten o generen, según corresponda.
Las exenciones previstas en las fracciones XVII, XIX
inciso a) y XXII de este artículo, no serán aplicables cuando los ingresos
correspondientes no sean declarados en los términos del tercer párrafo del
artículo 150 de esta Ley, estando obligado a ello.
La exención aplicable a los ingresos obtenidos por
concepto de prestaciones de previsión
social se limitará cuando la suma de los ingresos por la prestación de
servicios personales subordinados o aquellos que reciban, por parte de las sociedades
cooperativas, los socios o miembros de las mismas y el monto de la exención
exceda de una cantidad equivalente a siete veces el salario mínimo general del
área geográfica del contribuyente, elevado al año; cuando dicha suma exceda de
la cantidad citada, solamente se considerará como ingreso no sujeto al pago del
impuesto un monto hasta de un salario mínimo general del área geográfica del
contribuyente, elevado al año. Esta limitación en ningún caso deberá dar como
resultado que la suma de los ingresos por la prestación de servicios personales
subordinados o aquellos que reciban, por parte de las sociedades cooperativas,
los socios o miembros de las mismas y el importe de la exención, sea inferior a
siete veces el salario mínimo general del área geográfica del contribuyente,
elevado al año.
Lo dispuesto en el párrafo anterior, no será aplicable
tratándose de jubilaciones, pensiones, haberes de retiro, pensiones vitalicias,
indemnizaciones por riesgos de trabajo o enfermedades, que se concedan de acuerdo
con las leyes, contratos colectivos de trabajo o contratos ley, reembolsos de
gastos médicos, dentales, hospitalarios y de funeral, concedidos de manera
general de acuerdo con las leyes o contratos de trabajo, seguros de gastos
médicos, seguros de vida y fondos de ahorro, siempre que se reúnan los
requisitos establecidos en las fracciones XI y XXI del artículo 27 de esta Ley,
aun cuando quien otorgue dichas prestaciones de previsión social no sea
contribuyente del impuesto establecido en esta Ley.
CAPÍTULO I
DE LOS INGRESOS POR SALARIOS Y EN GENERAL POR
LA PRESTACIÓN DE UN SERVICIO PERSONAL SUBORDINADO
Artículo 94. Se consideran ingresos por la prestación de un
servicio personal subordinado, los salarios y demás prestaciones que deriven de
una relación laboral, incluyendo la participación de los trabajadores en las
utilidades de las empresas y las prestaciones percibidas como consecuencia de
la terminación de la relación laboral. Para los efectos de este impuesto, se
asimilan a estos ingresos los siguientes:
I. Las
remuneraciones y demás prestaciones, obtenidas por los funcionarios y
trabajadores de la Federación, de las entidades federativas y de los
municipios, aun cuando sean por concepto de gastos no sujetos a comprobación,
así como los obtenidos por los miembros de las fuerzas armadas.
II. Los
rendimientos y anticipos, que obtengan los miembros de las sociedades
cooperativas de producción, así como los anticipos que reciban los miembros de
sociedades y asociaciones civiles.
III. Los
honorarios a miembros de consejos directivos, de vigilancia, consultivos o de
cualquier otra índole, así como los honorarios a administradores, comisarios y
gerentes generales.
IV. Los
honorarios a personas que presten servicios preponderantemente a un
prestatario, siempre que los mismos se lleven a cabo en las instalaciones de
este último.
Para
los efectos del párrafo anterior, se entiende que una persona presta servicios
preponderantemente a un prestatario, cuando los ingresos que hubiera percibido
de dicho prestatario en el año de calendario inmediato anterior, representen
más del 50% del total de los ingresos obtenidos por los conceptos a que se
refiere la fracción II del artículo 100 de esta Ley.
Antes
de que se efectúe el primer pago de honorarios en el año de calendario de que
se trate, las personas a que se refiere esta fracción deberán comunicar por
escrito al prestatario en cuyas instalaciones se realice la prestación del
servicio, si los ingresos que obtuvieron de dicho prestatario en el año
inmediato anterior excedieron del 50% del total de los percibidos en dicho año
de calendario por los conceptos a que se refiere la fracción II del artículo
100 de esta Ley. En el caso de que se omita dicha comunicación, el prestatario
estará obligado a efectuar las retenciones correspondientes.
V. Los
honorarios que perciban las personas físicas de personas morales o de personas
físicas con actividades empresariales a las que presten servicios personales
independientes, cuando comuniquen por escrito al prestatario que optan por
pagar el impuesto en los términos de este Capítulo.
VI. Los
ingresos que perciban las personas físicas de personas morales o de personas
físicas con actividades empresariales, por las actividades empresariales que
realicen, cuando comuniquen por escrito a la persona que efectúe el pago que
optan por pagar el impuesto en los términos de este Capítulo.
VII. Los
ingresos obtenidos por las personas físicas por ejercer la opción otorgada por
el empleador, o una parte relacionada del mismo, para adquirir, incluso
mediante suscripción, acciones o títulos valor que representen bienes, sin
costo alguno o a un precio menor o igual al de mercado que tengan dichas
acciones o títulos valor al momento del ejercicio de la opción,
independientemente de que las acciones o títulos valor sean emitidos por el
empleador o la parte relacionada del mismo.
El
ingreso acumulable será la diferencia que exista entre el valor de mercado que
tengan las acciones o títulos valor sujetos a la opción, al momento en el que
el contribuyente ejerza la misma y el precio establecido al otorgarse la
opción.
Cuando los funcionarios de la Federación, de las
entidades federativas o de los municipios, tengan asignados automóviles que no
reúnan los requisitos del artículo 36, fracción II de esta Ley, considerarán
ingresos en servicios, para los efectos de este Capítulo, la cantidad que no
hubiera sido deducible para fines de este impuesto de haber sido contribuyentes
del mismo las personas morales señaladas.
Los ingresos a que se refiere el párrafo anterior se
calcularán considerando como ingreso mensual la doceava parte de la cantidad
que resulte de aplicar el por ciento máximo de deducción anual al monto
pendiente de deducir de las inversiones en automóviles, como si se hubiesen
deducido desde el año en que se adquirieron, así como de los gastos de
mantenimiento y reparación de los mismos.
El pago del impuesto a que se refiere este artículo
deberá efectuarse mediante retención que efectúen las citadas personas morales.
Se estima que los ingresos previstos en el presente
artículo los obtiene en su totalidad quien realiza el trabajo. Para los efectos
de este Capítulo, los ingresos en crédito se declararán y se calculará el
impuesto que les corresponda hasta el año de calendario en que sean cobrados.
No se considerarán ingresos en bienes, los servicios
de comedor y de comida proporcionados a los trabajadores ni el uso de bienes
que el patrón proporcione a los trabajadores para el desempeño de las
actividades propias de éstos siempre que, en este último caso, los mismos estén
de acuerdo con la naturaleza del trabajo prestado.
Cuando los ingresos percibidos en el ejercicio por los
conceptos a que se refieren las fracciones IV, V y VI de este artículo, hayan
excedido en lo individual o en su conjunto, setenta y cinco millones de pesos,
no les serán aplicables las disposiciones de este Capítulo, en cuyo caso las
personas físicas que los perciban deberán pagar el impuesto respectivo en los
términos del capítulo que corresponda de conformidad con las disposiciones de
este Título a partir del mes siguiente a la fecha en que tales ingresos excedan
los referidos setenta y cinco millones de pesos. Las personas físicas que se
encuentren en el supuesto establecido en este párrafo, deberán comunicar esta situación
por escrito a los prestatarios o a las personas que les efectúen los pagos,
para lo cual se estará a lo dispuesto en las reglas de carácter general que
emita el Servicio de Administración Tributaria.
Párrafo adicionado DOF 08-12-2020
Artículo 95. Cuando se obtengan ingresos por concepto de primas de
antigüedad, retiro e indemnizaciones u otros pagos, por separación, se
calculará el impuesto anual, conforme a las siguientes reglas:
I. Del
total de percepciones por este concepto, se separará una cantidad igual a la
del último sueldo mensual ordinario, la cual se sumará a los demás ingresos por
los que se deba pagar el impuesto en el año de calendario de que se trate y se
calculará, en los términos de este Título, el impuesto correspondiente a dichos
ingresos. Cuando el total de las percepciones sean inferiores al último sueldo
mensual ordinario, éstas se sumarán en su totalidad a los demás ingresos por
los que se deba pagar el impuesto y no se aplicará la fracción II de este
artículo.
II. Al total
de percepciones por este concepto se restará una cantidad igual a la del último
sueldo mensual ordinario y al resultado se le aplicará la tasa que correspondió
al impuesto que señala la fracción anterior. El impuesto que resulte se sumará
al calculado conforme a la fracción que antecede.
La tasa a que se refiere la fracción II que antecede
se calculará dividiendo el impuesto señalado en la fracción I anterior entre la
cantidad a la cual se le aplicó la tarifa del artículo 152 de esta Ley; el
cociente así obtenido se multiplica por cien y el producto se expresa en por
ciento.
Artículo 96. Quienes hagan pagos por los conceptos a que se
refiere este Capítulo están obligados a efectuar retenciones y enteros
mensuales que tendrán el carácter de pagos provisionales a cuenta del impuesto
anual. No se efectuará retención a las personas que en el mes únicamente
perciban un salario mínimo general correspondiente al área geográfica del
contribuyente.
La retención se calculará aplicando a la totalidad de
los ingresos obtenidos en un mes de calendario, la siguiente:

Quienes hagan pagos por concepto de gratificación
anual, participación de utilidades, primas dominicales y primas vacacionales,
podrán efectuar la retención del impuesto de conformidad con los requisitos que
establezca el Reglamento de esta Ley; en las disposiciones de dicho Reglamento
se preverá que la retención se pueda hacer sobre los demás ingresos obtenidos
durante el año de calendario.
Quienes hagan las retenciones a que se refiere este
artículo, deberán deducir de la totalidad de los ingresos obtenidos en el mes
de calendario, el impuesto local a los ingresos por salarios y en general por
la prestación de un servicio personal subordinado que, en su caso, hubieran
retenido en el mes de calendario de que se trate, siempre que la tasa de dicho
impuesto no exceda del 5%.
Tratándose de honorarios a miembros de consejos
directivos, de vigilancia, consultivos o de cualquier otra índole, así como de
los honorarios a administradores, comisarios y gerentes generales, la retención
y entero a que se refiere este artículo, no podrá ser inferior la cantidad que
resulte de aplicar la tasa máxima para aplicarse sobre el excedente del límite
inferior que establece la tarifa contenida en el artículo 152 de esta Ley, sobre
su monto, salvo que exista, además, relación de trabajo con el retenedor, en
cuyo caso, se procederá en los términos del párrafo segundo de este artículo.
Las personas que hagan pagos por los conceptos a que
se refiere el artículo 95 de esta Ley, efectuarán la retención aplicando al
ingreso total por este concepto, una tasa que se calculará dividiendo el
impuesto correspondiente al último sueldo mensual ordinario, entre dicho
sueldo; el cociente obtenido se multiplicará por cien y el producto se expresará
en por ciento. Cuando los pagos por estos conceptos sean inferiores al último
sueldo mensual ordinario, la retención se calculará aplicándoles la tarifa
establecida en este artículo.
Las personas físicas, así como las personas morales a
que se refiere el Título III de esta Ley, enterarán las retenciones a que se
refiere este artículo a más tardar el día 17 de cada uno de los meses del año
de calendario, mediante declaración que presentarán ante las oficinas
autorizadas.
Los contribuyentes que presten servicios subordinados
a personas no obligadas a efectuar la retención, de conformidad con el último
párrafo del artículo 99 de esta Ley, y los que obtengan ingresos provenientes
del extranjero por estos conceptos, calcularán su pago provisional en los términos
de este precepto y lo enterarán a más tardar el día 17 de cada uno de los meses
del año de calendario, mediante declaración que presentarán ante las oficinas
autorizadas.
Artículo 96-Bis. Las personas morales que hagan pagos en una sola
exhibición a personas físicas con cargo a la subcuenta del seguro de retiro o a
la subcuenta de retiro, cesantía en edad avanzada y vejez, previstas en la Ley
del Seguro Social y los que obtengan los trabajadores al servicio del Estado
con cargo a la cuenta individual del sistema de ahorro para el retiro, prevista
en la Ley del Instituto de Seguridad y Servicios Sociales de los Trabajadores
del Estado, distintos de los conceptos señalados en el artículo 93, fracción IV
de esta Ley, deberán retener y enterar el impuesto conforme a lo siguiente:
I. Se dividirá
el monto total del ingreso recibido entre el número total de años en que los
trabajadores contribuyeron a las subcuentas del seguro de retiro o a la
subcuenta de retiro, cesantía en edad avanzada y vejez, previstas en la Ley del
Seguro Social o a las subcuentas de ahorro para el retiro y de retiro, cesantía
en edad avanzada y vejez, previstas en la Ley del Instituto de Seguridad y
Servicios Sociales de los Trabajadores del Estado.
II. Al resultado
obtenido conforme a la fracción anterior, se le aplicará la tarifa que
corresponda conforme al artículo 152 de esta Ley.
III. La cantidad
que resulte conforme a la fracción anterior, se dividirá entre el resultado
obtenido conforme a la fracción I de este artículo, el cociente así obtenido se
multiplicará por cien y el producto se expresará en por ciento.
IV. El porcentaje
que resulte conforme a la fracción anterior, será el que se aplique sobre el
excedente del monto exento del total de los recursos que se entregarán, de
conformidad con lo previsto en el artículo 93, fracción XIII de esta Ley, y el
resultado será la retención que deba realizarse a cada contribuyente.
V. La retención
se enterará ante las oficinas autorizadas, a más tardar el día 17 del mes
inmediato siguiente a aquél al que corresponda el pago, y se deberá expedir el
comprobante fiscal en el que conste el monto del pago, así como el impuesto
retenido.
El impuesto retenido en términos de este artículo se
podrá considerar como pago definitivo cuando las personas físicas únicamente
obtengan ingresos en el mismo ejercicio por los pagos a que se refiere el
primer párrafo de este artículo.
Artículo adicionado DOF 09-12-2019
Artículo 97. Las personas obligadas a efectuar retenciones en los
términos del artículo 96 de esta Ley, calcularán el impuesto anual de cada
persona que le hubiere prestado servicios personales subordinados.
El impuesto anual se determinará disminuyendo de la
totalidad de los ingresos obtenidos en un año de calendario, por los conceptos
a que se refiere este Capítulo, el impuesto local a los ingresos por salarios y
en general por la prestación de un servicio personal subordinado que hubieran
retenido en el año de calendario. Al resultado obtenido se le aplicará la
tarifa del artículo 152 de esta Ley. Contra el impuesto que resulte a cargo del
contribuyente se acreditará el importe de los pagos provisionales efectuados en
los términos del artículo 96 de esta Ley.
La disminución del impuesto local a que se refiere el
párrafo anterior, la deberán realizar las personas obligadas a efectuar las
retenciones en los términos del artículo 96 de esta Ley, siempre que la tasa de
dicho impuesto no exceda del 5%.
La diferencia que resulte a cargo del contribuyente en
los términos de este artículo se enterará ante las oficinas autorizadas a más
tardar en el mes de febrero siguiente al año de calendario de que se trate. La
diferencia que resulte a favor del contribuyente deberá compensarse contra la
retención del mes de diciembre y las retenciones sucesivas, a más tardar dentro
del año de calendario posterior. El contribuyente podrá solicitar a las
autoridades fiscales la devolución de las cantidades no compensadas, en los
términos que señale el Servicio de Administración Tributaria mediante reglas de
carácter general.
El retenedor deberá compensar los saldos a favor de un
contribuyente contra las cantidades retenidas a las demás personas a las que
les haga pagos que sean ingresos de los mencionados en este Capítulo, siempre
que se trate de contribuyentes que no estén obligados a presentar declaración
anual. El retenedor recabará la documentación comprobatoria de las cantidades
compensadas que haya entregado al trabajador con saldo a favor.
Cuando no sea posible compensar los saldos a favor de
un trabajador a que se refiere el párrafo anterior o sólo se pueda hacer en
forma parcial, el trabajador podrá solicitar la devolución correspondiente,
siempre que el retenedor señale en la constancia a que se refiere la fracción
III del artículo 99 de esta Ley, el monto que le hubiere compensado.
No se hará el cálculo del impuesto anual a que se
refiere este artículo, cuando se trate de contribuyentes que:
a) Hayan
iniciado la prestación de servicios con posterioridad al 1 de enero del año de
que se trate o hayan dejado de prestar servicios al retenedor antes del 1 de
diciembre del año por el que se efectúe el cálculo.
b) Hayan
obtenido ingresos anuales por los conceptos a que se refiere este Capítulo que
excedan de $400,000.00.
c) Comuniquen
por escrito al retenedor que presentarán declaración anual.
Artículo 98. Los contribuyentes que obtengan ingresos de los
señalados en este Capítulo, además de efectuar los pagos de este impuesto,
tendrán las siguientes obligaciones:
I. Proporcionar
a las personas que les hagan los pagos a que se refiere este Capítulo, los
datos necesarios, para que dichas personas los inscriban en el Registro Federal
de Contribuyentes, o bien cuando ya hubieran sido inscritos con anterioridad,
proporcionarle su clave de registro al empleador.
II. Solicitar
las constancias a que se refiere la fracción III del artículo 99 de esta Ley y
proporcionarlas al empleador dentro del mes siguiente a aquél en el que se
inicie la prestación del servicio, o en su caso, al empleador que vaya a
efectuar el cálculo del impuesto definitivo o acompañarlas a su declaración
anual. No se solicitará la constancia al empleador que haga la liquidación del
año.
III. Presentar
declaración anual en los siguientes casos:
a) Cuando además
obtengan ingresos acumulables distintos de los señalados en este Capítulo.
b) Cuando se
hubiera comunicado por escrito al retenedor que se presentará declaración
anual.
c) Cuando dejen
de prestar servicios antes del 31 de diciembre del año de que se trate o cuando
se hubiesen prestado servicios a dos o más empleadores en forma simultánea.
d) Cuando
obtengan ingresos, por los conceptos a que se refiere este Capítulo, de fuente
de riqueza ubicada en el extranjero o provenientes de personas no obligadas a
efectuar las retenciones del artículo 96 de esta Ley.
e) Cuando
obtengan ingresos anuales por los conceptos a que se refiere este Capítulo que
excedan de $400,000.00.
IV. Comunicar
por escrito al empleador, antes de que éste les efectúe el primer pago que les
corresponda por la prestación de servicios personales subordinados en el año de
calendario de que se trate, si prestan servicios a otro empleador y éste les
aplica el subsidio para el empleo, a fin de que ya no se aplique nuevamente.
Artículo 99. Quienes hagan pagos por los conceptos a que se
refiere este Capítulo, tendrán las siguientes obligaciones:
I. Efectuar
las retenciones señaladas en el artículo 96 de esta Ley.
II. Calcular
el impuesto anual de las personas que les hubieren prestado servicios
subordinados, en los términos del artículo 97 de esta Ley.
III. Expedir y
entregar comprobantes fiscales a las personas que reciban pagos por los
conceptos a que se refiere este Capítulo, en la fecha en que se realice la
erogación correspondiente, los cuales podrán utilizarse como constancia o
recibo de pago para efectos de la legislación laboral a que se refieren los
artículos 132 fracciones VII y VIII, y 804, primer párrafo, fracciones II y IV,
de la Ley Federal de Trabajo.
IV. Solicitar,
en su caso, las constancias y los comprobantes a que se refiere la fracción
anterior, a las personas que contraten para prestar servicios subordinados, a
más tardar dentro del mes siguiente a aquél en que se inicie la prestación del
servicio y cerciorarse que estén inscritos en el Registro Federal de Contribuyentes.
Adicionalmente,
deberán solicitar a los trabajadores que les comuniquen por escrito antes de
que se efectúe el primer pago que les corresponda por la prestación de
servicios personales subordinados en el año de calendario de que se trate, si
prestan servicios a otro empleador y éste les aplica el subsidio para el
empleo, a fin de que ya no se aplique nuevamente.
V. Solicitar
a las personas que contraten para prestar servicios subordinados, les
proporcionen los datos necesarios a fin de inscribirlas en el Registro Federal
de Contribuyentes, o bien cuando ya hubieran sido inscritas con anterioridad,
les proporcionen su clave del citado registro.
VI. Proporcionar
a más tardar el 15 de febrero de cada año, a las personas a quienes les hubieran
prestado servicios personales subordinados, constancia y el comprobante fiscal
del monto total de los viáticos pagados en el año de calendario de que se
trate, por los que se aplicó lo dispuesto en el artículo 93, fracción XVII de
esta Ley.
VII. Presentar,
ante las oficinas autorizadas a más tardar el 15 de febrero de cada año,
declaración proporcionando información sobre las personas que hayan ejercido la
opción a que se refiere la fracción VII del artículo 94 de esta Ley, en el año
de calendario anterior, conforme a las reglas generales que al efecto expida el
Servicio de Administración Tributaria.
Quedan exceptuados de las obligaciones señaladas en
este artículo, los organismos internacionales cuando así lo establezcan los
tratados o convenios respectivos, y los estados extranjeros.
CAPÍTULO II
DE LOS INGRESOS POR ACTIVIDADES EMPRESARIALES
Y PROFESIONALES
SECCIÓN I
DE LAS PERSONAS FÍSICAS CON ACTIVIDADES
EMPRESARIALES Y PROFESIONALES
Artículo 100. Están obligadas al pago del impuesto establecido en esta
Sección, las personas físicas que perciban ingresos derivados de la realización
de actividades empresariales o de la prestación de servicios profesionales.
Las personas físicas residentes en el extranjero que
tengan uno o varios establecimientos permanentes en el país, pagarán el
impuesto sobre la renta en los términos de esta Sección por los ingresos
atribuibles a los mismos, derivados de las actividades empresariales o de la
prestación de servicios profesionales.
Para los efectos de este Capítulo se consideran:
I. Ingresos
por actividades empresariales, los provenientes de la realización de
actividades comerciales, industriales, agrícolas, ganaderas, de pesca o
silvícolas.
II. Ingresos
por la prestación de un servicio profesional, las remuneraciones que deriven de
un servicio personal independiente y cuyos ingresos no estén considerados en el
Capítulo I de este Título.
Se entiende que los ingresos los obtienen en su
totalidad las personas que realicen la actividad empresarial o presten el
servicio profesional.
Artículo 101. Para los efectos de esta Sección, se consideran
ingresos acumulables por la realización de actividades empresariales o por la
prestación de servicios profesionales, además de los señalados en el artículo
anterior y en otros artículos de esta Ley, los siguientes:
I. Tratándose
de condonaciones, quitas o remisiones, de deudas relacionadas con la actividad
empresarial o con el servicio profesional, así como de las deudas antes citadas
que se dejen de pagar por prescripción de la acción del acreedor, la diferencia
que resulte de restar del principal actualizado por inflación, el monto de la
quita, condonación o remisión, al momento de su liquidación o reestructuración,
siempre y cuando la liquidación total sea menor al principal actualizado y se
trate de quitas, condonaciones o remisiones otorgadas por instituciones del
sistema financiero.
En el
caso de condonaciones, quitas o remisiones de deudas otorgadas por personas
distintas a instituciones del sistema financiero, se acumulará el monto total
en dichas condonaciones, quitas o remisiones.
Los
contribuyentes sujetos a un procedimiento de concurso, podrán disminuir el
monto de las deudas perdonadas conforme al convenio suscrito con sus acreedores
reconocidos, en los términos establecidos en la Ley de Concursos Mercantiles,
de las pérdidas pendientes de disminuir que tengan en el ejercicio en el que
dichos acreedores les perdonen las deudas citadas. Cuando el monto de las
deudas perdonadas sea mayor a las pérdidas fiscales pendientes de disminuir, la
diferencia que resulte no se considerará como ingreso acumulable, salvo que la
deuda perdonada provenga de transacciones efectuadas entre y con partes
relacionadas a que se refiere el artículo 179 de esta Ley.
II. Los
provenientes de la enajenación de cuentas y documentos por cobrar y de títulos
de crédito distintos de las acciones, relacionados con las actividades a que se
refiere este Capítulo.
III. Las
cantidades que se recuperen por seguros, fianzas o responsabilidades a cargo de
terceros, tratándose de pérdidas de bienes del contribuyente afectos a la
actividad empresarial o al servicio profesional.
IV. Las
cantidades que se perciban para efectuar gastos por cuenta de terceros, salvo
que dichos gastos sean respaldados con comprobantes fiscales expedidos a nombre
de aquél por cuenta de quien se efectúa el gasto.
V. Los
derivados de la enajenación de obras de arte hechas por el contribuyente.
VI. Los
obtenidos por agentes de instituciones de crédito, de seguros, de fianzas o de
valores, por promotores de valores o de administradoras de fondos para el
retiro, por los servicios profesionales prestados a dichas instituciones.
VII. Los
obtenidos mediante la explotación de una patente aduanal.
VIII. Los
obtenidos por la explotación de obras escritas, fotografías o dibujos, en
libros, periódicos, revistas o en las páginas electrónicas vía Internet, o
bien, la reproducción en serie de grabaciones de obras musicales y en general
cualquier otro que derive de la explotación de derechos de autor.
IX. Los
intereses cobrados derivados de la actividad empresarial o de la prestación de
servicios profesionales, sin ajuste alguno.
X. Las
devoluciones que se efectúen o los descuentos o bonificaciones que se reciban,
siempre que se hubiese efectuado la deducción correspondiente.
XI. La
ganancia derivada de la enajenación de activos afectos a la actividad.
Los ingresos determinados presuntivamente por las
autoridades fiscales, en los casos en que proceda conforme al Código Fiscal de
la Federación, se considerarán ingresos acumulables en los términos de esta
Sección, cuando en el ejercicio de que se trate el contribuyente perciba
preponderantemente ingresos que correspondan a actividades empresariales o a la
prestación de servicios profesionales.
Para los efectos del párrafo anterior, se considera
que el contribuyente percibe ingresos preponderantemente por actividades
empresariales o por prestación de servicios profesionales, cuando dichos
ingresos representen en el ejercicio de que se trate o en el anterior, más del
50% de los ingresos acumulables del contribuyente.
Las autoridades fiscales podrán determinar la utilidad
de los establecimientos permanentes en el país de un residente en el
extranjero, con base en las utilidades totales de dicho residente, considerando
la proporción que los ingresos o los activos de los establecimientos en México
representen del total de los ingresos o de activos, respectivamente.
Artículo 102. Para los efectos de esta Sección, los ingresos se
consideran acumulables en el momento en que sean efectivamente percibidos.
Los ingresos se consideran efectivamente percibidos
cuando se reciban en efectivo, en bienes o en servicios, aun cuando aquéllos
correspondan a anticipos, a depósitos o a cualquier otro concepto, sin importar
el nombre con el que se les designe. Igualmente se considera percibido el
ingreso cuando el contribuyente reciba títulos de crédito emitidos por una
persona distinta de quien efectúa el pago. Cuando se perciban en cheque, se
considerará percibido el ingreso en la fecha de cobro del mismo o cuando los
contribuyentes transmitan los cheques a un tercero, excepto cuando dicha
transmisión sea en procuración. También se entiende que es efectivamente
percibido cuando el interés del acreedor queda satisfecho mediante cualquier
forma de extinción de las obligaciones.
Tratándose de los ingresos a que se refiere la
fracción I del artículo 101 de esta Ley, éstos se considerarán efectivamente
percibidos en la fecha en que se convenga la condonación, la quita o la remisión,
o en la que se consume la prescripción.
En el caso de enajenación de bienes que se exporten se
deberá acumular el ingreso cuando efectivamente se perciba. En el caso de que
no se perciba el ingreso dentro de los doce meses siguientes a aquél en el que
se realice la exportación, se deberá acumular el ingreso una vez transcurrido
dicho plazo.
Artículo 103. Las personas físicas que obtengan ingresos por
actividades empresariales o servicios profesionales, podrán efectuar las
deducciones siguientes:
I. Las
devoluciones que se reciban o los descuentos o bonificaciones que se hagan,
siempre que se hubiese acumulado el ingreso correspondiente.
II. Las
adquisiciones de mercancías, así como de materias primas, productos semiterminados o terminados, que utilicen para prestar
servicios, para fabricar bienes o para enajenarlos.
No
serán deducibles conforme a esta fracción los activos fijos, los terrenos, las
acciones, partes sociales, obligaciones y otros valores mobiliarios, los
títulos valor que representen la propiedad de bienes, excepto certificados de
depósito de bienes o mercancías, la moneda extranjera, las piezas de oro o de
plata que hubieran tenido el carácter de moneda nacional o extranjera ni las
piezas denominadas onzas troy.
En el
caso de ingresos por enajenación de terrenos y de acciones, se estará a lo
dispuesto en los artículos 19 y 22 de esta Ley, respectivamente.
III. Los
gastos.
IV. Las
inversiones.
V. Los
intereses pagados derivados de la actividad empresarial o servicio profesional,
sin ajuste alguno, así como los que se generen por capitales tomados en
préstamo siempre y cuando dichos capitales hayan sido invertidos en los fines
de las actividades a que se refiere esta Sección y se obtenga el comprobante
fiscal correspondiente.
VI. Las cuotas
a cargo de los patrones pagadas al Instituto Mexicano del Seguro Social.
VII. Los pagos
efectuados por el impuesto local sobre los ingresos por actividades
empresariales o servicios profesionales.
Tratándose de personas físicas residentes en el
extranjero que tengan uno o varios establecimientos permanentes en el país,
podrán efectuar las deducciones que correspondan a las actividades del
establecimiento permanente, ya sean las erogadas en México o en cualquier otra
parte, aun cuando se prorrateen con algún establecimiento ubicado en el
extranjero, aplicando al efecto lo dispuesto en el artículo 26 de esta Ley.
Los contribuyentes a que se refiere esta Sección,
considerarán los gastos e inversiones no deducibles del ejercicio, en los
términos del artículo 28 de esta Ley.
Artículo 104. Los contribuyentes a que se refiere esta Sección
determinarán la deducción por inversiones aplicando lo dispuesto en la Sección
II del Capítulo II del Título II de esta Ley. Para estos efectos, se consideran
inversiones las señaladas en el artículo 32 de esta Ley.
Para los efectos de este artículo, los por cientos de
deducción se aplicarán sobre el monto original de la inversión, aun cuando ésta
no se haya pagado en su totalidad en el ejercicio en que proceda su deducción.
Cuando no se pueda separar el monto original de la inversión de los intereses
que en su caso se paguen por el financiamiento, el por ciento que corresponda
se aplicará sobre el monto total, en cuyo caso, los intereses no podrán
deducirse en los términos de la fracción V del artículo 103 de esta Ley.
Artículo 105. Las deducciones autorizadas en esta Sección, además
de cumplir con los requisitos establecidos en otras disposiciones fiscales,
deberán reunir los siguientes:
I. Que
hayan sido efectivamente erogadas en el ejercicio de que se trate. Se
consideran efectivamente erogadas cuando el pago haya sido realizado en
efectivo, mediante traspasos de cuentas en instituciones de crédito o casas de
bolsa, en servicios o en otros bienes que no sean títulos de crédito.
Tratándose de pagos con cheque, se considerará efectivamente erogado en la
fecha en la que el mismo haya sido cobrado o cuando los contribuyentes
transmitan los cheques a un tercero, excepto cuando dicha transmisión sea en
procuración. Igualmente, se consideran efectivamente erogadas cuando el
contribuyente entregue títulos de crédito suscritos por una persona distinta.
También se entiende que es efectivamente erogado cuando el interés del acreedor
queda satisfecho mediante cualquier forma de extinción de las obligaciones.
Cuando
los pagos a que se refiere el párrafo anterior se efectúen con cheque, la
deducción se efectuará en el ejercicio en que éste se cobre, siempre que entre
la fecha consignada en el comprobante fiscal que se haya expedido y la fecha en
que efectivamente se cobre dicho cheque no hayan transcurrido más de cuatro
meses.
Se
presume que la suscripción de títulos de crédito, por el contribuyente,
diversos al cheque, constituye garantía del pago del precio o de la contraprestación
pactada por la actividad empresarial o por el servicio profesional. En estos
casos, se entenderá recibido el pago cuando efectivamente se realice, o cuando
los contribuyentes transmitan a un tercero los títulos de crédito, excepto
cuando dicha transmisión sea en procuración.
Tratándose
de inversiones, éstas deberán deducirse en el ejercicio en el que se inicie su
utilización o en el ejercicio siguiente, aun cuando en dicho ejercicio no se
haya erogado en su totalidad el monto original de la inversión.
II. Que sean
estrictamente indispensables para la obtención de los ingresos por los que se
está obligado al pago de este impuesto en los términos de esta Sección.
III. Que
cuando esta Ley permita la deducción de inversiones se proceda en los términos
del artículo 104 de esta Ley. Tratándose de contratos de arrendamiento
financiero, además deberán cumplirse los requisitos del artículo 38 de esta
Ley.
IV. Que se
resten una sola vez, aun cuando estén relacionadas con la obtención de diversos
ingresos.
V. Que los
pagos de primas por seguros o fianzas se hagan conforme a las leyes de la
materia y correspondan a conceptos que esta Ley señala como deducibles o que en
otras leyes se establezca la obligación de contratarlos y siempre que,
tratándose de seguros, durante la vigencia de la póliza no se otorguen
préstamos por parte de la aseguradora, a persona alguna, con garantía de las
sumas aseguradas, de las primas pagadas o de las reservas matemáticas.
VI. Cuando el
pago se realice a plazos, la deducción procederá por el monto de las
parcialidades efectivamente pagadas en el mes o en el ejercicio que
corresponda, excepto tratándose de las deducciones a que se refiere el artículo
104 de esta Ley.
VII. Que
tratándose de las inversiones no se les dé efectos fiscales a su revaluación.
VIII. Que al
realizar las operaciones correspondientes o a más tardar el último día del
ejercicio, se reúnan los requisitos que para cada deducción en particular
establece esta Ley. Tratándose únicamente de los comprobantes fiscales a que se
refiere el primer párrafo de la fracción III del artículo 27 de esta Ley, estos
se obtengan a más tardar el día en que el contribuyente deba presentar su
declaración del ejercicio y la fecha de expedición de dicho comprobante fiscal
deberá corresponder al ejercicio en el que se efectúa la deducción.
Para los efectos de esta sección, se estará a lo
dispuesto en el artículo 27, fracciones III, IV, V, VI, X, XI, XIII, XIV, XVII,
XVIII, XIX y XXI de esta Ley.
Artículo 106. Los contribuyentes a que se refiere esta Sección,
efectuarán pagos provisionales mensuales a cuenta del impuesto del ejercicio, a
más tardar el día 17 del mes inmediato posterior a aquél al que corresponda el
pago, mediante declaración que presentarán ante las oficinas autorizadas. El
pago provisional se determinará restando de la totalidad de los ingresos a que
se refiere esta Sección obtenidos en el periodo comprendido desde el inicio del
ejercicio y hasta el último día del mes al que corresponde el pago, las
deducciones autorizadas en esta Sección correspondientes al mismo periodo y la
participación de los trabajadores en las utilidades de las empresas pagada en
el ejercicio, en los términos del artículo 123 de la Constitución Política de
los Estados Unidos Mexicanos y, en su caso, las pérdidas fiscales ocurridas en
ejercicios anteriores que no se hubieran disminuido.
Al resultado que se obtenga conforme al párrafo
anterior, se le aplicará la tarifa que se determine de acuerdo a lo siguiente:
Se tomará como base la tarifa del artículo 96 de esta
Ley, sumando las cantidades correspondientes a las columnas relativas al límite
inferior, límite superior y cuota fija, que en los términos de dicho artículo
resulten para cada uno de los meses del periodo a que se refiere el pago provisional
de que se trate, y que correspondan al mismo renglón identificado por el mismo
por ciento para aplicarse sobre el excedente del límite inferior. Las
autoridades fiscales realizarán las operaciones aritméticas previstas en este
párrafo para calcular la tarifa aplicable y la publicará en el Diario Oficial
de la Federación.
Contra el pago provisional determinado conforme a este
artículo, se acreditarán los pagos provisionales del mismo ejercicio efectuados
con anterioridad.
Cuando los contribuyentes presten servicios
profesionales a las personas morales, éstas deberán retener, como pago
provisional, el monto que resulte de aplicar la tasa del 10% sobre el monto de
los pagos que les efectúen, sin deducción alguna, debiendo proporcionar a los
contribuyentes comprobante fiscal en el que conste el monto del impuesto
retenido, el cual deberá enterarse, en su caso, conjuntamente con las
retenciones señaladas en el artículo 96 de esta Ley. El impuesto retenido en
los términos de este párrafo será acreditable contra el impuesto a pagar que
resulte en los pagos provisionales de conformidad con este artículo.
Párrafo reformado DOF 09-12-2019
Las personas morales obligadas a efectuar la retención
podrán optar por no proporcionar el comprobante fiscal a que se refiere el
párrafo anterior, siempre que la persona física que preste los servicios
profesionales les expida un comprobante fiscal que cumpla con los requisitos a
que se refieren los artículos 29 y 29-A del Código Fiscal de la Federación y en
el comprobante se señale expresamente el monto del impuesto retenido. En este
caso, las personas físicas que expidan el comprobante fiscal podrán
considerarlo como comprobante de retención del impuesto y efectuar el acreditamiento del mismo en los términos de las disposiciones
fiscales. Lo previsto en este párrafo en ningún caso libera a las personas
morales de las obligaciones de efectuar, en tiempo y forma, la retención y
entero del impuesto y la presentación de las declaraciones informativas
correspondientes, en los términos de las disposiciones fiscales respecto de las
personas a las que les hubieran efectuado dichas retenciones.
Párrafo adicionado DOF 09-12-2019
Artículo 107. Quienes en el ejercicio obtengan en forma esporádica
ingresos derivados de la prestación de servicios profesionales y no obtengan
otros ingresos gravados conforme a este Capítulo, cubrirán, como pago
provisional a cuenta del impuesto anual, el monto que resulte de aplicar la
tasa del 20% sobre los ingresos percibidos, sin deducción alguna. El pago provisional
se hará mediante declaración que presentarán ante las oficinas autorizadas
dentro de los 15 días siguientes a la obtención del ingreso. Estos
contribuyentes quedarán relevados de la obligación de llevar libros y
registros, así como de presentar declaraciones provisionales distintas de las
antes señaladas.
Los contribuyentes a que se refiere el párrafo
anterior, deberán presentar declaración anual en los términos del artículo 152
de esta Ley y podrán deducir únicamente los gastos directamente relacionados
con la prestación del servicio profesional.
Artículo 108. Cuando se realicen actividades empresariales a través
de una copropiedad, el representante común designado determinará, en los
términos de esta Sección, la utilidad fiscal o la pérdida fiscal, de dichas
actividades y cumplirá por cuenta de la totalidad de los copropietarios las
obligaciones señaladas en esta Ley, incluso la de efectuar pagos provisionales.
Para los efectos del impuesto del ejercicio, los copropietarios considerarán la
utilidad fiscal o la pérdida fiscal que se determine conforme al artículo 109
de esta Ley, en la parte proporcional que de la misma les corresponda y
acreditarán, en esa misma proporción, el monto de los pagos provisionales
efectuados por dicho representante.
Artículo 109. Los contribuyentes a que se refiere esta Sección,
deberán calcular el impuesto del ejercicio a su cargo en los términos del
artículo 152 de esta Ley. Para estos efectos, la utilidad fiscal del ejercicio
se determinará disminuyendo de la totalidad de los ingresos acumulables
obtenidos por las actividades empresariales o por la prestación de servicios
profesionales, las deducciones autorizadas en esta Sección, ambos
correspondientes al ejercicio de que se trate. A la utilidad fiscal así determinada,
se le disminuirá la participación de los trabajadores en las utilidades de las
empresas pagada en el ejercicio, en los términos del artículo 123 de la
Constitución Política de los Estados Unidos Mexicanos y, en su caso, las
pérdidas fiscales determinadas conforme a este artículo, pendientes de aplicar
de ejercicios anteriores; el resultado será la utilidad gravable.
La pérdida fiscal se obtendrá cuando los ingresos a
que se refiere esta Sección obtenidos en el ejercicio sean menores a las
deducciones autorizadas en el mismo. Al resultado obtenido se le adicionará la
participación de los trabajadores en las utilidades pagada en el ejercicio a
que se refiere el párrafo anterior. En este caso se estará a lo siguiente:
I. La
pérdida fiscal ocurrida en un ejercicio podrá disminuirse de la utilidad fiscal
determinada en los términos de esta Sección, de los diez ejercicios siguientes,
hasta agotarla.
Para
los efectos de esta fracción, el monto de la pérdida fiscal ocurrida en un
ejercicio, se actualizará multiplicándola por el factor de actualización
correspondiente al periodo comprendido desde el primer mes de la segunda mitad
del ejercicio en el que ocurrió y hasta el último mes del mismo ejercicio. La
parte de la pérdida fiscal de ejercicios anteriores ya actualizada pendiente de
aplicar contra utilidades fiscales se actualizará multiplicándola por el factor
de actualización correspondiente al periodo comprendido desde el mes en el que
se actualizó por última vez y hasta el último mes de la primera mitad del
ejercicio en el que se aplicará.
Para
los efectos del párrafo anterior, cuando sea impar el número de meses del
ejercicio en que ocurrió la pérdida fiscal, se considerará como primer mes de
la segunda mitad, el mes inmediato posterior al que corresponda la mitad del
ejercicio.
Cuando
el contribuyente no disminuya en un ejercicio la pérdida fiscal ocurrida en
ejercicios anteriores, pudiéndolo haber hecho conforme a este artículo, perderá
el derecho a hacerlo posteriormente hasta por la cantidad en que pudo haberlo
efectuado.
II. El
derecho de disminuir pérdidas fiscales es personal del contribuyente que las
sufre y no podrá ser transmitido por acto entre vivos ni como consecuencia de
la enajenación del negocio. En el caso de realizarse actividades empresariales,
sólo por causa de muerte podrá transmitirse el derecho a los herederos o
legatarios, que continúen realizando las actividades empresariales de las que
derivó la pérdida.
Las pérdidas fiscales que obtengan los contribuyentes
por la realización de las actividades a que se refiere esta Sección, sólo
podrán ser disminuidas de la utilidad fiscal derivada de las propias
actividades a que se refiere la misma.
Para los efectos de esta Sección, para la
participación de los trabajadores en las utilidades de las empresas, la renta
gravable a que se refieren los artículos 123, fracción IX, inciso e) de la
Constitución Política de los Estados Unidos Mexicanos, 120 y 127, fracción III
de la Ley Federal del Trabajo, será la utilidad fiscal que resulte de conformidad
con este artículo.
Para la determinación de la renta gravable en materia
de participación de los trabajadores en las utilidades de las empresas, los
contribuyentes deberán disminuir de los ingresos acumulables las cantidades que
no hubiesen sido deducibles en los términos de la fracción XXX del artículo 28
de esta Ley.
En el caso de que el contribuyente obtenga ingresos
por actividades empresariales y servicios profesionales en el mismo ejercicio,
deberá determinar la renta gravable que en términos de esta Sección corresponda
a cada una de las actividades en lo individual; para estos efectos, se aplicará
la misma proporción que se determine en los términos del artículo anterior.
Artículo 110. Los contribuyentes personas físicas sujetos al régimen
establecido en esta Sección, además de las obligaciones establecidas en otros
artículos de esta Ley y en las demás disposiciones fiscales, tendrán las
siguientes:
I. Solicitar
su inscripción en el Registro Federal de Contribuyentes.
II. Llevar
contabilidad de conformidad con el Código Fiscal de la Federación y su
Reglamento, tratándose de personas físicas cuyos ingresos del ejercicio de que
se trate no excedan de dos millones de pesos, llevarán su contabilidad y
expedirán sus comprobantes en los términos de las fracciones III y IV del
artículo 112 de esta Ley.
Los
contribuyentes residentes en el país que tengan establecimientos en el
extranjero, para los efectos del cumplimiento de las obligaciones a que se
refiere esta fracción, la III y la V de este artículo, respecto de dichos
establecimientos, podrán hacerlo de acuerdo con lo previsto en el artículo 76
de esta Ley.
III. Expedir
comprobantes fiscales que acrediten los ingresos que perciban.
IV. Conservar
la contabilidad y los comprobantes de los asientos respectivos, así como
aquéllos necesarios para acreditar que se ha cumplido con las obligaciones
fiscales, de conformidad con lo previsto por el Código Fiscal de la Federación.
V. Los
contribuyentes que lleven a cabo actividades empresariales deberán formular un
estado de posición financiera y levantar inventario de existencias al 31 de
diciembre de cada año, de acuerdo con las disposiciones reglamentarias
respectivas.
Cuando
el contribuyente inicie o deje de realizar actividades empresariales, deberá
formular estado de posición financiera referido a cada uno de los momentos
mencionados.
VI. En la
declaración anual que se presente determinarán la utilidad fiscal y el monto
que corresponda a la participación de los trabajadores en las utilidades de la
empresa.
Tratándose
de las declaraciones a que se refiere la fracción VII de este artículo, la
información deberá proporcionarse a través de medios electrónicos en la
dirección de correo electrónico que al efecto señale el Servicio de
Administración Tributaria mediante reglas de carácter general.
VII. Presentar
y mantener a disposición de las autoridades fiscales la información a que se
refieren las fracciones VI y XV del artículo 76 de esta Ley.
VIII. Expedir
constancias y comprobantes fiscales en los que asienten el monto de los pagos
efectuados que constituyan ingresos de fuente de riqueza ubicada en México de
acuerdo con lo previsto por el Título V de esta Ley o de los pagos efectuados a
los establecimientos en el extranjero de instituciones de crédito del país, en
los términos del artículo 48 de la misma y, en su caso, el impuesto retenido al
residente en el extranjero o a las citadas instituciones de crédito.
IX. Los
contribuyentes que hagan pagos por los conceptos a que se refiere el Capítulo I
de este Título, deberán cumplir con las obligaciones que se establecen en el
mismo.
X. Presentar,
conjuntamente con la declaración del ejercicio, la información a que se refiere
la fracción X del artículo 76 de esta Ley.
XI. Obtener y
conservar la documentación a que se refiere el artículo 76, fracción IX de esta
Ley. Lo previsto en esta fracción no se aplicará tratándose de contribuyentes
cuyos ingresos en el ejercicio inmediato anterior no hayan excedido de
$13’000,000.00, excepto aquéllos que se encuentren en el supuesto a que se
refiere el penúltimo párrafo del artículo 179 de esta Ley. El ejercicio de las
facultades de comprobación respecto de esta obligación solamente se podrá
realizar por ejercicios terminados.
SECCIÓN II
RÉGIMEN DE INCORPORACIÓN FISCAL
Artículo 111. Los contribuyentes personas físicas que realicen
únicamente actividades empresariales, que enajenen bienes o presten servicios
por los que no se requiera para su realización título profesional, podrán optar
por pagar el impuesto sobre la renta en los términos establecidos en esta
Sección, siempre que los ingresos propios de su actividad empresarial obtenidos
en el ejercicio inmediato anterior, no hubieran excedido de la cantidad de dos
millones de pesos.
Los contribuyentes a que se refiere el párrafo
anterior que inicien actividades, podrán optar por pagar el impuesto conforme a
lo establecido en este artículo, cuando estimen que sus ingresos del ejercicio
no excederán del límite a que se refiere el mismo. Cuando en el ejercicio citado
realicen operaciones por un periodo menor de doce meses, para determinar el
monto a que se refiere el párrafo anterior, dividirán los ingresos manifestados
entre el número de días que comprende el periodo y el resultado se multiplicará
por 365 días; si la cantidad obtenida excede del importe del monto citado, en
el ejercicio siguiente no se podrá tributar conforme a esta Sección.
También podrán aplicar la opción establecida en este
artículo, las personas físicas que realicen actividades empresariales mediante
copropiedad, siempre que la suma de los ingresos de todos los copropietarios
por las actividades empresariales que realicen a través de la copropiedad, sin
deducción alguna, no excedan en el ejercicio inmediato anterior de la cantidad
establecida en el primer párrafo de este artículo y que el ingreso que en lo
individual le corresponda a cada copropietario por dicha copropiedad, sin
deducción alguna, adicionado de los ingresos derivados de ventas de activos
fijos propios de su actividad empresarial del mismo copropietario, en el
ejercicio inmediato anterior, no hubieran excedido del límite a que se refiere
el primer párrafo de este artículo. Los contribuyentes que opten por lo
dispuesto en este párrafo, podrán nombrar a uno de los copropietarios como representante
común para que a nombre de los copropietarios sea el encargado de cumplir con
las obligaciones establecidas en esta Sección.
Párrafo reformado DOF 18-11-2015
Los contribuyentes a que se refiere el primer párrafo
de este artículo podrán aplicar lo dispuesto en esta Sección cuando además
obtengan ingresos de los señalados en los Capítulos I, III y VI de este Título,
siempre que el total de los ingresos obtenidos en el ejercicio inmediato
anterior por las actividades mencionadas, en su conjunto, no excedan de la
cantidad a que se refiere el primer párrafo de este artículo.
Párrafo adicionado DOF 18-11-2015
No podrán pagar el impuesto en los términos de esta
Sección:
I. Los
socios, accionistas o integrantes de personas morales o cuando sean partes
relacionadas en los términos del artículo 90 de esta Ley, o cuando exista
vinculación en términos del citado artículo con personas que hubieran tributado
en los términos de esta Sección, a excepción de los siguientes:
a) Los
socios, accionistas o integrantes de las personas morales previstas en el
Título III de esta Ley, siempre que no perciban el remanente distribuible a que
se refiere el artículo 80 de este ordenamiento.
b) Las
personas físicas que sean socios, accionistas o integrantes de las personas
morales a que se refiere el artículo 79, fracción XIII de la presente Ley, aún
y cuando reciban de dichas personas morales intereses, siempre que el total de
los ingresos obtenidos en el ejercicio inmediato anterior por intereses y por
las actividades a que se refiere el primer párrafo de este artículo, en su
conjunto, no excedan de dos millones de pesos.
c) Los
socios, accionistas o integrantes de asociaciones deportivas que tributen en
términos del Título II de esta Ley, siempre que no perciban ingresos de las
personas morales a las que pertenezcan.
Para
los efectos de esta fracción, se considera que no hay vinculación entre
cónyuges o personas con quienes se tenga relación de parentesco en los términos
de la legislación civil, siempre que no exista una relación comercial o
influencia de negocio que derive en algún beneficio económico.
Fracción reformada DOF 18-11-2015
II. Los
contribuyentes que realicen actividades relacionadas con bienes raíces,
capitales inmobiliarios, negocios inmobiliarios o actividades financieras,
salvo tratándose de aquéllos que únicamente obtengan ingresos por la
realización de actos de promoción o demostración personalizada a clientes
personas físicas para la compra venta de casas habitación o vivienda, y dichos
clientes también sean personas físicas que no realicen actos de construcción,
desarrollo, remodelación, mejora o venta de las casas habitación o vivienda.
III. Las
personas físicas que obtengan ingresos a que se refiere este Capítulo por
concepto de comisión, mediación, agencia, representación, correduría,
consignación y distribución, salvo tratándose de aquellas personas que perciban
ingresos por conceptos de mediación o comisión y estos no excedan del 30% de
sus ingresos totales. Las retenciones que las personas morales les realicen por
la prestación de este servicio, se consideran pagos definitivos para esta
Sección.
IV. Las
personas físicas que obtengan ingresos a que se refiere este Capítulo por
concepto de espectáculos públicos y franquiciatarios.
V. Los
contribuyentes que realicen actividades a través de fideicomisos o asociación
en participación.
VI. Las
personas físicas que presten servicios o enajenen bienes por Internet, a través
de las plataformas tecnológicas, aplicaciones informáticas y similares a que se
refiere la Sección III de este Capítulo, únicamente por los ingresos que
perciban por la utilización de dichos medios.
Fracción adicionada DOF 09-12-2019
Los contribuyentes a que se refiere este artículo,
calcularán y enterarán el impuesto en forma bimestral, el cual tendrá el
carácter de pago definitivo, a más tardar el día 17 de los meses de marzo,
mayo, julio, septiembre, noviembre y enero del año siguiente, mediante
declaración que presentarán a través de los sistemas que disponga el Servicio
de Administración Tributaria en su página de Internet. Para estos efectos, la
utilidad fiscal del bimestre de que se trate se determinará restando de la
totalidad de los ingresos a que se refiere este artículo obtenidos en dicho
bimestre en efectivo, en bienes o en servicios, las deducciones autorizadas en
la Ley que sean estrictamente indispensables para la obtención de los ingresos
a que se refiere esta Sección, así como las erogaciones efectivamente
realizadas en el mismo periodo para la adquisición de activos, gastos y cargos
diferidos y la participación de los trabajadores en las utilidades de las
empresas pagada en el ejercicio, en los términos del artículo 123 de la
Constitución Política de los Estados Unidos Mexicanos.
Cuando los ingresos percibidos, sean inferiores a las
deducciones del periodo que corresponda, los contribuyentes deberán considerar
la diferencia que resulte entre ambos conceptos como deducibles en los periodos
siguientes.
Para los efectos de la participación de los
trabajadores en las utilidades de las empresas, en términos de esta Sección, la
renta gravable a que se refieren los artículos 123, fracción IX, inciso e) de
la Constitución Política de los Estados Unidos Mexicanos, 120 y 127, fracción
III de la Ley Federal del Trabajo, será la utilidad fiscal que resulte de la
suma de las utilidades fiscales obtenidas en cada bimestre del ejercicio. Para
efectos del artículo 122 de la Ley Federal del Trabajo, el plazo para el
reparto de las utilidades entre los trabajadores deberá efectuarse dentro de
los sesenta días siguientes a la fecha en que deba presentarse en los términos
del artículo 112 de esta Ley, la declaración correspondiente al sexto bimestre
del ejercicio de que se trate.
Párrafo reformado DOF 18-11-2015
Para la determinación de la renta gravable en materia
de participación de los trabajadores en las utilidades de las empresas, los
contribuyentes deberán disminuir de los ingresos acumulables las cantidades que
no hubiesen sido deducibles en los términos de la fracción XXX del artículo 28
de esta Ley.
Para determinar el impuesto, los contribuyentes de
esta Sección considerarán los ingresos cuando se cobren efectivamente y
deducirán las erogaciones efectivamente realizadas en el ejercicio para la
adquisición de activos fijos, gastos o cargos diferidos.
A la utilidad fiscal que se obtenga conforme al sexto párrafo de este artículo, se le
aplicará la siguiente:
Párrafo reformado DOF 18-11-2015

Esta tarifa se actualizará en los términos y
condiciones que establece el artículo 152, último párrafo de esta Ley.
Párrafo adicionado DOF 18-11-2015
El impuesto que se determine se podrá disminuir
conforme a los porcentajes y de acuerdo al número de años que tengan tributando
en el régimen previsto en esta Sección, conforme a la siguiente:

Contra el impuesto reducido, no podrá deducirse
crédito o rebaja alguno por concepto de exenciones o subsidios.
Los contribuyentes que opten por aplicar lo dispuesto
en esta Sección, sólo podrán permanecer en el régimen que prevé la misma,
durante un máximo de diez ejercicios fiscales consecutivos. Una vez concluido
dicho periodo, deberán tributar conforme al régimen de personas físicas con
actividades empresariales y profesionales a que se refiere la Sección I del
Capítulo II del Título IV de la presente Ley.
Para los efectos de este artículo, los contribuyentes
podrán optar por determinar los pagos bimestrales aplicando al ingreso
acumulable del periodo de que se trate, el coeficiente de utilidad que
corresponda en los términos de lo dispuesto en el artículo 14 de esta Ley,
considerando la totalidad de sus ingresos en el periodo de pago de que se
trate. Los contribuyentes que opten por calcular sus pagos bimestrales
utilizando el coeficiente de utilidad mencionado, deberán considerarlos como
pagos provisionales y estarán obligados a presentar declaración del ejercicio.
Esta opción no se podrá variar en el ejercicio.
Párrafo adicionado DOF 30-11-2016
Artículo 112. Los contribuyentes sujetos al régimen previsto en esta
Sección, tendrán las obligaciones siguientes:
I. Solicitar
su inscripción en el Registro Federal de Contribuyentes.
II. Conservar
comprobantes que reúnan requisitos fiscales, únicamente cuando no se haya
emitido un comprobante fiscal por la operación.
III. Registrar
en los medios o sistemas electrónicos a que se refiere el artículo 28 del
Código Fiscal de la Federación, los ingresos, egresos, inversiones y
deducciones del ejercicio correspondiente.
IV. Entregar a
sus clientes comprobantes fiscales. Para estos efectos los contribuyentes podrán
expedir dichos comprobantes utilizando la herramienta electrónica de servicio
de generación gratuita de factura electrónica que se encuentra en la página de
Internet del Servicio de Administración Tributaria.
Tratándose
de operaciones con el público en general cuyo importe sea inferior a $250.00,
no se estará obligado a expedir el comprobante fiscal correspondiente cuando
los adquirentes de los bienes o receptores de los servicios no los soliciten,
debiéndose emitir un comprobante global por las operaciones realizadas con el
público en general conforme a las reglas de carácter general que para tal
efecto emita el Servicio de Administración Tributaria.
Párrafo adicionado DOF 18-11-2015
V. Efectuar
el pago de las erogaciones relativas a sus compras e inversiones, cuyo importe
sea superior a $5,000.00, mediante transferencia electrónica de fondos desde
cuentas abiertas a nombre del contribuyente en instituciones que componen el
sistema financiero y las entidades que para tal efecto autorice el Banco de México;
cheque nominativo de la cuenta del contribuyente, tarjeta de crédito, débito,
de servicios, o de los denominados monederos electrónicos autorizados por el
Servicio de Administración Tributaria.
Tratándose
de la adquisición de combustibles para vehículos marítimos, aéreos y
terrestres, el pago deberá efectuarse en la forma señalada en el párrafo
anterior, aun cuando la contraprestación de dichas adquisiciones no exceda de
$5,000.00.
Las
autoridades fiscales podrán liberar de la obligación de pagar las erogaciones a
través de los medios establecidos en el primer párrafo de esta fracción, cuando
las mismas se efectúen en poblaciones o en zonas rurales que no cuenten con
servicios financieros. Durante el mes de enero del ejercicio de que se trate, el
Servicio de Administración Tributaria deberá publicar, mediante reglas de
carácter general, las poblaciones o zonas rurales que carecen de servicios
financieros, liberando a los contribuyentes del Régimen de Incorporación Fiscal
de la obligación de pagar las erogaciones a través de los medios establecidos
en el primer párrafo de esta fracción cuando se encuentren dados de alta en las
citadas poblaciones o zonas rurales.
Fracción reformada DOF 18-11-2015
VI. Presentar,
a más tardar el día 17 del mes inmediato posterior a aquél al que corresponda
el pago, declaraciones bimestrales en las que se determinará y pagará el
impuesto conforme a lo dispuesto en esta Sección. Los pagos bimestrales a que
se refiere esta fracción, tendrán el carácter de definitivos.
VII. Tratándose
de las erogaciones por concepto de salarios, los contribuyentes deberán
efectuar las retenciones en los términos del Capítulo I del Título IV de esta
Ley, conforme a las disposiciones previstas en la misma y en su Reglamento, y
efectuar bimestralmente, los días 17 del mes inmediato posterior al término del
bimestre, el entero por concepto del impuesto sobre la renta de sus
trabajadores conjuntamente con la declaración bimestral que corresponda. Para
el cálculo de la retención bimestral a que hace referencia esta fracción,
deberá aplicarse la tarifa del artículo 111 de esta Ley.
VIII. Pagar el
impuesto sobre la renta en los términos de esta Sección, siempre que, además de
cumplir con los requisitos establecidos en ésta, presenten en forma bimestral
ante el Servicio de Administración Tributaria, en la declaración a que hace
referencia el párrafo sexto del artículo 111 de esta Ley, los datos de los
ingresos obtenidos y las erogaciones realizadas, incluyendo las inversiones,
así como la información de las operaciones con sus proveedores en el bimestre
inmediato anterior.
Cuando
no se presente en el plazo establecido la declaración a que se refiere el
párrafo anterior dos veces en forma consecutiva o en tres ocasiones durante el
plazo de 6 años contados a partir de que se incumpla por primera vez con dicha
obligación, el contribuyente dejará de tributar en los términos de esta Sección
y deberá tributar en los términos del régimen general que regula el Título IV
de esta Ley, según corresponda, a partir del mes siguiente a aquél en que debió
presentar la información.
Fracción reformada DOF 18-11-2015
Los contribuyentes que habiendo pagado el impuesto
conforme a lo previsto en esta Sección, cambien de opción, deberán, a partir de
la fecha del cambio, cumplir con las obligaciones previstas en el régimen
correspondiente.
Cuando los ingresos propios de la actividad
empresarial obtenidos por el contribuyente en el periodo transcurrido desde el
inicio del ejercicio y hasta el mes de que se trate, excedan de la cantidad
señalada en el primer párrafo del artículo 111, o cuando se presente cualquiera
de los supuestos a que se refiere el segundo párrafo de la fracción VIII de
este artículo, el contribuyente dejará de tributar conforme a esta Sección y
deberá realizarlo en los términos de la presente Ley en el régimen
correspondiente, a partir del mes siguiente a aquél en que se excedió el monto
citado o debió presentarse la declaración a que hace referencia el párrafo
sexto del artículo 111 de esta Ley, según sea el caso.
Párrafo reformado DOF 18-11-2015
Cuando los contribuyentes dejen de tributar conforme a
esta Sección, en ningún caso podrán volver a tributar en los términos de la
misma.
Los contribuyentes que tributen en los términos de
esta Sección, y que tengan su domicilio fiscal en poblaciones o en zonas
rurales, sin servicios de Internet, podrán ser liberados de cumplir con la
obligación de presentar declaraciones, y realizar el registro de sus
operaciones a través de Internet o en medios electrónicos, siempre que cumplan
con los requisitos que las autoridades fiscales señalen mediante reglas de
carácter general.
Artículo 113. Cuando los contribuyentes enajenen la totalidad de la
negociación, activos, gastos y cargos diferidos, el adquirente no podrá tributar
en esta Sección, debiendo hacerlo en el régimen que le corresponda conforme a
esta Ley.
Lo dispuesto en el párrafo anterior no será aplicable
cuando el adquirente de la negociación presente ante el Servicio de
Administración Tributaria, dentro de los 15 días siguientes a la fecha de la
operación, un aviso en el que señale la fecha de adquisición de la negociación
y los años en que el enajenante tributó en el Régimen de Incorporación Fiscal
respecto a dicha negociación, conforme a las Reglas de Carácter General que
para tal efecto emita el Servicio de Administración Tributaria. El adquirente
de la negociación sólo podrá tributar dentro de esta Sección por el tiempo que
le restaba al enajenante para cumplir el plazo establecido en el artículo 111
de esta Ley y aplicará las reducciones que correspondan a dichos años.
Párrafo adicionado DOF 18-11-2015
El enajenante de la propiedad deberá acumular el
ingreso por la enajenación de dichos bienes y pagar el impuesto en los términos
del Capítulo IV del Título IV de esta Ley.
Sección III
De los ingresos por la enajenación de bienes o
la prestación de servicios a través de Internet, mediante plataformas
tecnológicas, aplicaciones informáticas y similares
Sección adicionada DOF 09-12-2019
Artículo 113-A. Están obligados al pago del impuesto establecido en
esta Sección, los contribuyentes personas físicas con actividades empresariales
que enajenen bienes o presten servicios a través de Internet, mediante
plataformas tecnológicas, aplicaciones informáticas y similares que presten los
servicios a que se refiere la fracción II del artículo 18-B de la Ley del
Impuesto al Valor Agregado, por los ingresos que generen a través de los
citados medios por la realización de las actividades mencionadas, incluidos
aquellos pagos que reciban por cualquier concepto adicional a través de los
mismos.
El impuesto a que se refiere el párrafo anterior, se
pagará mediante retención que efectuarán las personas morales residentes en
México o residentes en el extranjero con o sin establecimiento permanente en el
país, así como las entidades o figuras jurídicas extranjeras que proporcionen,
de manera directa o indirecta, el uso de las citadas plataformas tecnológicas,
aplicaciones informáticas y similares.
La retención se deberá efectuar sobre el total de los
ingresos que efectivamente perciban las personas físicas por conducto de los
citados medios a que se refiere el primer párrafo de este artículo, sin incluir
el impuesto al valor agregado. Esta retención tendrá el carácter de pago provisional.
Al monto total de los ingresos mencionados se le aplicarán las siguientes tasas
de retención:
I. Tratándose de prestación
de servicios de transporte terrestre de pasajeros y de entrega de bienes la
retención se hará por el 2.1%.
II. Tratándose de prestación de
servicios de hospedaje la retención se hará por el 4%.
III. Tratándose de enajenación de
bienes y prestación de servicios la retención se hará por el 1%.
Párrafo con fracciones reformado DOF 08-12-2020
Cuando las personas físicas a que se refiere el primer
párrafo de este artículo reciban una parte del pago de las contraprestaciones
por la prestación de servicios o la enajenación de bienes directamente de los
usuarios o los adquirentes de los mismos, y el total de sus ingresos, incluyendo
aquellos efectivamente percibidos por conducto de las citadas plataformas, no
excedan de trescientos mil pesos anuales, podrán optar por pagar el impuesto
sobre la renta por dichos ingresos recibidos directamente de los usuarios de
los servicios o adquirientes de bienes, aplicando las tasas de retención a que
se refiere el presente artículo al total de los ingresos recibidos, incluyendo
aquellos efectivamente percibidos por conducto de las citadas plataformas
tecnológicas, aplicaciones informáticas y similares, y deberán acreditar el
impuesto que, en su caso, les hubieran retenido en los términos del presente
artículo. El impuesto que se pague en términos de este párrafo se considerará
como pago definitivo.
Reforma DOF 08-12-2020: Derogó del
artículo el entonces párrafo cuarto
Artículo adicionado DOF 09-12-2019
Artículo 113-B. Las personas físicas a que se refiere el artículo
anterior, podrán optar por considerar como pagos definitivos las retenciones
que les efectúen conforme a la presente Sección, en los siguientes casos:
I. Cuando
únicamente obtengan ingresos a los que se refiere el primer párrafo del
artículo 113-A de esta Ley, que en el ejercicio inmediato anterior no hayan
excedido de la cantidad de trescientos mil pesos.
Las
personas físicas que inicien actividades podrán optar por considerar como pago
definitivo la retención a que se refiere esta Sección, cuando estimen que sus
ingresos del ejercicio no excederán del límite mencionado. Cuando en el
ejercicio citado realicen operaciones por un periodo menor de doce meses, para
determinar el monto a que se refiere el párrafo anterior, dividirán los
ingresos manifestados entre el número de días que comprende el periodo y el
resultado se multiplicará por 365 días; si la cantidad obtenida excede del importe
del monto citado, en el ejercicio siguiente no se podrá optar por lo
establecido en este artículo.
II. Tratándose
de las personas físicas a que se refiere la fracción anterior que además
obtengan ingresos de los señalados en los Capítulos I y VI de este Título.
Las personas físicas que ejerzan la opción establecida
en este artículo estarán a lo siguiente:
a) No podrán
hacer las deducciones que correspondan por las actividades realizadas a través
de las plataformas tecnológicas, aplicaciones informáticas y similares a que se
refiere el artículo anterior, respecto del impuesto calculado con las tasas
previstas en esta Sección.
b) Deberán
conservar el comprobante fiscal digital por Internet que les proporcione la
plataforma tecnológica, aplicaciones informáticas y similares, por los ingresos
efectivamente cobrados por la plataforma tecnológica de los usuarios de los
bienes y servicios, incluidos aquellos pagos que reciban por cualquier concepto
adicional a través de los mismos, y las retenciones efectuadas.
c) Deberán
expedir comprobantes fiscales que acrediten los ingresos que perciban, en
aquellos casos en que la prestación de servicios o la enajenación de bienes se
realice de manera independiente a través de las plataformas tecnológicas,
aplicaciones informáticas y similares a que se refiere el artículo anterior.
Para
los efectos de este inciso, se entiende que la prestación de servicios o la
enajenación de bienes son independientes cuando no se realicen por cuenta de
las plataformas tecnológicas, aplicaciones informáticas y similares.
d) Deberán
presentar ante el Servicio de Administración Tributaria, en los términos y
condiciones que se establezcan mediante reglas de carácter general que para tal
efecto emita dicho órgano desconcentrado, un aviso en el que manifiesten su
voluntad de optar porque las retenciones que se les realicen en términos del
artículo anterior, sean consideradas como definitivas, dentro de los 30 días
siguientes a aquel en que el contribuyente perciba el primer ingreso por el pago
de las contraprestaciones por las actividades a que se refiere esta Sección.
Una vez ejercida la opción a que se refiere este
artículo ésta no podrá variarse durante un período de cinco años contados a
partir de la fecha en que el contribuyente haya presentado el aviso a que se
refiere el inciso d) de este artículo. Cuando el contribuyente deje de estar en
los supuestos a que se refieren las fracciones I y II de este artículo, cesará
el ejercicio de la opción prevista en el presente artículo y no podrá volver a
ejercerla.
Adicionalmente, los contribuyentes personas físicas a
que se refiere el artículo 113-A de esta Ley, deberán proporcionar a las
personas morales residentes en México o residentes en el extranjero con o sin
establecimiento permanente en el país, así como las entidades o figuras
jurídicas extranjeras que proporcionen, de manera directa o indirecta, el uso
de las citadas plataformas tecnológicas, aplicaciones informáticas y similares,
la información a que se refiere la fracción III del artículo 18-J de la Ley del
Impuesto al Valor Agregado, en los términos y condiciones que establece el
último párrafo de dicha fracción. Esta obligación será independiente al
ejercicio de la opción establecida en este artículo.
Artículo adicionado DOF 09-12-2019
Artículo 113-C. Las personas morales residentes en México o residentes
en el extranjero con o sin establecimiento permanente en el país, así como las
entidades o figuras jurídicas extranjeras a que se refiere el segundo párrafo
del artículo 113-A de esta Ley, tendrán las siguientes obligaciones:
I. En el
caso de residentes en el extranjero sin establecimiento permanente en el país y
de entidades o figuras jurídicas extranjeras, deberán cumplir con las
obligaciones previstas en las fracciones I, VI y VII del artículo 18-D e inciso
d), fracción II del artículo 18-J, de la Ley del Impuesto al Valor Agregado.
II. Proporcionar
comprobantes fiscales a las personas físicas a las que se les hubiera efectuado
la retención a que se refiere el artículo 113-A de esta Ley, en los que conste
el monto del pago y el impuesto retenido, a más tardar dentro de los cinco días
siguientes al mes en que se efectúe la retención, el cual deberá estar
acompañado de la información que señale el Servicio de Administración Tributaria
mediante reglas de carácter general.
III. Proporcionar
al Servicio de Administración Tributaria la información a que se refiere la
fracción III del artículo 18-J de la Ley del Impuesto al Valor Agregado, de
conformidad con lo previsto en el último párrafo de dicha fracción.
IV. Retener y
enterar el impuesto sobre la renta que corresponda conforme a lo dispuesto en
el artículo 113-A de esta Ley, mediante declaración que presentarán ante las
oficinas autorizadas a más tardar el día 17 del mes inmediato siguiente al mes
por el que se efectúo la retención.
En el
caso de que los contribuyentes no proporcionen su clave del Registro Federal de
Contribuyentes prevista en el inciso b) de la fracción III del artículo 18-J de
la Ley del Impuesto al Valor Agregado, se deberá retener el impuesto que
corresponda por los ingresos a que se refiere el artículo 113-A de esta Ley,
aplicando la tasa del 20% sobre los ingresos referidos.
V. Conservar
como parte de su contabilidad la documentación que demuestre que efectuaron la
retención y entero del impuesto sobre la renta correspondiente.
Las obligaciones establecidas en las fracciones III,
IV y V de este artículo, deberán cumplirse de conformidad con las reglas de
carácter general que para tal efecto emita el Servicio de Administración
Tributaria.
Artículo adicionado DOF 09-12-2019
Artículo 113-D.
Será aplicable la sanción prevista en el artículo 18-H BIS de la Ley del
Impuesto al Valor Agregado, tratándose del incumplimiento de las obligaciones
de retener y enterar el impuesto sobre la renta en los términos del artículo
113-C, fracción IV de esta Ley, en el que incurran durante tres meses
consecutivos las personas morales residentes en el extranjero sin
establecimiento permanente en el país, así como las entidades o figuras
jurídicas extranjeras a que se refiere el artículo 113-A, segundo párrafo de esta Ley.
La sanción a que se refiere el presente artículo es
independiente de aquélla que corresponda de conformidad con lo dispuesto en el
Código Fiscal de la Federación.
Para los efectos del bloqueo temporal del acceso al
servicio digital previsto en este artículo y, en su caso, para su desbloqueo,
serán aplicables en lo conducente los artículos 18-H TER, 18-H QUÁTER y 18-H
QUINTUS de la Ley del Impuesto al Valor Agregado, cuando las personas morales y
las entidades o figuras jurídicas extranjeras a que se refiere el primer
párrafo de este artículo, incumplan las obligaciones de retener y enterar el
impuesto sobre la renta en los términos del artículo 113-C, fracción IV de esta
Ley, durante tres meses consecutivos.
Artículo adicionado DOF 08-12-2020
CAPÍTULO III
DE LOS INGRESOS POR ARRENDAMIENTO Y EN GENERAL
POR OTORGAR EL USO O GOCE TEMPORAL DE BIENES INMUEBLES
Artículo 114. Se consideran ingresos por otorgar el uso o goce
temporal de bienes inmuebles, los siguientes:
I. Los
provenientes del arrendamiento o subarrendamiento y en general por otorgar a
título oneroso el uso o goce temporal de bienes inmuebles, en cualquier otra
forma.
II. Los
rendimientos de certificados de participación inmobiliaria no amortizables.
Para los efectos de este Capítulo, los ingresos en
crédito se declararán y se calculará el impuesto que les corresponda hasta el
año de calendario en el que sean cobrados.
Artículo 115. Las personas que obtengan ingresos por los conceptos
a que se refiere este Capítulo, podrán efectuar las siguientes deducciones:
I. Los
pagos efectuados por el impuesto predial correspondiente al año de calendario
sobre dichos inmuebles, así como por las contribuciones locales de mejoras, de
planificación o de cooperación para obras públicas que afecten a los mismos y,
en su caso, el impuesto local pagado sobre los ingresos por otorgar el uso o
goce temporal de bienes inmuebles.
II. Los gastos
de mantenimiento que no impliquen adiciones o mejoras al bien de que se trate y
por consumo de agua, siempre que no los paguen quienes usen o gocen del
inmueble.
III. Los
intereses reales pagados por préstamos utilizados para la compra, construcción
o mejoras de los bienes inmuebles, siempre y cuando obtenga el comprobante
fiscal correspondiente. Se considera interés real el monto en que dichos
intereses excedan del ajuste anual por inflación. Para determinar el interés
real se aplicará en lo conducente lo dispuesto en el artículo 134 de esta Ley.
IV. Los
salarios, comisiones y honorarios pagados, así como los impuestos, cuotas o
contribuciones que conforme a esta Ley les corresponda cubrir sobre dichos
salarios, efectivamente pagados.
V. El
importe de las primas de seguros que amparen los bienes respectivos.
VI. Las
inversiones en construcciones, incluyendo adiciones y mejoras.
Los contribuyentes que otorguen el uso o goce temporal
de bienes inmuebles podrán optar por deducir el 35% de los ingresos a que se
refiere este Capítulo, en substitución de las deducciones a que este artículo
se refiere. Quienes ejercen esta opción podrán deducir, además, el monto de las
erogaciones por concepto del impuesto predial de dichos inmuebles
correspondiente al año de calendario o al periodo durante el cual se obtuvieron
los ingresos en el ejercicio según corresponda.
Tratándose de subarrendamiento sólo se deducirá el
importe de las rentas que pague el arrendatario al arrendador.
Cuando el contribuyente ocupe parte del bien inmueble
del cual derive el ingreso por otorgar el uso o goce temporal del mismo u
otorgue su uso o goce temporal de manera gratuita, no podrá deducir la parte de
los gastos, así como tampoco el impuesto predial y los derechos de cooperación
de obras públicas que correspondan proporcionalmente a la unidad por él ocupada
o de la otorgada gratuitamente. En los casos de subarrendamiento, el
subarrendador no podrá deducir la parte proporcional del importe de las rentas
pagadas que correspondan a la unidad que ocupe o que otorgue gratuitamente.
La parte proporcional a que se refiere el párrafo que
antecede, se calculará considerando el número de metros cuadrados de
construcción de la unidad por él ocupada u otorgada de manera gratuita en
relación con el total de metros cuadrados de construcción del bien inmueble.
Cuando el uso o goce temporal del bien de que se trate
no se hubiese otorgado por todo el ejercicio, las deducciones a que se refieren
las fracciones I a V de este artículo, se aplicarán únicamente cuando
correspondan al periodo por el cual se otorgó el uso o goce temporal del bien
inmueble o a los tres meses inmediatos anteriores al en que se otorgue dicho
uso o goce.
Artículo 116. Los contribuyentes que obtengan ingresos de los
señalados en este Capítulo por el otorgamiento del uso o goce temporal de
bienes inmuebles, efectuarán los pagos provisionales mensuales o trimestrales,
a más tardar el día 17 del mes inmediato posterior al que corresponda el pago,
mediante declaración que presentarán ante las oficinas autorizadas.
El pago provisional se determinará aplicando la tarifa
que corresponda conforme a lo previsto en el tercer párrafo del artículo 106 de
esta Ley, a la diferencia que resulte de disminuir a los ingresos del mes o del
trimestre, por el que se efectúa el pago, el monto de las deducciones a que se
refiere el artículo 115 de la misma, correspondientes al mismo periodo.
Los contribuyentes que únicamente obtengan ingresos de
los señalados en este Capítulo, cuyo monto mensual no exceda de diez salarios
mínimos generales vigentes en el Distrito Federal elevados al mes, podrán
efectuar los pagos provisionales de forma trimestral.
Tratándose de subarrendamiento, sólo se considerará la
deducción por el importe de las rentas del mes o del trimestre que pague el
subarrendador al arrendador.
Cuando los ingresos a que se refiere este Capítulo se
obtengan por pagos que efectúen las personas morales, éstas deberán retener
como pago provisional el monto que resulte de aplicar la tasa del 10% sobre el
monto de los mismos, sin deducción alguna, debiendo proporcionar a los
contribuyentes comprobante fiscal en
el que conste el monto del impuesto retenido; dichas retenciones deberán
enterarse, en su caso, conjuntamente con las señaladas en el artículo 96 de
esta Ley. El impuesto retenido en los términos de este párrafo podrá
acreditarse contra el que resulte de conformidad con el segundo párrafo de este
artículo.
Párrafo reformado DOF 09-12-2019
Las personas morales obligadas a efectuar la retención
podrán optar por no proporcionar el comprobante fiscal a que se refiere el
párrafo anterior, siempre que la persona física que haya otorgado el uso o goce
temporal de bienes les expida un comprobante fiscal que cumpla con los
requisitos a que se refieren los artículos 29 y 29-A del Código Fiscal de la
Federación y en el comprobante se señale expresamente el monto del impuesto
retenido. En este caso, las personas físicas que expidan el comprobante fiscal
podrán considerarlo como comprobante de retención del impuesto y efectuar el acreditamiento del mismo en los términos de las
disposiciones fiscales. Lo previsto en este párrafo en ningún caso libera a las
personas morales de las obligaciones de efectuar, en tiempo y forma, la
retención y entero del impuesto y la presentación de las declaraciones
informativas correspondientes, en los términos de las disposiciones fiscales
respecto de las personas a las que les hubieran efectuado dichas retenciones.
Párrafo adicionado DOF 09-12-2019
Artículo 117. En las operaciones de fideicomiso por las que se
otorgue el uso o goce temporal de bienes inmuebles, se considera que los
rendimientos son ingresos del fideicomitente aun cuando el fideicomisario sea
una persona distinta, a excepción de los fideicomisos irrevocables en los
cuales el fideicomitente no tenga derecho a readquirir del fiduciario el bien
inmueble, en cuyo caso se considera que los rendimientos son ingresos del
fideicomisario desde el momento en que el fideicomitente pierda el derecho a
readquirir el bien inmueble.
La institución fiduciaria efectuará pagos
provisionales por cuenta de aquél a quien corresponda el rendimiento en los
términos del párrafo anterior, durante los meses de mayo, septiembre y enero
del siguiente año, mediante declaración que presentará ante las oficinas
autorizadas. El pago provisional será el monto que resulte de aplicar la tasa
del 10% sobre los ingresos del cuatrimestre anterior, sin deducción alguna.
La institución fiduciaria proporcionará a más tardar
el 31 de enero de cada año a quienes correspondan los rendimientos, el
comprobante fiscal de dichos rendimientos; de los pagos provisionales
efectuados y de las deducciones, correspondientes al año de calendario
anterior.
Artículo 118. Los contribuyentes que obtengan ingresos de los
señalados en este Capítulo, además de efectuar los pagos de este impuesto,
tendrán las siguientes obligaciones:
I. Solicitar
su inscripción en el Registro Federal de Contribuyentes.
II. Llevar
contabilidad de conformidad con el Código Fiscal de la Federación y su
Reglamento. No quedan comprendidos en lo dispuesto en esta fracción quienes
opten por la deducción del 35% a que se refiere el artículo 115 de esta Ley.
III. Expedir
comprobantes fiscales por las contraprestaciones recibidas.
Tratándose
de juicios de arrendamiento inmobiliario en los que se condene al arrendatario
al pago de las rentas vencidas, la autoridad judicial requerirá al acreedor que
compruebe haber emitido los comprobantes fiscales a que se refiere esta
fracción. En caso de que el acreedor no acredite haber emitido dichos
comprobantes, la autoridad judicial deberá informar al Servicio de
Administración Tributaria la omisión mencionada en un plazo máximo de 5 días
contados a partir del vencimiento del plazo que la autoridad judicial haya
otorgado al acreedor para cumplir el requerimiento.
Párrafo adicionado DOF 09-12-2019
La
información a que se refiere el párrafo anterior, deberá enviarse al órgano
desconcentrado mencionado de conformidad con las reglas de carácter general que
al efecto emita dicho órgano.
Párrafo adicionado DOF 09-12-2019
IV. Presentar
declaraciones provisionales y anual en los términos de esta Ley.
V. Informar
a las autoridades fiscales, a través de los medios y formatos electrónicos, que
señale el Servicio de Administración Tributaria mediante reglas de carácter
general, a más tardar el día 17 del mes inmediato posterior a aquel en el que
se realice la operación, de las contraprestaciones recibidas en efectivo, en
moneda nacional, así como en piezas de oro o de plata, cuyo monto sea superior
a cien mil pesos.
La
información a que se refiere esta fracción estará a disposición de la
Secretaría de Hacienda y Crédito Público, en los términos del segundo párrafo
del artículo 69 del Código Fiscal de la Federación.
Cuando los ingresos a que se refiere este Capítulo
sean percibidos a través de operaciones de fideicomiso, será la institución
fiduciaria quien lleve los libros, expida los comprobantes fiscales y efectúe
los pagos provisionales. Las personas a las que correspondan los rendimientos
deberán solicitar a la institución fiduciaria y el comprobante a que se refiere
el último párrafo del artículo anterior, el que deberán acompañar a su
declaración anual.
CAPÍTULO IV
DE LOS INGRESOS POR ENAJENACIÓN DE BIENES
SECCIÓN I
DEL RÉGIMEN GENERAL
Artículo 119. Se consideran ingresos por enajenación de bienes, los
que deriven de los casos previstos en el Código Fiscal de la Federación.
En los casos de permuta se considerará que hay dos
enajenaciones.
Se considerará como ingreso el monto de la
contraprestación obtenida, inclusive en crédito, con motivo de la enajenación;
cuando por la naturaleza de la transmisión no haya contraprestación, se
atenderá al valor de avalúo practicado por persona autorizada por las
autoridades fiscales.
No se considerarán ingresos por enajenación, los que
deriven de la transmisión de propiedad de bienes por causa de muerte, donación
o fusión de sociedades ni los que deriven de la enajenación de bonos, de
valores y de otros títulos de crédito, siempre que el ingreso por la enajenación
se considere interés en los términos del artículo 8 de esta Ley.
Artículo 120. Las personas que obtengan ingresos por enajenación de
bienes, podrán efectuar las deducciones a que se refiere el artículo 121 de
esta Ley; con la ganancia así determinada se calculará el impuesto anual como
sigue:
I. La
ganancia se dividirá entre el número de años transcurridos entre la fecha de
adquisición y la de enajenación, sin exceder de 20 años.
II. El
resultado que se obtenga conforme a la fracción anterior, será la parte de la
ganancia que se sumará a los demás ingresos acumulables del año de calendario
de que se trate y se calculará, en los términos de este Título, el impuesto
correspondiente a los ingresos acumulables.
III. La parte
de la ganancia no acumulable se multiplicará por la tasa de impuesto que se
obtenga conforme al siguiente párrafo. El impuesto que resulte se sumará al
calculado conforme a la fracción que antecede.
El
contribuyente podrá optar por calcular la tasa a que se refiere el párrafo que
antecede, conforme a lo dispuesto en cualquiera de los dos incisos siguientes:
a) Se aplicará
la tarifa que resulte conforme al artículo 152 de esta Ley a la totalidad de
los ingresos acumulables obtenidos en el año en que se realizó la enajenación,
disminuidos por las deducciones autorizadas por la propia Ley, excepto las
establecidas en las fracciones I, II y III del artículo 151 de la misma. El
resultado así obtenido se dividirá entre la cantidad a la que se le aplicó la
tarifa y el cociente será la tasa.
b) La tasa
promedio que resulte de sumar las tasas calculadas conforme a lo previsto en el
inciso anterior para los últimos cinco ejercicios, incluido aquél en el que se
realizó la enajenación, dividida entre cinco.
Cuando el contribuyente no hubiera obtenido ingresos
acumulables en los cuatro ejercicios previos a aquél en que se realice la
enajenación, podrá determinar la tasa promedio a que se refiere el párrafo
anterior con el impuesto que hubiese tenido que pagar de haber acumulado en
cada ejercicio la parte de la ganancia por la enajenación de bienes a que se
refiere la fracción I de este artículo.
Cuando el pago se reciba en parcialidades el impuesto
que corresponda a la parte de la ganancia no acumulable se podrá pagar en los
años de calendario en los que efectivamente se reciba el ingreso, siempre que
el plazo para obtenerlo sea mayor a 18 meses y se garantice el interés fiscal.
Para determinar el monto del impuesto a enterar en cada año de calendario, se
dividirá el impuesto calculado conforme a la fracción III de este artículo,
entre el ingreso total de la enajenación y el cociente se multiplicará por los
ingresos efectivamente recibidos en cada año de calendario. La cantidad
resultante será el monto del impuesto a enterar por este concepto en la
declaración anual.
Artículo 121. Las personas físicas que obtengan ingresos por la
enajenación de bienes podrán efectuar las siguientes deducciones:
I. El
costo comprobado de adquisición que se actualizará en los términos del artículo
124 de esta Ley. En el caso de bienes inmuebles, el costo actualizado será
cuando menos 10% del monto de la enajenación de que se trate.
II. El
importe de las inversiones hechas en construcciones, mejoras y ampliaciones,
cuando se enajenen bienes inmuebles o certificados de participación
inmobiliaria no amortizables. Estas inversiones no incluyen los gastos de
conservación. El importe se actualizará en los términos del artículo 124 de
esta Ley.
III. Los
gastos notariales, impuestos y derechos, por escrituras de adquisición y de
enajenación, así como el impuesto local por los ingresos por enajenación de
bienes inmuebles, pagados por el enajenante. Serán deducibles los pagos
efectuados con motivo del avalúo de bienes inmuebles.
IV. Las
comisiones y mediaciones pagadas por el enajenante, con motivo de la
adquisición o de la enajenación del bien.
La diferencia entre el ingreso por enajenación y las
deducciones a que se refiere este artículo, será la ganancia sobre la cual,
siguiendo el procedimiento señalado en el artículo 120 de esta Ley, se
calculará el impuesto.
Las deducciones a que se refieren las fracciones III y
IV de este artículo se actualizarán por el periodo comprendido desde el mes en
el que se efectuó la erogación respectiva y hasta el mes inmediato anterior a
aquél en el que se realice la enajenación.
Cuando los contribuyentes efectúen las deducciones a
que se refiere este artículo y sufran pérdidas en la enajenación de bienes
inmuebles, acciones, certificados de aportación patrimonial emitidos por
sociedades nacionales de crédito y partes sociales, podrán disminuir dichas
pérdidas en el año de calendario de que se trate o en los tres siguientes,
conforme a lo dispuesto en el artículo 122 de esta Ley, siempre que tratándose
de acciones, de los certificados de aportación patrimonial referidos y de
partes sociales, se cumpla con los requisitos que fije el Reglamento de esta
Ley. La parte de la pérdida que no se deduzca en un ejercicio, excepto la que
se sufra en enajenación de bienes inmuebles, se actualizará por el periodo
comprendido desde el mes del cierre del ejercicio en el que se sufrió la
pérdida o se actualizó por última vez y hasta el último mes del ejercicio
inmediato anterior al ejercicio en el que se deduzca.
Artículo 122. Los contribuyentes que sufran pérdidas en la
enajenación de bienes inmuebles, acciones, partes sociales o certificados de
aportación patrimonial emitidos por las sociedades nacionales de crédito,
disminuirán dichas pérdidas conforme a lo siguiente:
I. La
pérdida se dividirá entre el número de años transcurridos entre la fecha de
adquisición y la de enajenación del bien de que se trate; cuando el número de
años transcurridos exceda de diez, solamente se considerarán diez años. El
resultado que se obtenga será la parte de la pérdida que podrá disminuirse de
los demás ingresos, excepto de los ingresos a que se refieren los Capítulos I y
II de este Título, que el contribuyente deba acumular en la declaración anual
de ese mismo año o en los siguientes tres años de calendario.
II. La parte
de la pérdida no disminuida conforme a la fracción anterior se multiplicará por
la tasa de impuesto que corresponda al contribuyente en el año de calendario en
que se sufra la pérdida; cuando en la declaración de dicho año no resulte
impuesto, se considerará la tasa correspondiente al año de calendario siguiente
en que resulte impuesto, sin exceder de tres. El resultado que se obtenga
conforme a esta fracción, podrá acreditarse en los años de calendario a que se
refiere la fracción anterior, contra la cantidad que resulte de aplicar la tasa
de impuesto correspondiente al año de que se trate al total de la ganancia por
la enajenación de bienes que se obtenga en el mismo año.
La tasa a que se refiere la fracción II de este
artículo se calculará dividiendo el impuesto que hubiera correspondido al
contribuyente en la declaración anual de que se trate, entre la cantidad a la
cual se le aplicó la tarifa del artículo 152 de esta Ley para obtener dicho
impuesto; el cociente así obtenido se multiplicará por cien y el producto se
expresa en por ciento.
Cuando el contribuyente en un año de calendario no
deduzca la parte de la pérdida a que se refiere la fracción I anterior o no
efectúe el acreditamiento a que se refiere la
fracción II de este artículo, pudiéndolo haber hecho, perderá el derecho a
hacerlo en años posteriores hasta por la cantidad en la que pudo haberlo hecho.
Artículo 123. El costo de adquisición será igual a la
contraprestación que se haya pagado para adquirir el bien, sin incluir los
intereses ni las erogaciones a que se refiere el artículo anterior; cuando el
bien se hubiese adquirido a título gratuito o por fusión o escisión de
sociedades, se estará a lo dispuesto por el artículo 124 de esta Ley.
Artículo 124. Para actualizar el costo comprobado de adquisición y,
en su caso, el importe de las inversiones deducibles, tratándose de bienes
inmuebles y de certificados de participación inmobiliaria no amortizables, se
procederá como sigue:
I. Se
restará del costo comprobado de adquisición, la parte correspondiente al
terreno y el resultado será el costo de construcción. Cuando no se pueda
efectuar esta separación se considerará como costo del terreno el 20% del costo
total.
II. El costo
de construcción deberá disminuirse a razón del 3% anual por cada año transcurrido
entre la fecha de adquisición y la de enajenación; en ningún caso dicho costo
será inferior al 20% del costo inicial. El costo resultante se actualizará por
el periodo comprendido desde el mes en el que se realizó la adquisición y hasta
el mes inmediato anterior a aquél en el que se efectúe la enajenación. Las
mejoras o adaptaciones que implican inversiones deducibles deberán sujetarse al
mismo tratamiento.
Tratándose de bienes muebles distintos de títulos
valor y partes sociales, el costo se disminuirá a razón del 10% anual, o del
20% tratándose de vehículos de transporte, por cada año transcurrido entre la
fecha de adquisición y la de enajenación. El costo resultante se actualizará
por el periodo comprendido desde el mes en el que se realizó la adquisición y
hasta el mes inmediato anterior a aquél en el que se efectúe la enajenación.
Cuando los años transcurridos sean más de 10, o de 5 en el caso de vehículos de
transporte, se considerará que no hay costo de adquisición.
El contribuyente podrá, siempre que cumpla con los
requisitos que señale el Reglamento de esta Ley, no disminuir el costo de
adquisición en función de los años transcurridos, tratándose de bienes muebles
que no pierdan valor con el transcurso del tiempo y sin perjuicio de actualizar
dicho costo en los términos del párrafo anterior.
En el caso de terrenos el costo de adquisición se
actualizará por el periodo comprendido desde el mes en el que se realizó la
adquisición y hasta el mes inmediato anterior a aquél en el que se efectúe la
enajenación.
Tratándose de acciones, el costo promedio por acción
se calculará conforme a lo dispuesto por el artículo 22 de esta Ley; en el caso
de enajenación de acciones de fondos de inversión a que se refieren los
artículos 87 y 88 del citado ordenamiento, se estará a lo dispuesto por dichos
preceptos.
Párrafo reformado DOF 18-11-2015
Tratándose de bienes adquiridos por herencia, legado o
donación, se considerará como costo de adquisición o como costo promedio por
acción, según corresponda, el que haya pagado el autor de la sucesión o el
donante, y como fecha de adquisición, la que hubiere correspondido a estos
últimos. Cuando a su vez el autor de la sucesión o el donante hubieran
adquirido dichos bienes a título gratuito, se aplicará la misma regla.
Tratándose de la donación por la que se haya pagado el impuesto sobre la renta,
se considerará como costo de adquisición o como costo promedio por acción,
según corresponda, el valor de avalúo que haya servido para calcular dicho
impuesto y como fecha de adquisición aquélla en que se pagó el impuesto
mencionado.
En el caso de fusión o escisión de sociedades, se
considerará como costo comprobado de adquisición de las acciones emitidas como
consecuencia de la fusión o la escisión, según corresponda, el costo promedio
por acción que en los términos del artículo 23 de esta Ley correspondió a las
acciones de las sociedades fusionadas o escindente, al momento de la fusión o
escisión.
Artículo 125. Los contribuyentes podrán solicitar la práctica de un
avalúo por corredor público titulado o institución de crédito, autorizados por
las autoridades fiscales. Dichas autoridades estarán facultadas para practicar,
ordenar o tomar en cuenta, el avalúo del bien objeto de enajenación y cuando el
valor del avalúo exceda en más de un 10% de la contraprestación pactada por la
enajenación, el total de la diferencia se considerará ingreso del adquirente en
los términos del Capítulo V del Título IV de esta Ley; en cuyo caso, se
incrementará su costo con el total de la diferencia citada.
Tratándose de valores que sean de los que se coloquen
entre el gran público inversionista, conforme a las reglas generales que al
efecto expida el Servicio de Administración Tributaria, cuando se enajenen
fuera de bolsa, las autoridades fiscales considerarán la cotización bursátil
del último hecho del día de la enajenación, en vez del valor del avalúo.
Artículo 126. Los contribuyentes que obtengan ingresos por la
enajenación de bienes inmuebles, efectuarán pago provisional por cada
operación, aplicando la tarifa que se determine conforme al siguiente párrafo a
la cantidad que se obtenga de dividir la ganancia entre el número de años
transcurridos entre la fecha de adquisición y la de enajenación, sin exceder de
20 años. El resultado que se obtenga conforme a este párrafo se multiplicará
por el mismo número de años en que se dividió la ganancia, siendo el resultado
el impuesto que corresponda al pago provisional.
La tarifa aplicable para el cálculo de los pagos
provisionales que se deban efectuar en los términos de este artículo, se
determinará tomando como base la tarifa del artículo 96 de esta Ley, sumando
las cantidades correspondientes a las columnas relativas al límite inferior,
límite superior y cuota fija, que en los términos de dicho artículo resulten
para cada uno de los meses del año en que se efectúe la enajenación y que
correspondan al mismo renglón identificado por el por ciento para aplicarse
sobre el excedente del límite inferior. Tratándose de los meses del mismo año,
posteriores a aquél en que se efectúe la enajenación, la tarifa mensual que se
considerará para los efectos de este párrafo, será igual a la del mes en que se
efectúe la enajenación. Las autoridades fiscales mensualmente realizarán las
operaciones aritméticas previstas en este párrafo para calcular la tarifa
aplicable en dicho mes, la cual publicará en el Diario Oficial de la
Federación.
En operaciones consignadas en escrituras públicas, el
pago provisional se hará mediante declaración que se presentará dentro de los
quince días siguientes a aquél en que se firme la escritura o minuta. Los
notarios, corredores, jueces y demás fedatarios, que por disposición legal
tengan funciones notariales, calcularán el impuesto bajo su responsabilidad y
lo enterarán en las oficinas autorizadas; así mismo deberán proporcionar al
contribuyente que efectúe la operación correspondiente, conforme a las reglas
de carácter general que emita el Servicio de Administración Tributaria, la
información relativa a la determinación de dicho cálculo y deberá expedir
comprobante fiscal, en el que conste la operación, así como el impuesto
retenido que fue enterado. Dichos fedatarios, dentro los quince días siguientes
a aquel en el que se firme la escritura o minuta, en el mes de febrero de cada
año, deberán presentar ante las oficinas autorizadas, la información que al
efecto establezca el Código Fiscal de la Federación respecto de las operaciones
realizadas en el ejercicio inmediato anterior.
Tratándose de la enajenación de otros bienes, el pago
provisional será por el monto que resulte de aplicar la tasa del 20% sobre el
monto total de la operación, y será retenido por el adquirente si éste es
residente en el país o residente en el extranjero con establecimiento
permanente en México, excepto en los casos en los que el enajenante manifieste
por escrito al adquirente que efectuará un pago provisional menor y siempre que
se cumpla con los requisitos que señale el Reglamento de esta Ley. En el caso
de que el adquirente no sea residente en el país o sea residente en el
extranjero sin establecimiento permanente en México, el enajenante enterará el
impuesto correspondiente mediante declaración que presentará ante las oficinas
autorizadas dentro de los quince días siguientes a la obtención del ingreso.
Tratándose de la enajenación de acciones de los fondos de inversión a que se
refieren los artículos 87 y 88 de esta Ley, se estará a lo dispuesto en dicho
precepto. En el caso de enajenación de acciones a través de Bolsa Mexicana de
Valores concesionada en los términos de la Ley del Mercado de Valores, se
estará a lo dispuesto en el artículo 56 de esta Ley. En todos los casos deberá
expedirse comprobante fiscal en el que se especificará el monto total de la
operación, así como el impuesto retenido y enterado.
Párrafo reformado DOF 18-11-2015
Cuando el adquirente efectúe la retención a que se
refiere el párrafo anterior, expedirá comprobante fiscal al enajenante y
constancia de la misma, y éste acompañará una copia de dichos documentos al
presentar su declaración anual. No se efectuará la retención ni el pago
provisional a que se refiere el párrafo anterior, cuando se trate de bienes
muebles diversos de títulos valor o de partes sociales y el monto de la
operación sea menor a $227,400.00.
Los contribuyentes que obtengan ingresos por la cesión
de derechos de certificados de participación inmobiliaria no amortizables o de
certificados de vivienda o de derechos de fideicomitente o fideicomisario, que
recaigan sobre bienes inmuebles, deberán calcular y enterar el pago provisional
de acuerdo con lo establecido en los dos primeros párrafos de este artículo.
Las personas morales a que se refiere el Título III de
esta Ley, a excepción de las mencionadas en el artículo 86 de la misma y de
aquéllas autorizadas para percibir donativos deducibles en los términos de los
artículos 27, fracción I y 151, fracción III, de la presente Ley, que enajenen
bienes inmuebles, efectuarán pagos provisionales en los términos de este
artículo, los cuales tendrán el carácter de pago definitivo.
Artículo 127. Con independencia de lo dispuesto en el artículo 126
de esta Ley, los contribuyentes que enajenen terrenos, construcciones o
terrenos y construcciones, efectuarán un pago por cada operación, aplicando la
tasa del 5% sobre la ganancia obtenida en los términos de este Capítulo, el
cual se enterará mediante declaración que presentarán ante las oficinas
autorizadas de la entidad federativa en la cual se encuentre ubicado el
inmueble de que se trate.
El impuesto que se pague en los términos del párrafo
anterior será acreditable contra el pago provisional que se efectúe por la
misma operación en los términos del artículo 126 de esta Ley. Cuando el pago a
que se refiere este artículo exceda del pago provisional determinado conforme
al citado precepto, únicamente se enterará el impuesto que resulte conforme al
citado artículo 126 de esta Ley a la entidad federativa de que se trate.
En el caso de operaciones consignadas en escrituras
públicas, los notarios, corredores, jueces y demás fedatarios, que por disposición
legal tengan funciones notariales, calcularán el pago a que se refiere este
artículo bajo su responsabilidad y lo enterarán en las oficinas autorizadas a
que se refiere el mismo en el mismo plazo señalado en el tercer párrafo del
artículo 126 de esta Ley, y deberá expedir comprobante fiscal, en el que conste
el monto de la operación, así como el impuesto retenido que fue enterado.
Los contribuyentes que ejerzan la opción a que se
refiere el último párrafo del artículo 120 de esta Ley, aplicarán la tasa del
5% sobre la ganancia que se determine de conformidad con dicho párrafo en el
ejercicio de que se trate, la cual se enterará mediante declaración que
presentarán ante la entidad federativa en las mismas fechas de pago
establecidas en el artículo 150 de esta Ley.
El pago efectuado conforme a este artículo será
acreditable contra el impuesto del ejercicio.
Artículo 128. Los contribuyentes que obtengan ingresos por la
enajenación de bienes, deberán informar a las autoridades fiscales, a través de
los medios y formatos electrónicos, que señale el Servicio de Administración
Tributaria mediante reglas de carácter general, a más tardar el día 17 del mes
inmediato posterior a aquel en el que se realice la operación, de las
contraprestaciones recibidas en efectivo en moneda nacional o extranjera, así
como en piezas de oro o de plata, cuyo monto sea superior a cien mil pesos. Las
referidas reglas de carácter general podrán establecer supuestos en los que no
sea necesario presentar la información a que se refiere este artículo.
La información a que se refiere este artículo estará a
disposición de la Secretaría de Hacienda y Crédito Público, en los términos del
segundo párrafo del artículo 69 del Código Fiscal de la Federación.
SECCIÓN II
DE LA ENAJENACIÓN DE ACCIONES EN BOLSA DE
VALORES
Artículo 129. Las personas físicas estarán obligadas a pagar el
impuesto sobre la renta, cuyo pago se considerará como definitivo, aplicando la
tasa del 10% a las ganancias obtenidas en el ejercicio derivadas de:
I. La enajenación
de acciones emitidas por sociedades mexicanas o de títulos que representen
exclusivamente a dichas acciones, cuando su enajenación se realice en las
bolsas de valores concesionadas o mercados de derivados reconocidos en los
términos de la Ley del Mercado de Valores o de acciones emitidas por sociedades
extranjeras cotizadas en dichas bolsas de valores o mercados de derivados.
II. La
enajenación de títulos que representen índices accionarios enajenados en las
bolsas de valores o mercados de derivados a que se refiere la fracción
anterior.
III. La
enajenación de acciones emitidas por sociedades mexicanas o de títulos que
representen exclusivamente a dichas acciones, siempre que la enajenación de las
acciones o títulos citados se realice en bolsas de valores o mercados de
derivados ubicados en mercados reconocidos a que se refiere la fracción II del
artículo 16-C del Código Fiscal de la Federación de países con los que México
tenga en vigor un tratado para evitar la doble tributación.
IV. Las operaciones
financieras derivadas de capital referidas a acciones colocadas en bolsas de
valores concesionadas conforme a la Ley del Mercado de Valores, así como por
aquéllas referidas a índices accionarios que representen a las citadas
acciones, siempre que se realicen en los mercados reconocidos a que se refieren
las fracciones I y II del artículo 16-C del Código Fiscal de la Federación.
La
ganancia o pérdida obtenida en el ejercicio se determinará, sumando o
disminuyendo, según corresponda, las ganancias o pérdidas que deriven por la
enajenación de acciones de cada sociedad emisora o de títulos que representen
acciones o índices accionarios realizadas por el contribuyente o que obtengan
en operaciones financieras derivadas, que efectúe a través de cada uno de los
intermediarios del mercado de valores con los que opere o entidades financieras
extranjeras con los que tenga un contrato de intermediación.
Las
ganancias o pérdidas derivadas de la enajenación de acciones y títulos a que se
refieren las fracciones I a III anteriores se determinarán por cada sociedad
emisora o títulos que representen dichos índices de la siguiente forma:
a) Se disminuirá
al precio de venta de las acciones o títulos, disminuido con las comisiones por
concepto de intermediación pagadas por su enajenación, el costo promedio de
adquisición, adicionado con las comisiones por concepto de intermediación
pagadas por su adquisición, el cual se calculará dividiendo el monto
efectivamente pagado, por la compra de acciones o títulos, entre el número de
acciones o títulos efectivamente comprados.
Este costo promedio de adquisición se
actualizará desde la fecha de adquisición hasta el mes inmediato anterior a la
fecha en que se efectúe la venta de las acciones en las bolsas de valores o
mercados de derivados reconocidos.
Cuando el
costo de adquisición sea mayor al precio de venta, la diferencia será el monto
de la pérdida en la operación de que se trate.
b) En el caso de
operaciones de préstamos de acciones o títulos realizadas conforme a las disposiciones
jurídicas que regulan el mercado de valores en las bolsas de valores
concesionadas o mercados de derivados reconocidos, la ganancia del prestatario
derivada de la enajenación en las bolsas de valores concesionadas o mercados de
derivados reconocidos a un tercero de las acciones o títulos obtenidos en
préstamo se determinará disminuyendo del precio de venta actualizado de las
acciones o títulos, el costo comprobado de adquisición de las acciones de la
misma emisora o los títulos que adquiera en las bolsas de valores concesionadas
o mercados de derivados reconocidos durante la vigencia del contrato respectivo
para liquidar la operación con el prestamista. Para estos efectos, se podrá
incluir en el costo comprobado de adquisición, el costo de las acciones que, en
su caso, adquiera el prestatario en virtud de capitalizaciones de utilidades u
otras partidas del capital contable que la sociedad emisora hubiere decretado
durante la vigencia del contrato. La cantidad equivalente a los dividendos que
hubiere pagado la sociedad emisora por las acciones objeto del préstamo también
podrá ser parte de dicho costo comprobado de adquisición cuando los dividendos
sean cobrados por un tercero diferente del prestatario y este último los
restituya al prestamista por concepto de derechos patrimoniales. Al precio de
venta de las acciones o títulos se le podrá disminuir el monto de las
comisiones cobradas por el intermediario por las operaciones de préstamo de las
acciones o títulos, su enajenación, su adquisición y de liquidación del
préstamo.
Cuando el prestatario no adquiera total o
parcialmente las acciones o títulos que está obligado a entregar al prestamista
dentro del plazo establecido en el contrato, la ganancia por la enajenación se
determinará, por lo que respecta a las acciones o títulos no adquiridos,
disminuyendo del precio de venta actualizado de las acciones o títulos, el
precio de la cotización promedio en bolsa de valores o mercado de derivados de
las acciones o títulos al último día en que, conforme al contrato celebrado,
debió restituirlos al prestamista. También podrá disminuir de dicho precio de
venta la cantidad equivalente a los dividendos que hubiere pagado la sociedad
emisora por las acciones no adquiridas objeto del préstamo durante el periodo que
hayan estado prestadas, cuando los dividendos sean cobrados por un tercero
distinto del prestatario y este último los restituya al prestamista por
concepto de derechos patrimoniales. Al precio de venta de las acciones o
títulos se le podrá disminuir el monto de las comisiones cobradas por el
intermediario por las operaciones de préstamo de las acciones o títulos, su
enajenación y de liquidación del préstamo.
El precio de venta de las acciones o títulos
se actualizará desde la fecha en la que se efectuó la enajenación de dichas
acciones o títulos recibidos en préstamo y hasta la fecha en la que el
prestatario los adquiera o haya debido adquirirlos, según corresponda, para
liquidar la operación de préstamo.
Cuando el costo comprobado de adquisición sea
mayor al precio de venta, la diferencia será el monto de la pérdida en la
operación de que se trate.
En el caso de que el prestatario no restituya
al prestamista, en los plazos establecidos, las acciones o títulos que éste le
hubiere entregado en préstamo, se considerará que dichas acciones o títulos han
sido enajenados por el prestamista al prestatario en la fecha en que debieron
ser restituidos. Para estos efectos, la ganancia del prestamista se determinará
conforme al inciso a) de este párrafo, considerándose como precio de venta de
las acciones o títulos objeto del contrato su precio de cotización promedio en
bolsa de valores o mercado de derivados reconocido, al último día en que
debieron ser adquiridos por el prestatario. Asimismo, se considerará que no
tienen costo promedio de adquisición las acciones que obtenga el prestamista
del prestatario en exceso de las que prestó al inicio del contrato, debido a la
emisión de acciones por capitalización de utilidades u otras partidas
integrantes del capital contable, que la sociedad emisora hubiere decretado
durante la vigencia del contrato.
En el caso de las operaciones financieras derivadas de
capital referidas a acciones colocadas en bolsas de valores concesionadas
conforme a la Ley del Mercado de Valores, así como por aquéllas referidas a
índices accionarios que representen a las citadas acciones, siempre que se
realicen en los mercados reconocidos a que se refieren las fracciones I y II
del artículo 16-C del Código Fiscal de la Federación, el resultado se determinará
de conformidad con el artículo 20 de esta Ley.
Las entidades financieras autorizadas conforme a la
Ley del Mercado de Valores para actuar como intermediarios del mercado de
valores que intervengan en las enajenaciones u operaciones a que se refiere el
primer párrafo de este artículo, deberán hacer el cálculo de la ganancia o
pérdida del ejercicio. La información referente a dicho cálculo, deberá
entregarse al contribuyente para efectos del pago del impuesto sobre la renta a
que se refiere este artículo. En caso de que se genere una pérdida fiscal en el
ejercicio, los intermediarios del mercado de valores deberán emitir a las
personas físicas enajenantes una constancia de dicha pérdida. Para efectos de
la entrega de la información a que se refiere este párrafo, los intermediarios
del mercado de valores deberán expedir las constancias correspondientes por
contrato de intermediación, siempre que contengan de forma pormenorizada toda
la información requerida para el cumplimiento de las obligaciones que establece
este artículo.
Cuando el contrato de intermediación bursátil
celebrado entre el contribuyente y el intermediario del mercado de valores
concluya antes de que finalice el ejercicio fiscal de que se trate, el
intermediario deberá calcular la ganancia o pérdida generadas durante el
periodo en que el contrato estuvo vigente en el ejercicio y entregar la
información referida en el párrafo anterior. Cuando los contribuyentes cambien
de intermediario del mercado de valores, estarán obligados a remitir al nuevo
intermediario, toda la información relativa al contrato, incluyendo las
enajenaciones u operaciones a que se refiere el primer párrafo de este artículo
que haya efectuado durante el ejercicio de que se trate. Los intermediarios del
mercado de valores que realicen el traspaso de la cuenta de un contribuyente
deberán entregar al intermediario del mercado de valores receptor la
información del costo promedio de las acciones o títulos adquiridos por el
contribuyente actualizado a la fecha en que se realice dicho traspaso. El
intermediario del mercado de valores que reciba el traspaso de la cuenta
considerará dicha información para el cálculo del costo promedio de adquisición
de las acciones o títulos cuando se efectúe su enajenación.
Los contribuyentes que realicen las enajenaciones u
operaciones a que se refiere el primer párrafo de este artículo, a través de
contratos de intermediación que tengan con entidades financieras extranjeras
que no estén autorizados conforme a la Ley del Mercado de Valores, deberán
calcular la ganancia o pérdida fiscales del ejercicio y, en su caso, el
impuesto que corresponda, así como tener a disposición de la autoridad fiscal
los estados de cuenta en los que se observe la información necesaria para el
cálculo de las ganancias o pérdidas derivadas de las enajenaciones realizadas
en cada uno de los meses del ejercicio de que se trate.
En caso de que los contribuyentes a que se refiere el
párrafo anterior sustituyan a una entidad financiera extranjera por un
intermediario del mercado de valores, deberán remitir al nuevo intermediario
contratado toda la información relativa a su contrato, incluyendo las
enajenaciones u operaciones a que se refiere el primer párrafo de este artículo
efectuadas por dichos contribuyentes, a fin de que dicho intermediario efectúe
el cálculo de la ganancia o pérdida fiscal del ejercicio.
Cuando los contribuyentes generen pérdida en el
ejercicio por las enajenaciones u operaciones a que se refiere esta Sección,
podrán disminuir dicha pérdida únicamente contra el monto de la ganancia que en
su caso obtenga el mismo contribuyente en el ejercicio o en los diez siguientes
por las enajenaciones u operaciones a que se refiere el primer párrafo de este
artículo. El monto a disminuir por las pérdidas a que se refiere este párrafo
no podrá exceder el monto de dichas ganancias.
Para los efectos del párrafo anterior, las pérdidas se
actualizarán por el periodo comprendido desde el mes en que ocurrieron y hasta
el mes de cierre del mismo ejercicio. La parte de las pérdidas que no se
disminuyan en un ejercicio se actualizará por el periodo comprendido desde el
mes del cierre del ejercicio en el que se actualizó por última vez y hasta el
último mes del ejercicio inmediato anterior a aquél en el que se disminuirá.
Cuando el contribuyente no disminuya la pérdida fiscal
durante un ejercicio pudiendo haberlo hecho conforme a este artículo, perderá
el derecho a hacerlo en los ejercicios posteriores y hasta por la cantidad en
la que pudo haberlo efectuado.
Los contribuyentes deberán presentar declaración por
las ganancias obtenidas conforme a esta Sección y efectuar, en su caso, el pago
del impuesto correspondiente al ejercicio, la cual deberá entregarse de manera
conjunta a la declaración anual a que se refiere el artículo 150 de esta Ley.
El Servicio de Administración Tributaria mediante
reglas de carácter general podrá establecer mecanismos que faciliten el
cálculo, pago y entero del impuesto a que se refiere este artículo.
Las personas físicas que obtengan ganancias derivadas
de la enajenación de acciones emitidas por sociedades de inversión
especializadas de fondos para el retiro, cuando dicha enajenación se registre
en bolsas de valores concesionadas en los términos de la Ley del Mercado de
Valores, no pagarán el impuesto sobre la renta a que se refiere este artículo.
Lo dispuesto en este artículo no será aplicable, por
lo que se deberá pagar y enterar el impuesto conforme a las demás disposiciones
aplicables a la enajenación de acciones previstas por este Título:
1. A la
enajenación de acciones o títulos que no se consideren colocados entre el gran
público inversionista o a la celebración de operaciones a que se refieren las
fracciones I, II, III y IV del presente artículo, cuya adquisición no se haya
realizado en mercados reconocidos a que se refieren las fracciones I y II del
artículo 16-C del Código Fiscal de la Federación, con excepción de cuando se
enajenen en bolsa de valores autorizadas, acciones o títulos que se consideren
colocados, entre el gran público inversionista, siempre y cuando los títulos
que sean enajenados, mediante una o varias operaciones simultáneas o sucesivas
en un periodo de veinticuatro meses, no representen en ningún caso más del 1%
de las acciones en circulación de la sociedad emisora de las acciones, y que en
ningún caso el enajenante de las acciones o títulos encuadre en los supuestos
contenidos en el numeral 2 siguiente.
En
estos casos el enajenante de las acciones o títulos estará obligado a
proporcionar al intermediario del mercado de valores que intervenga en la
enajenación, la información necesaria para determinar la ganancia o la pérdida
en la operación.
2. Cuando la
persona o grupo de personas, que directa o indirectamente tengan 10% o más de
las acciones representativas del capital social de la sociedad emisora, a que
se refiere el artículo 111 de la Ley del Mercado de Valores, en un periodo de
veinticuatro meses, enajene el 10% o más de las acciones pagadas de la sociedad
de que se trate, mediante una o varias operaciones simultáneas o sucesivas,
incluyendo aquéllas que se realicen mediante operaciones financieras derivadas
o de cualquier otra naturaleza análoga o similar. Tampoco será aplicable para
la persona o grupo de personas que, teniendo el control de la emisora, lo enajenen
mediante una o varias operaciones simultáneas o sucesivas en un periodo de
veinticuatro meses, incluyendo aquéllas que se realicen mediante operaciones
financieras derivadas o de cualquier otra naturaleza análoga o similar. Para
los efectos de este párrafo se entenderá por control y grupo de personas, las
definidas como tales en el artículo 2 de la Ley del Mercado de Valores.
3. Cuando la
enajenación de las acciones se realice fuera de las bolsas señaladas, las
efectuadas en ellas como operaciones de registro o cruces protegidos o con
cualquiera otra denominación que impidan que las personas que realicen las
enajenaciones acepten ofertas más competitivas de las que reciban antes y
durante el periodo en que se ofrezcan para su enajenación, aun y cuando la
Comisión Nacional Bancaria y de Valores les hubiese dado el trato de
operaciones concertadas en bolsa de conformidad con el artículo 179 de la Ley
del Mercado de Valores.
4. En los
casos de fusión o de escisión de sociedades, por las acciones que se enajenen y
que se hayan obtenido del canje efectuado de las acciones de las sociedades
fusionadas o escindente si las acciones de estas últimas sociedades se
encuentran en cualesquiera de los supuestos señalados en los dos numerales
anteriores.
CAPÍTULO V
DE LOS INGRESOS POR ADQUISICIÓN DE BIENES
Artículo 130. Se consideran ingresos por adquisición de bienes:
I. La
donación.
II. Los
tesoros.
III. La
adquisición por prescripción.
IV. Los
supuestos señalados en los artículos 125, 160 y 161 de esta Ley.
V. Las
construcciones, instalaciones o mejoras permanentes en bienes inmuebles que, de
conformidad con los contratos por los que se otorgó su uso o goce, queden a
beneficio del propietario. El ingreso se entenderá que se obtiene al término
del contrato y en el monto que a esa fecha tengan las inversiones conforme al
avalúo que practique persona autorizada por las autoridades fiscales.
Tratándose de las fracciones I a III de este artículo,
el ingreso será igual al valor de avalúo practicado por persona autorizada por
las autoridades fiscales. En el supuesto señalado en la fracción IV de este
mismo artículo, se considerará ingreso el total de la diferencia mencionada en
el artículo 125 de la presente Ley.
Artículo 131. Las personas físicas que obtengan ingresos por
adquisición de bienes, podrán efectuar, para el cálculo del impuesto anual, las
siguientes deducciones:
I. Las
contribuciones locales y federales, con excepción del impuesto sobre la renta,
así como los gastos notariales efectuados con motivo de la adquisición.
II. Los
demás gastos efectuados con motivo de juicios en los que se reconozca el
derecho a adquirir.
III. Los pagos
efectuados con motivo del avalúo.
IV. Las
comisiones y mediaciones pagadas por el adquirente.
Artículo 132. Los contribuyentes que obtengan ingresos de los
señalados en este Capítulo, cubrirán, como pago provisional a cuenta del
impuesto anual, el monto que resulte de aplicar la tasa del 20% sobre el
ingreso percibido, sin deducción alguna. El pago provisional se hará mediante
declaración que presentarán ante las oficinas autorizadas dentro de los 15 días
siguientes a la obtención del ingreso. Tratándose del supuesto a que se refiere
la fracción IV del artículo 130 de esta Ley, el plazo se contará a partir de la
notificación que efectúen las autoridades fiscales.
En operaciones consignadas en escritura pública en las
que el valor del bien de que se trate se determine mediante avalúo, el pago
provisional se hará mediante declaración que se presentará dentro de los quince
días siguientes a la fecha en que se firme la escritura o minuta. Los notarios,
corredores, jueces y demás fedatarios, que por disposición legal tengan
funciones notariales, calcularán el impuesto bajo su responsabilidad y lo
enterarán mediante la citada declaración en las oficinas autorizadas y deberán
expedir comprobante fiscal, en el que conste el monto de la operación, así como
el impuesto retenido que fue enterado. Dichos fedatarios, dentro de los quince
días siguientes a aquél en que se firme la escritura o minuta a más tardar el
día 15 de febrero de cada año, deberán presentar ante las oficinas autorizadas,
la información que al efecto establezca el Código Fiscal de la Federación
respecto de las operaciones realizadas en el ejercicio inmediato anterior.
CAPÍTULO VI
DE LOS INGRESOS POR INTERESES
Artículo 133. Se consideran ingresos por intereses para los efectos
de este Capítulo, los establecidos en el artículo 8 de esta Ley y los demás que
conforme a la misma tengan el tratamiento de interés.
Se dará el tratamiento de interés a los pagos
efectuados por las instituciones de seguros a los asegurados o a sus
beneficiarios, por los retiros parciales o totales que realicen dichas personas
de las primas pagadas, o de los rendimientos de éstas, antes de que ocurra el
riesgo o el evento amparado en la póliza, así como a los pagos que efectúen a
los asegurados o a sus beneficiarios en el caso de seguros cuyo riesgo amparado
sea la supervivencia del asegurado cuando en este último caso no se cumplan los
requisitos de la fracción XXI del artículo 93 de esta Ley y siempre que la
prima haya sido pagada directamente por el asegurado. En estos casos para
determinar el impuesto se estará a lo siguiente:
De la prima pagada se disminuirá la parte que
corresponda a la cobertura del seguro de riesgo de fallecimiento y a otros
accesorios que no generen valor de rescate y el resultado se considerará como
aportación de inversión. De la suma del valor de rescate y de los dividendos a
que tenga derecho el asegurado o sus beneficiarios se disminuirá la suma de las
aportaciones de inversión actualizadas y la diferencia será el interés real
acumulable. Las aportaciones de inversión se actualizarán por el periodo
comprendido desde el mes en el que se pagó la prima de que se trate o desde el
mes en el que se efectuó el último retiro parcial a que se refiere el quinto
párrafo de este artículo, según se trate, y hasta el mes en el que se efectúe
el retiro que corresponda.
La cobertura del seguro de fallecimiento será el
resultado de multiplicar la diferencia que resulte de restar a la cantidad
asegurada por fallecimiento la reserva matemática de riesgos en curso de la
póliza, por la probabilidad de muerte del asegurado en la fecha de aniversario
de la póliza en el ejercicio de que se trate. La probabilidad de muerte será la
que establezca la Comisión Nacional de Seguros y Fianzas para determinar la
referida reserva.
Cuando se paguen retiros parciales antes de la
cancelación de la póliza, se considerará que el monto que se retira incluye
aportaciones de inversión e intereses reales. Para estos efectos se estará a lo
siguiente:
I. El
retiro parcial se dividirá entre la suma del valor de rescate y de los
dividendos a que tenga derecho el asegurado a la fecha del retiro.
II. El
interés real se determinará multiplicando el resultado obtenido conforme a la
fracción I de este artículo, por el monto de los intereses reales determinados
a esa misma fecha conforme al tercer párrafo de este artículo.
III. Para
determinar el monto de la aportación de inversión que se retira, se
multiplicará el resultado obtenido conforme a la fracción I, por la suma de las
aportaciones de inversión actualizadas determinadas a la fecha del retiro,
conforme al tercer párrafo de este artículo. El monto de las aportaciones de
inversión actualizadas que se retiren conforme a este párrafo se disminuirá del
monto de la suma de las aportaciones de inversión actualizadas que se determine
conforme al tercer párrafo de este artículo.
El contribuyente deberá pagar el impuesto sobre el
interés real aplicando la tasa de impuesto promedio que le correspondió al
mismo en los ejercicios inmediatos anteriores en los que haya pagado este
impuesto a aquél en el que se efectúe el cálculo, sin que estos excedan de
cinco. Para determinar la tasa de impuesto promedio a que se refiere este
párrafo, se sumarán los resultados expresados en por ciento que se obtengan de
dividir el impuesto determinado en cada ejercicio entre el ingreso gravable del
mismo ejercicio, de los ejercicios anteriores de que se trate en los que se
haya pagado el impuesto y el resultado se dividirá entre el mismo número de
ejercicios considerados, sin que excedan de cinco. El impuesto que resulte
conforme a este párrafo se sumará al impuesto que corresponda al ejercicio que
se trate y se pagará conjuntamente con este último.
Se considerarán intereses para los efectos de este
Capítulo, los rendimientos de las aportaciones voluntarias, depositadas en la
subcuenta de aportaciones voluntarias de la cuenta individual abierta en los
términos de la Ley de los Sistemas de Ahorro para el Retiro o en la cuenta
individual del sistema de ahorro para el retiro en los términos de la Ley del
Instituto de Seguridad y Servicios Sociales de los Trabajadores del Estado, así
como los de las aportaciones complementarias depositadas en la cuenta de
aportaciones complementarias en los términos de la Ley de los Sistemas de
Ahorro para el Retiro.
Para los efectos del párrafo anterior, se determinará
el interés real acumulable disminuyendo del ingreso obtenido por el retiro
efectuado el monto actualizado de la aportación. La aportación a que se refiere
este párrafo se actualizará por el periodo comprendido desde el mes en el que
se efectuó dicha aportación y hasta el mes en el que se efectúe el retiro de
que se trate.
Artículo 134. Las personas físicas deberán acumular a sus demás
ingresos los intereses reales percibidos en el ejercicio.
Tratándose de intereses pagados por sociedades que no
se consideren integrantes del sistema financiero en los términos de esta Ley y
que deriven de títulos valor que no sean colocados entre el gran público
inversionista a través de bolsas de valores autorizadas o mercados de amplia bursatilidad, los mismos se acumularán en el ejercicio en
que se devenguen.
Se considera interés real, el monto en el que los
intereses excedan al ajuste por inflación. Para estos efectos, el ajuste por
inflación se determinará multiplicando el saldo promedio diario de la inversión
que genere los intereses, por el factor que se obtenga de restar la unidad del
cociente que resulte de dividir el Índice Nacional de Precios al Consumidor del
mes más reciente del periodo de la inversión, entre el citado índice
correspondiente al primer mes del periodo. Cuando el cálculo a que se refiere
este párrafo se realice por un periodo inferior a un mes o abarque fracciones
de mes, el incremento porcentual del citado índice para dicho periodo o
fracción de mes se considerará en proporción al número de días por el que se
efectúa el cálculo.
El saldo promedio de la inversión será el saldo que se
obtenga de dividir la suma de los saldos diarios de la inversión entre el
número de días de la inversión, sin considerar los intereses devengados no
pagados.
Cuando el ajuste por inflación a que se refiere este
precepto sea mayor que los intereses obtenidos, el resultado se considerará
como pérdida. La pérdida se podrá disminuir de los demás ingresos obtenidos en
el ejercicio, excepto de aquéllos a que se refieren los Capítulos I y II de
este Título. La parte de la pérdida que no se hubiese podido disminuir en el
ejercicio, se podrá aplicar, en los cinco ejercicios siguientes hasta agotarla,
actualizada desde el último mes del ejercicio en el que ocurrió y hasta el
último mes del ejercicio en el que aplique o desde que se actualizó por última
vez y hasta el último mes del ejercicio en el que se aplique, según
corresponda.
Cuando los intereses devengados se reinviertan, éstos
se considerarán percibidos, para los efectos de este Capítulo, en el momento en
el que se reinviertan o cuando se encuentren a disposición del contribuyente,
lo que suceda primero.
Artículo 135. Quienes paguen los intereses a que se refiere el
artículo 133 de esta Ley, están obligados a retener y enterar el impuesto
aplicando la tasa que al efecto establezca el Congreso de la Unión para el
ejercicio de que se trate en la Ley de Ingresos de la Federación sobre el monto
del capital que dé lugar al pago de los intereses, como pago provisional.
Tratándose de los intereses señalados en el segundo párrafo del artículo 134 de
la misma, la retención se efectuará a la tasa del 20% sobre los intereses
nominales.
Las personas físicas que únicamente obtengan ingresos
acumulables de los señalados en este Capítulo, podrán optar por considerar la
retención que se efectúe en los términos de este artículo como pago definitivo,
siempre que dichos ingresos correspondan al ejercicio de que se trate y no
excedan de $100,000.00.
Artículo 136. Quienes obtengan los ingresos a que se refiere este
Capítulo, además de las obligaciones establecidas en otros artículos de esta
Ley, tendrán las siguientes:
I. Solicitar
su inscripción en el Registro Federal de Contribuyentes.
II. Presentar
declaración anual en los términos de esta Ley.
III. Conservar,
de conformidad con lo previsto en el Código Fiscal de la Federación, la
documentación relacionada con los ingresos, las retenciones y el pago de este
impuesto.
Lo dispuesto en este artículo no será aplicable a los
contribuyentes que hayan optado por no acumular los intereses a sus demás
ingresos, en los términos del segundo párrafo del artículo 135 de esta Ley.
Quienes paguen los intereses a que se refiere este
Capítulo deberán proporcionar al Servicio de Administración Tributaria la
información a que se refiere el artículo 55 de esta Ley, aun cuando no sean
instituciones de crédito.
CAPÍTULO VII
DE LOS INGRESOS POR LA OBTENCIÓN DE PREMIOS
Artículo 137. Se consideran ingresos por la obtención de premios,
los que deriven de la celebración de loterías, rifas, sorteos, juegos con
apuestas y concursos de toda clase, autorizados legalmente.
Cuando la persona que otorgue el premio pague por
cuenta del contribuyente el impuesto que corresponde como retención, el importe
del impuesto pagado por cuenta del contribuyente se considerará como ingreso de
los comprendidos en este Capítulo.
No se considerará como premio el reintegro
correspondiente al billete que permitió participar en las loterías.
Artículo 138. El impuesto por los premios de loterías, rifas,
sorteos y concursos, organizados en territorio nacional, se calculará aplicando
la tasa del 1% sobre el valor del premio correspondiente a cada boleto o
billete entero, sin deducción alguna, siempre que las entidades federativas no
graven con un impuesto local los ingresos a que se refiere este párrafo, o el
gravamen establecido no exceda del 6%. La tasa del impuesto a que se refiere
este artículo será del 21%, en aquellas entidades federativas que apliquen un
impuesto local sobre los ingresos a que se refiere este párrafo, a una tasa que
exceda del 6%.
El impuesto por los premios de juegos con apuestas,
organizados en territorio nacional, se calculará aplicando el 1% sobre el valor
total de la cantidad a distribuir entre todos los boletos que resulten
premiados.
El impuesto que resulte conforme a este artículo, será
retenido por las personas que hagan los pagos y se considerará como pago
definitivo, cuando quien perciba el ingreso lo declare estando obligado a ello
en los términos del segundo párrafo del artículo 90 de esta Ley. No se efectuará
la retención a que se refiere este párrafo cuando los ingresos los reciban los
contribuyentes señalados en el Título II de esta Ley o las personas morales a
que se refiere el artículo 86 de esta Ley.
Las personas físicas que no efectúen la declaración a
que se refiere el segundo párrafo del artículo 90 de esta Ley, no podrán
considerar la retención efectuada en los términos de este artículo como pago
definitivo y deberán acumular a sus demás ingresos el monto de los ingresos
obtenidos en los términos de este Capítulo. En este caso, la persona que
obtenga el ingreso podrá acreditar contra el impuesto que se determine en la
declaración anual, la retención del impuesto federal que le hubiera efectuado
la persona que pagó el premio en los términos de este precepto.
Artículo 139. Quienes entreguen los premios a que se refiere este
Capítulo, además de efectuar las retenciones de este impuesto, tendrán las
siguientes obligaciones:
I. Proporcionar,
a las personas a quienes les efectúen pagos por los conceptos a que se refiere
este Capítulo, comprobante fiscal en el que conste el monto de la operación, y
el impuesto retenido que fue enterado.
II. Proporcionar,
constancia de ingreso y el comprobante fiscal por los premios por los que no se
está obligado al pago del impuesto en los términos de esta Ley.
III. Conservar,
de conformidad con lo previsto en el Código Fiscal de la Federación, la
documentación relacionada con las constancias, comprobantes fiscales y las
retenciones de este impuesto.
CAPÍTULO VIII
DE LOS INGRESOS POR DIVIDENDOS Y EN GENERAL
POR LAS GANANCIAS DISTRIBUIDAS POR PERSONAS MORALES
Artículo 140. Las personas físicas deberán acumular a sus demás
ingresos, los percibidos por dividendos o utilidades. Dichas personas físicas
podrán acreditar, contra el impuesto que se determine en su declaración anual,
el impuesto sobre la renta pagado por la sociedad que distribuyó los dividendos
o utilidades, siempre que quien efectúe el acreditamiento
a que se refiere este párrafo considere como ingreso acumulable, además del
dividendo o utilidad percibido, el monto del impuesto sobre la renta pagado por
dicha sociedad correspondiente al dividendo o utilidad percibido y además
cuenten con la constancia y el comprobante fiscal a que se refiere la fracción
XI del artículo 76 de esta Ley. Para estos efectos, el impuesto pagado por la
sociedad se determinará aplicando la tasa del artículo 9 de esta Ley, al
resultado de multiplicar el dividendo o utilidad percibido por el factor de
1.4286.
No obstante lo dispuesto en el párrafo anterior, las
personas físicas estarán sujetas a una tasa adicional del 10% sobre los
dividendos o utilidades distribuidos por las personas morales residentes en
México. Estas últimas, estarán obligadas a retener el impuesto cuando
distribuyan dichos dividendos o utilidades, y lo enterarán conjuntamente con el
pago provisional del periodo que corresponda. El pago realizado conforme a este
párrafo será definitivo.
En los supuestos a que se refiere la fracción III de
este artículo, el impuesto que retenga la persona moral se enterará a más
tardar en la fecha en que se presente o debió presentarse la declaración del
ejercicio correspondiente.
Se entiende que el ingreso lo percibe el propietario
del título valor y, en el caso de partes sociales, la persona que aparezca como
titular de las mismas.
Para los efectos de este artículo, también se
consideran dividendos o utilidades distribuidos, los siguientes:
I. Los
intereses a que se refieren los artículos 85 y 123 de la Ley General de
Sociedades Mercantiles y las participaciones en la utilidad que se paguen a
favor de obligacionistas u otros, por sociedades mercantiles residentes en
México o por sociedades nacionales de crédito.
II. Los
préstamos a los socios o accionistas, a excepción de aquéllos que reúnan los siguientes
requisitos:
a) Que sean
consecuencia normal de las operaciones de la persona moral.
b) Que se pacte
a plazo menor de un año.
c) Que el
interés pactado sea igual o superior a la tasa que fije la Ley de Ingresos de
la Federación para la prórroga de créditos fiscales.
d) Que
efectivamente se cumplan estas condiciones pactadas.
III. Las
erogaciones que no sean deducibles conforme a esta Ley y beneficien a los
accionistas de personas morales.
IV. Las
omisiones de ingresos o las compras no realizadas e indebidamente registradas.
V. La
utilidad fiscal determinada, inclusive presuntivamente, por las autoridades
fiscales.
VI. La
modificación a la utilidad fiscal derivada de la determinación de los ingresos
acumulables y de las deducciones, autorizadas en operaciones celebradas entre
partes relacionadas, hecha por dichas autoridades.
CAPÍTULO IX
DE LOS DEMÁS INGRESOS QUE OBTENGAN LAS
PERSONAS FÍSICAS
Artículo 141. Las personas físicas que obtengan ingresos distintos
de los señalados en los capítulos anteriores, los considerarán percibidos en el
monto en que al momento de obtenerlos incrementen su patrimonio, salvo en los
casos de los ingresos a que se refieren los artículos 143, fracción IV y 177 de
esta Ley, caso en el que se considerarán percibidos en el ejercicio fiscal en
el que las personas morales, entidades, fideicomisos, asociaciones en
participación, fondos de inversión o cualquier otra figura jurídica, cuyos
ingresos estén sujetos a regímenes fiscales preferentes, los acumularían si
estuvieran sujetas al Título II de esta Ley.
Artículo 142. Se entiende que, entre otros, son ingresos en los
términos de este Capítulo los siguientes:
I. El
importe de las deudas perdonadas por el acreedor o pagadas por otra persona.
II. La
ganancia cambiaria y los intereses provenientes de créditos distintos a los
señalados en el Capítulo VI del Título IV de esta Ley.
III. Las
prestaciones que se obtengan con motivo del otorgamiento de fianzas o avales,
cuando no se presten por instituciones legalmente autorizadas.
IV. Los
procedentes de toda clase de inversiones hechas en sociedades residentes en el
extranjero sin establecimiento permanente en el país, cuando no se trate de los
dividendos o utilidades a que se refiere la fracción V de este artículo.
V. Los
dividendos o utilidades distribuidos por sociedades residentes en el
extranjero. En el caso de reducción de capital o de liquidación de sociedades
residentes en el extranjero, el ingreso se determinará restando al monto del
reembolso por acción, el costo comprobado de adquisición de la acción
actualizado por el periodo comprendido desde el mes de la adquisición y hasta
aquél en el que se pague el reembolso. En estos casos será aplicable en lo
conducente el artículo 5 de esta Ley.
Las
personas físicas que perciben dividendos o utilidades referidos en esta
fracción, además de acumularlos para efectos de determinar el pago del impuesto
sobre la renta al que estuvieren obligados conforme a este Título, deberán
enterar de forma adicional, el impuesto sobre la renta que se cause por
multiplicar la tasa del 10%, al monto al cual tengan derecho del dividendo o
utilidad efectivamente distribuido por el residente en el extranjero, sin
incluir el monto del impuesto retenido que en su caso se hubiere efectuado. El
pago de este impuesto tendrá el carácter de definitivo y deberá ser enterado a
más tardar el día 17 del mes siguiente a aquél en el que se percibieron los
dividendos o utilidades.
VI. Los
derivados de actos o contratos por medio de los cuales, sin transmitir los
derechos respectivos, se permita la explotación de concesiones, permisos,
autorizaciones o contratos otorgados por la Federación, las entidades
federativas y los municipios, o los derechos amparados por las solicitudes en
trámite.
VII. Los que
provengan de cualquier acto o contrato celebrado con el superficiario para la
explotación del subsuelo.
VIII. Los
provenientes de la participación en los productos obtenidos del subsuelo por
persona distinta del concesionario, explotador o superficiario.
IX. Los
intereses moratorios, indemnizaciones por perjuicios y los ingresos derivados
de cláusulas penales o convencionales.
X. La parte
proporcional que corresponda al contribuyente del remanente distribuible que
determinen las personas morales a que se refiere el Título III de esta Ley,
siempre que no se hubiera pagado el impuesto a que se refiere el último párrafo
del artículo 79 de la misma Ley.
XI. Los que
perciban por derechos de autor, personas distintas a éste.
XII. Las
cantidades acumulables en los términos de la fracción II del artículo 185 de
esta Ley.
XIII. Las
cantidades que correspondan al contribuyente en su carácter de condómino o
fideicomisario de un bien inmueble destinado a hospedaje, otorgado en
administración a un tercero a fin de que lo utilice para hospedar a personas
distintas del contribuyente.
XIV. Los
provenientes de operaciones financieras derivadas y operaciones financieras a
que se refieren los artículos 16-A del Código Fiscal de la Federación y 21 de
esta Ley. Para estos efectos se estará a lo dispuesto en el artículo 146 de
esta Ley.
XV. Los
ingresos estimados en los términos de la fracción III del artículo 91 de esta
Ley y los determinados, inclusive presuntivamente por las autoridades fiscales,
en los casos en que proceda conforme a las leyes fiscales.
XVI. Las
cantidades que paguen las instituciones de seguros a los asegurados o a sus
beneficiarios, que no se consideren intereses ni indemnizaciones a que se
refiere la fracción XXI del artículo 93 y el artículo 133 de esta Ley,
independientemente del nombre con el que se les designe, siempre que la prima
haya sido pagada por el empleador, así como las que correspondan al excedente
determinado conforme al segundo párrafo de la fracción XXI del artículo 93 de
esta Ley. En este caso las instituciones de seguros deberán efectuar una
retención aplicando la tasa del 20% sobre el monto de las cantidades pagadas,
sin deducción alguna y expedir comprobante fiscal en el que conste el monto de
la operación, así como el impuesto retenido que fue enterado.
Párrafo reformado DOF 18-11-2015
Cuando
las personas no estén obligadas a presentar declaración anual, la retención
efectuada se considerará como pago definitivo. Cuando dichas personas opten por
presentar declaración del ejercicio, acumularán las cantidades a que se refiere
el párrafo anterior a sus demás ingresos, en cuyo caso podrán acreditar contra
el impuesto que resulte a su cargo, el monto de la retención efectuada en los
términos del párrafo anterior.
XVII. Los provenientes
de las regalías a que se refiere el artículo 15-B del Código Fiscal de la
Federación.
XVIII. Los ingresos
provenientes de planes personales de retiro o de la subcuenta de aportaciones
voluntarias a que se refiere la fracción V del artículo 151 de esta Ley, cuando
se perciban sin que el contribuyente se encuentre en los supuestos de invalidez
o incapacidad para realizar un trabajo remunerado, de conformidad con las leyes
de seguridad social, o sin haber llegado a la edad de 65 años, para estos efectos
se considerará como ingreso el monto total de las aportaciones que hubiese
realizado a dicho plan personal de retiro o a la subcuenta de aportaciones
voluntarias que hubiere deducido conforme al artículo 151, fracción V de esta
Ley, actualizadas, así como los intereses reales devengados durante todos los
años de la inversión, actualizados. Para determinar el impuesto por estos
ingresos se estará a lo siguiente:
a) El ingreso se
dividirá entre el número de años transcurridos entre la fecha de apertura del plan
personal de retiro y la fecha en que se obtenga el ingreso, sin que en ningún
caso exceda de cinco años.
b) El resultado
que se obtenga conforme a la fracción anterior, será la parte del ingreso que
se sumará a los demás ingresos acumulables del contribuyente en el ejercicio de
que se trate y se calculará, en los términos de este Título, el impuesto que
corresponda a los ingresos acumulables.
c) Por la parte
del ingreso que no se acumule conforme a la fracción anterior, se aplicará la
tasa del impuesto que corresponda en el ejercicio de que se trate a la
totalidad de los ingresos acumulables del contribuyente y el impuesto que así
resulte se adicionará al del citado ejercicio.
Cuando
hubiesen transcurrido más de cinco ejercicios desde la fecha de apertura del
plan personal de retiro o de la subcuenta de aportaciones voluntarias y la
fecha en que se obtenga el ingreso, el contribuyente deberá pagar el impuesto
sobre el ingreso aplicando la tasa de impuesto promedio que le correspondió al
mismo en los cinco ejercicios inmediatos anteriores a aquel en el que se
efectúe el cálculo. Para determinar la tasa de impuesto promedio a que se
refiere este párrafo, se sumarán los resultados expresados en por ciento que se
obtengan de dividir el impuesto determinado en cada ejercicio en que se haya
pagado este impuesto entre el ingreso gravable del mismo ejercicio, de los
cinco ejercicios anteriores y el resultado se dividirá entre cinco. El impuesto
que resulte conforme a este párrafo se sumará al impuesto que corresponda al
ejercicio que se trate y se pagará conjuntamente con este último.
Artículo 143. Tratándose de ganancia cambiaria y de los intereses a
que se refiere este Capítulo, se estará a las siguientes reglas:
I. Toda
percepción obtenida por el acreedor se entenderá aplicada en primer término a
intereses vencidos, excepto en los casos de adjudicación judicial para el pago
de deudas en los que se procederá como sigue:
a) Si el
acreedor recibe bienes del deudor, el impuesto se cubrirá sobre el total de los
intereses vencidos, siempre que su valor alcance a cubrir el capital y los
mencionados intereses.
b) Si los bienes
sólo cubren el capital adeudado, no se causará el impuesto sobre los intereses
cuando el acreedor declare que no se reserva derechos contra el deudor por los intereses
no pagados.
c) Si la
adjudicación se hace a un tercero, se consideran intereses vencidos la cantidad
que resulte de restar a las cantidades que reciba el acreedor, el capital
adeudado, siempre que el acreedor no se reserve derechos en contra del deudor.
Para
los efectos de esta fracción, las autoridades fiscales podrán tomar como valor
de los bienes el del avalúo que ordenen practicar o el valor que haya servido
de base para la primera almoneda.
II. El
perdón total o parcial, del capital o de los intereses adeudados, cuando el
acreedor no se reserve derechos en contra del deudor, da lugar al pago del
impuesto por parte del deudor sobre el capital y los intereses perdonados.
III. Cuando
provengan de créditos o de préstamos otorgados a residentes en México, serán
acumulables cuando se cobren en efectivo, en bienes o en servicios.
IV. Cuando
provengan de depósitos efectuados en el extranjero, o de créditos o préstamos
otorgados a residentes en el extranjero, serán acumulables conforme se
devenguen.
V. Tratándose
de créditos, de deudas o de operaciones que se encuentren denominados en
unidades de inversión, serán acumulables tanto los intereses como el ajuste que
se realice al principal por estar denominado en dichas unidades.
Los intereses percibidos en los términos de este
artículo, excepto los señalados en la fracción IV del mismo, serán acumulables
en los términos del artículo 134 de esta Ley. Cuando en términos del artículo
citado el ajuste por inflación sea mayor que los intereses obtenidos, el
resultado se considerará como pérdida.
La pérdida a que se refiere el párrafo anterior, así
como la pérdida cambiaria que en su caso obtenga el contribuyente, se podrá
disminuir de los intereses acumulables que perciba en los términos de este
Capítulo en el ejercicio en que ocurra o en los cuatro ejercicios posteriores a
aquél en el que se hubiera sufrido la pérdida.
Si el contribuyente no disminuye en un ejercicio las
pérdidas referidas en el párrafo anterior, de otros ejercicios, pudiéndolo
haber hecho conforme a este artículo, perderá el derecho a hacerlo en
ejercicios posteriores hasta por la cantidad en la que pudo haberlo efectuado.
Para los efectos de este Capítulo, el monto de la
pérdida cambiaria o la que derive de la diferencia a que se refiere el tercer
párrafo de este artículo, que no se disminuya en un ejercicio, se actualizará
multiplicándolo por el factor de actualización correspondiente al periodo
comprendido desde el primer mes de la segunda mitad del ejercicio en el que se
obtuvo y hasta el último mes del mismo ejercicio. La parte de estas pérdidas de
ejercicios anteriores ya actualizada pendiente de disminuir contra los
intereses o contra la ganancia cambiaria, se actualizará multiplicándola por el
factor de actualización correspondiente al periodo comprendido desde el mes de
diciembre del ejercicio en el que se actualizó por última vez y hasta el mes de
diciembre del ejercicio inmediato anterior a aquél en el que se aplicará.
Tratándose de los intereses a que se refiere la
fracción IV de este artículo, se acumulará el interés nominal y se estará a lo
dispuesto en el artículo 44 de esta Ley; para los efectos del cálculo del
ajuste por inflación a que se refiere dicho precepto no se considerarán las
deudas.
Artículo 144. Los contribuyentes que obtengan ingresos de
los señalados en el artículo 143 de esta Ley, por los mismos efectuarán dos
pagos provisionales semestrales a cuenta del impuesto anual excepto por los
comprendidos en la fracción IV del citado artículo. Dichos pagos se enterarán
en los meses de julio del mismo ejercicio y enero del año siguiente, aplicando
a los ingresos acumulables obtenidos en el semestre, la tarifa que se determine
tomando como base la tarifa del artículo 96 de esta Ley, sumando las cantidades
correspondientes a las columnas relativas al límite inferior, límite superior y
cuota fija, que en los términos de dicho artículo resulten para cada uno de los
meses comprendidos en el semestre por el que se efectúa el pago, pudiendo
acreditar en su caso, contra el impuesto a cargo, las retenciones que les
hubieran efectuado en el periodo de que se trate. Las autoridades fiscales
realizarán las operaciones aritméticas previstas en este párrafo y publicarán
la tarifa correspondiente en el Diario Oficial de la Federación.
Cuando los ingresos a que se refiere este artículo se
obtengan por pagos que efectúen las personas a que se refieren los Títulos II y
III de esta Ley, dichas personas deberán retener como pago provisional la
cantidad que resulte de aplicar al monto de los intereses y la ganancia
cambiaria acumulables, la tasa máxima para aplicarse sobre el excedente del
límite inferior que establece la tarifa contenida en el artículo 152 de esta
Ley.
Las personas que hagan la retención en los términos de
este artículo, deberán proporcionar a los contribuyentes constancia de la
retención. Dichas retenciones deberán enterarse, en su caso, conjuntamente con
las señaladas en el artículo 96 de la propia Ley.
Artículo 145. Los contribuyentes que obtengan en forma esporádica
ingresos de los señalados en este Capítulo, salvo aquéllos a que se refieren
los artículos 143 y 177 de esta Ley, cubrirán como pago provisional a cuenta
del impuesto anual, el monto que resulte de aplicar la tasa del 20% sobre el
ingreso percibido, sin deducción alguna. El pago provisional se hará mediante
declaración que presentarán ante las oficinas autorizadas dentro de los 15 días
siguientes a la obtención del ingreso.
Los contribuyentes que obtengan periódicamente
ingresos de los señalados en este Capítulo, salvo aquéllos a que se refieren
los artículos 143 y 177 de esta Ley, efectuarán pagos provisionales mensuales a
cuenta del impuesto anual, a más tardar el día 17 del mes inmediato posterior a
aquél al que corresponda el pago, mediante declaración que presentarán ante las
oficinas autorizadas. El pago provisional se determinará aplicando la tarifa
del artículo 96 de esta Ley a los ingresos obtenidos en el mes, sin deducción
alguna; contra dicho pago podrán acreditarse las cantidades retenidas en los
términos del siguiente párrafo.
Cuando los ingresos a que se refiere este Capítulo,
salvo aquéllos a que se refiere el artículo 143 de esta Ley, se obtengan por
pagos que efectúen las personas morales a que se refiere el Título II de esta
Ley, dichas personas deberán retener como pago provisional la cantidad que
resulte de aplicar la tasa del 20% sobre el monto de los mismos, sin deducción
alguna, debiendo proporcionar a los contribuyentes y comprobante fiscal en el
que conste la operación, así como el impuesto retenido; dichas retenciones
deberán enterarse, en su caso, conjuntamente con las señaladas en el artículo
96 de la propia Ley.
En el supuesto de los ingresos a que se refiere la
fracción X del artículo 142 de esta Ley, las personas morales retendrán, como
pago provisional, la cantidad que resulte de aplicar la tasa máxima para
aplicarse sobre el excedente del límite inferior que establece la tarifa
contenida en el artículo 152 de la misma sobre el monto del remanente
distribuible, el cual enterarán conjuntamente con la declaración señalada en el
artículo 96 de esta Ley o, en su caso, en las fechas establecidas para la
misma, y proporcionarán a los contribuyentes el comprobante fiscal en el que
conste el monto de la operación, así como el impuesto retenido.
Tratándose de los ingresos a que se refiere la
fracción XII del artículo 142 de esta Ley, las personas que efectúen los pagos
deberán retener como pago provisional la cantidad que resulte de aplicar sobre
el monto acumulable, la tasa máxima para aplicarse sobre el excedente del
límite inferior que establece la tarifa contenida en el artículo 152 de esta
Ley.
Los contribuyentes podrán solicitar les sea disminuido
el monto del pago provisional a que se refiere el párrafo anterior, siempre que
cumplan con los requisitos que para el efecto señale el Servicio de
Administración Tributaria mediante reglas de carácter general.
Las personas que efectúen las retenciones a que se
refieren los párrafos tercero, cuarto y quinto de este artículo, así como las
instituciones de crédito ante las cuales se constituyan las cuentas personales
para el ahorro a que se refiere el artículo 185 de esta Ley, deberán presentar
declaración ante las oficinas autorizadas, a más tardar el día 15 de febrero de
cada año, proporcionando la información correspondiente de las personas a las
que les hubieran efectuado retenciones en el año de calendario anterior,
debiendo aclarar en el caso de las instituciones de crédito, el monto que
corresponda al retiro que se efectúe de las citadas cuentas.
Cuando las personas que efectúen los pagos a que se
refiere la fracción XI del artículo 142 de esta Ley, paguen al contribuyente,
además, ingresos de los señalados en el Capítulo I de este Título, los ingresos
a que se refiere la citada fracción XI se considerarán como salarios para los
efectos de este Título.
En el caso de los ingresos a que se refiere la
fracción XIII del artículo 142 de esta Ley, las personas que administren el
bien inmueble de que se trate, deberán retener por los pagos que efectúen a los
condóminos o fideicomisarios, la cantidad que resulte de aplicar sobre el monto
de los mismos, la tasa máxima para aplicarse sobre el excedente del límite
inferior que establece la tarifa contenida en el artículo 152 de esta Ley;
dichas retenciones deberán enterarse, en su caso, conjuntamente con las
señaladas en el artículo 96 de la misma y tendrán el carácter de pago
definitivo.
Los contribuyentes a que se refiere el párrafo
anterior podrán optar por acumular los ingresos a que se refiere dicho párrafo
a los demás ingresos. En este caso, acumularán la cantidad que resulte de
multiplicar el monto de los ingresos efectivamente obtenidos por este concepto
una vez efectuada la retención correspondiente, por el factor 1.4286. Contra el
impuesto que se determine en la declaración anual, las personas físicas podrán
acreditar la cantidad que resulte de aplicar sobre el ingreso acumulable que se
determine conforme a este párrafo, la tasa máxima para aplicarse sobre el
excedente del límite inferior que establece la tarifa contenida en el artículo
152 de esta Ley.
Cuando las regalías a que se refiere la fracción XVII
del artículo 142 de esta Ley se obtengan por pagos que efectúen las personas
morales a que se refiere el Título II de la misma, dichas personas morales
deberán efectuar la retención aplicando sobre el monto del pago efectuado, sin
deducción alguna, la tasa máxima para aplicarse sobre el excedente del límite
inferior que establece la tarifa contenida en el artículo 152 de esta Ley, como
pago provisional. Dicha retención deberá enterarse, en su caso, conjuntamente
con las señaladas en el artículo 96 de esta Ley. Quien efectúe el pago deberá
proporcionar a los contribuyentes comprobante fiscal en el que conste el monto
de la operación, así como el impuesto retenido.
Artículo 146. Tratándose de los ingresos a que se refiere la
fracción XIV del artículo 142 de esta Ley, el interés y la ganancia o la
pérdida, acumulable o deducible, en las operaciones financieras derivadas de
deuda y de capital, así como en las operaciones financieras, se determinará
conforme a lo dispuesto en los artículos 20 y 21 de esta Ley, respectivamente.
Las casas de bolsa o las instituciones de crédito que
intervengan en las operaciones financieras derivadas a que se refiere el
artículo 16-A del Código Fiscal de la Federación, o, en su defecto, las
personas que efectúen los pagos a que se refiere este artículo deberán retener
como pago provisional el monto que se obtenga de aplicar la tasa del 25% sobre el
interés o la ganancia acumulable que resulte de las operaciones efectuadas
durante el mes, disminuidas de las pérdidas deducibles, en su caso, de las
demás operaciones realizadas durante el mes por la persona física con la misma
institución o persona. Estas instituciones o personas deberán proporcionar al
contribuyente comprobante fiscal en el que conste el monto de la operación, así
como el impuesto retenido y enterarán el impuesto retenido mensualmente, a más
tardar el día 17 del mes siguiente a aquél en el que se efectuó la retención,
de conformidad con el artículo 96 de esta Ley. No se estará obligado a efectuar
la retención a que se refiere este párrafo en el caso de las operaciones
financieras derivadas de capital que se realicen en los mercados reconocidos a
que se refieren las fracciones I y II del artículo 16-C del Código Fiscal de la
Federación.
Para efectos del pago y entero del impuesto sobre las
ganancias obtenidas por personas físicas provenientes de operaciones
financieras derivadas de capital referidas a acciones colocadas en bolsas de
valores concesionadas conforme a la Ley del Mercado de Valores, así como por
aquéllas referidas a índices accionarios que representen a las citadas
acciones, siempre que se realicen en los mercados reconocidos a que se refieren
las fracciones I y II del artículo 16-C del Código Fiscal de la Federación, se
aplicará lo dispuesto en el artículo 129 de esta Ley, sin que se deba efectuar
la retención a que se refiere el párrafo anterior.
Cuando en las operaciones de referencia la pérdida
para las personas físicas exceda a la ganancia o al interés obtenido por ella
en el mismo mes, la diferencia podrá ser disminuida de las ganancias o de los
intereses, en los meses siguientes que le queden al ejercicio, sin actualización,
hasta agotarla, y siempre que no haya sido disminuida anteriormente.
Se entiende para los efectos de este artículo, que la
ganancia obtenida es aquélla que se realiza al momento del vencimiento de la
operación financiera derivada, independientemente del ejercicio de los derechos
establecidos en la misma operación, o cuando se registre una operación
contraria a la original contratada de modo que ésta se cancele. La pérdida
generada será aquélla que corresponda a operaciones que se hayan vencido o cancelado
en los términos antes descritos.
Las instituciones de crédito, las casas de bolsa o las
personas que intervengan en las operaciones financieras derivadas, deberán
tener a disposición de las autoridades fiscales un reporte anual en donde se
muestre por separado la ganancia o la pérdida obtenida, por cada operación, por
cada uno de los contribuyentes personas físicas, así como el importe de la
retención efectuada, el nombre, clave del Registro Federal de Contribuyentes,
Clave Única de Registro de Población, de cada uno de ellos.
Las ganancias que obtenga el contribuyente deberán
acumularse en su declaración anual, pudiendo disminuirlas con las pérdidas
generadas en dichas operaciones por el ejercicio que corresponda y hasta por el
importe de las ganancias. Contra el impuesto que resulte a su cargo podrán
acreditar el impuesto que se les hubiera retenido en el ejercicio. Lo dispuesto
en este párrafo también será aplicable respecto de las operaciones financieras
a que se refiere el artículo 21 de esta Ley.
CAPÍTULO X
DE LOS REQUISITOS DE LAS DEDUCCIONES
Artículo 147. Las deducciones autorizadas en este Título para las
personas físicas que obtengan ingresos de los Capítulos III, IV y V de este
Título, deberán reunir los siguientes requisitos:
I. Que
sean estrictamente indispensables para la obtención de los ingresos por los que
se está obligado al pago de este impuesto.
II. Que
cuando esta Ley permita la deducción de inversiones se proceda en los términos
del artículo 149 de la misma. Tratándose de contratos de arrendamiento
financiero deberá estarse a lo dispuesto por el artículo 38 de esta Ley.
III. Que se
resten una sola vez, aun cuando estén relacionadas con la obtención de diversos
ingresos.
IV. Estar
amparada con el comprobante fiscal y que los pagos cuya contraprestación exceda
de $2,000.00, se efectúen mediante transferencia electrónicas de fondos desde
cuentas abiertas a nombre del contribuyente en instituciones que componen el
sistema financiero y las entidades que para tal efecto autorice el Banco de
México; cheque nominativo de la cuenta del contribuyente, tarjeta de crédito,
débito, de servicios, o a través de los denominados monederos electrónicos
autorizados por el Servicio de Administración Tributaria.
Los
pagos que en los términos de esta fracción deban efectuarse mediante cheque
nominativo del contribuyente, también podrán realizarse mediante traspasos de
cuentas en instituciones de crédito o casas de bolsa del propio contribuyente.
Las
autoridades fiscales podrán liberar de la obligación de pagar las erogaciones
en los medios establecidos en el primer párrafo de esta fracción, cuando las
mismas se efectúen en poblaciones o en zonas rurales sin servicios financieros.
Los
pagos se efectúen mediante cheque nominativo deberán contener, la clave en el
registro federal de contribuyentes de quien lo expide, así como en el anverso
del mismo la expresión "para abono en cuenta del beneficiario".
V. Que
estén debidamente registradas en contabilidad.
VI. Que los
pagos de primas por seguros o fianzas se hagan conforme a las leyes de la
materia y correspondan a conceptos que esta Ley señala como deducibles o que en
otras leyes se establezca la obligación de contratarlos y siempre que,
tratándose de seguros, durante la vigencia de la póliza no se otorguen
préstamos por parte de la aseguradora, a persona alguna, con garantía de las
sumas aseguradas, de las primas pagadas o de las reservas matemáticas.
VII. Que se
cumplan las obligaciones establecidas en esta Ley en materia de retención y
entero de impuestos a cargo de terceros o que, en su caso, se recabe de éstos
copia de los documentos en que conste el pago de dichos impuestos. Tratándose
de pagos al extranjero, sólo se podrán deducir siempre que el contribuyente
proporcione la información a que esté obligado en los términos del artículo 76,
fracción VI de esta Ley.
Los
pagos que a la vez sean ingresos en los términos del Capítulo I del Título IV,
de esta Ley, se podrán deducir siempre que las erogaciones por concepto de
remuneración, las retenciones correspondientes y las deducciones del impuesto
local por salarios y en general por la prestación de un servicio personal
independiente respectivas, conste en comprobante fiscal y se cumpla con las
obligaciones a que se refiere el artículo 99, fracciones I, II y V de la misma,
así como las disposiciones que, en su caso, regulen el subsidio para el empleo
y los contribuyentes cumplan con la obligación de inscribir a los trabajadores
en el Instituto Mexicano del Seguro Social cuando estén obligados a ello, en
los términos de las leyes de seguridad social.
VIII. Que al
realizar las operaciones correspondientes o a más tardar el último día del
ejercicio, se reúnan los requisitos que para cada deducción en lo particular
establece esta Ley. Tratándose únicamente del comprobante fiscal a que se
refiere el primer párrafo de la fracción IV de este artículo, éste se obtenga a
más tardar el día en que el contribuyente deba presentar su declaración del
ejercicio y la fecha de expedición del comprobante fiscal deberá corresponder
al ejercicio en el que se efectúa la deducción. Tratándose de las declaraciones
informativas a que se refieren los artículos 76 de esta Ley y 32, fracciones V
y VIII de la Ley del Impuesto al Valor Agregado, éstas se deberán presentar en
los plazos que al efecto establece el citado artículo 76 y contar a partir de
esa fecha con los comprobantes fiscales correspondientes.
IX. Que hayan
sido efectivamente erogadas en el ejercicio de que se trate. Se consideran
efectivamente erogadas cuando el pago haya sido realizado en efectivo, mediante
traspasos de cuentas en instituciones de crédito o casas de bolsa, en servicios
o en otros bienes que no sean títulos de crédito. Tratándose de pagos con
cheque, se considerará efectivamente erogado en la fecha en la que el mismo
haya sido cobrado o cuando los contribuyentes transmitan los cheques a un
tercero, excepto cuando dicha transmisión sea en procuración. Igualmente se
consideran efectivamente erogadas cuando el contribuyente entregue títulos de
crédito suscritos por una persona distinta. También se entiende que es
efectivamente erogado cuando el interés del acreedor queda satisfecho mediante
cualquier forma de extinción de las obligaciones.
Cuando
los pagos a que se refiere el párrafo anterior se efectúen con cheque, la
deducción se efectuará en el ejercicio en que éste se cobre, siempre que entre
la fecha consignada en el comprobante fiscal que se haya expedido y la fecha en
que efectivamente se cobre dicho cheque no hayan transcurrido más de cuatro meses,
excepto cuando ambas fechas correspondan al mismo ejercicio.
Se
presume que la suscripción de títulos de crédito por el contribuyente, diversos
al cheque, constituye garantía del pago del precio o contraprestación pactada
por la actividad empresarial o por el servicio profesional. En estos casos, se
entenderá recibido el pago cuando efectivamente se realice, o cuando los
contribuyentes transmitan a un tercero los títulos de crédito, excepto cuando
dicha transmisión sea en procuración.
Tratándose
de intereses pagados en los años anteriores a aquél en el que se inicie la
explotación de los bienes dados en arrendamiento, éstos se podrán deducir,
procediendo como sigue:
Se
sumarán los intereses pagados de cada mes del ejercicio correspondientes a cada
uno de los ejercicios improductivos restándoles en su caso el ajuste anual por
inflación deducible a que se refiere el artículo 44 de esta Ley. La suma
obtenida para cada ejercicio improductivo se actualizará con el factor de
actualización correspondiente desde el último mes de la primera mitad del
ejercicio de que se trate y hasta el último mes de la primera mitad del
ejercicio en que empiecen a producir ingresos el bien o los bienes de que se
trate.
Los
intereses actualizados para cada uno de los ejercicios, calculados conforme al
párrafo anterior, se sumarán y el resultado así obtenido se dividirá entre el
número de años improductivos. El cociente que se obtenga se adicionará a los
intereses a cargo en cada uno de los años productivos y el resultado así
obtenido será el monto de intereses deducibles en el ejercicio de que se trate.
En
los años siguientes al primer año productivo, el cociente obtenido conforme al
párrafo anterior se actualizará desde el último mes de la primera mitad del
ejercicio en que se empezó a tener ingresos y hasta el último mes de la primera
mitad del ejercicio en el que se deducen. Este procedimiento se hará hasta
amortizar el total de dichos intereses.
X. Que el
costo de adquisición declarado o los intereses que se deriven de créditos
recibidos por el contribuyente, correspondan a los de mercado. Cuando excedan
del precio de mercado no será deducible el excedente.
XI. Que
tratándose de las inversiones no se les dé efectos fiscales a su revaluación.
XII. Que en el
caso de adquisición de bienes de importación, se compruebe que se cumplieron
los requisitos legales para su importación definitiva. Se considerará como
monto de dicha adquisición el que haya sido declarado con motivo de la
importación.
XIII. Que se
deduzcan conforme se devenguen las pérdidas cambiarias provenientes de deudas o
créditos en moneda extranjera.
El
monto del ajuste anual por inflación deducible en los términos del párrafo
anterior, se determinará de conformidad con lo previsto en el artículo 44 de
esta Ley.
XIV. Que cuando
los pagos cuya deducción se pretenda, se hagan a contribuyentes que causen el
impuesto al valor agregado, dicho impuesto se traslade en forma expresa y por
separado en el comprobante fiscal.
XV. Que
tratándose de pagos efectuados por concepto de salarios y en general por la
prestación de un servicio personal subordinado a trabajadores que tengan
derecho al subsidio para el empleo, efectivamente se entreguen las cantidades
que por dicho subsidio les correspondan a sus trabajadores y se dé cumplimiento
a los requisitos a que se refieren los preceptos que, en su caso, regulen el
subsidio para el empleo, salvo cuando no se esté obligado a ello en los
términos de las disposiciones citadas.
Artículo 148. Para los efectos de este Capítulo, no serán
deducibles:
I. Los
pagos por impuesto sobre la renta a cargo del propio contribuyente o de
terceros ni los de contribuciones en la parte subsidiada o que originalmente
correspondan a terceros, conforme a las disposiciones relativas, excepto tratándose
de aportaciones pagadas al Instituto Mexicano del Seguro Social a cargo de los
patrones.
Tampoco
serán deducibles las cantidades provenientes del subsidio para el empleo que
entregue el contribuyente, en su carácter de retenedor, a las personas que le
presten servicios personales subordinados ni los accesorios de las
contribuciones, a excepción de los recargos que el contribuyente hubiere pagado
efectivamente, inclusive mediante compensación.
II. Las
inversiones en casas habitación, en comedores que por su naturaleza no estén a
disposición de todos los trabajadores de la empresa, en aviones y
embarcaciones, que no tengan concesión o permiso del Gobierno Federal para ser
explotados comercialmente ni los pagos por el uso o goce temporal de dichos bienes.
III. En ningún
caso serán deducibles las inversiones o los pagos por el uso o goce temporal de
automóviles.
IV. Los
donativos y gastos de representación.
V. Las
sanciones, indemnizaciones por daños y perjuicios o las penas convencionales.
Las indemnizaciones por daños y perjuicios y las penas convencionales, podrán
deducirse cuando la Ley imponga la obligación de pagarlas por provenir de
riesgos creados, responsabilidad objetiva, caso fortuito, fuerza mayor o por
actos de terceros, salvo que los daños y los perjuicios o la causa que dio
origen a la pena convencional, se haya originado por culpa imputable al
contribuyente.
VI. Los
salarios, comisiones y honorarios, pagados por quien concede el uso o goce
temporal de bienes inmuebles en un año de calendario, en el monto en que
excedan, en su conjunto, del 10% de los ingresos anuales obtenidos por conceder
el uso o goce temporal de bienes inmuebles.
VII. Los
intereses pagados por el contribuyente que correspondan a inversiones de las
que no se estén derivando ingresos acumulables por los que se pueda efectuar
esta deducción.
En el
caso de capitales tomados en préstamo para la adquisición de inversiones o la
realización de gastos o cuando las inversiones o gastos se efectúen a crédito,
y dichas inversiones o gastos no sean deducibles para los efectos de esta Ley,
los intereses que se deriven de los capitales tomados en préstamo o de las
operaciones a crédito, tampoco serán deducibles. Si las inversiones o los
gastos, fueran parcialmente deducibles, los intereses sólo serán deducibles en
esa proporción, incluso los determinados conforme a lo previsto en el artículo
44 de esta Ley.
Para
los efectos de lo dispuesto en esta fracción, se considera pago de interés las
cantidades que por concepto de impuestos, derechos o que por cualquier otro
concepto se paguen por cuenta de quien obtiene el interés, o bien cualquier
otro pago, en efectivo o en especie, que se haga por cualquier concepto a quien
perciba el interés, siempre que dicho pago derive del mismo contrato que dio
origen al pago de intereses.
VIII. Los pagos
por conceptos de impuesto al valor agregado o del impuesto especial sobre
producción y servicios que el contribuyente hubiese efectuado y el que le
hubieran trasladado. No se aplicará lo dispuesto en esta fracción, cuando el
contribuyente no tenga derecho al acreditamiento de
los mencionados impuestos que le hubieran sido trasladados o que se hubiese
pagado con motivo de la importación de bienes o servicios, que corresponden a
gastos o inversiones deducibles en los términos de esta Ley.
Tampoco
será deducible el impuesto al valor agregado o el impuesto especial sobre
producción y servicios, trasladado al contribuyente o el que él hubiese pagado
con motivo de la importación de bienes o servicios, cuando la erogación que dio
origen al traslado o al pago no sea deducible en los términos de esta Ley.
IX. Las
pérdidas derivadas de la enajenación, así como por caso fortuito o fuerza
mayor, de los activos cuya inversión no es deducible conforme a lo dispuesto
por esta Ley.
Tampoco
será deducible la pérdida derivada de la enajenación de títulos valor, siempre
que sean de los que se coloquen entre el gran público inversionista, conforme a
las reglas generales que al efecto expida el Servicio de Administración
Tributaria.
X. Los
gastos que se realicen en relación con las inversiones que no sean deducibles
conforme a este Título.
XI. Las
pérdidas que se obtengan en las operaciones financieras derivadas y en las
operaciones a las que se refiere el artículo 21 de esta Ley, cuando se celebren
con personas físicas o morales residentes en México o en el extranjero, que
sean partes relacionadas en los términos del artículo 90 de esta Ley, cuando
los términos convenidos no correspondan a los que se hubieren pactado con o
entre partes independientes en operaciones comparables.
Fracción reformada DOF 18-11-2015
XII. Los
consumos en bares o restaurantes. Tampoco serán deducibles los gastos en
comedores que por su naturaleza no estén a disposición de todos los trabajadores
de la empresa y aun cuando lo estén, éstos excedan de un monto equivalente a un
salario mínimo general diario del área geográfica del contribuyente por cada
trabajador que haga uso de los mismos y por cada día en que se preste el
servicio, adicionado con las cuotas de recuperación que pague el trabajador por
este concepto.
El
límite que establece esta fracción no incluye los gastos relacionados con la
prestación de servicio de comedor como son, el mantenimiento de laboratorios o
especialistas que estudien la calidad e idoneidad de los alimentos servidos en
los comedores a que se refiere el párrafo anterior.
XIII. Los pagos
por servicios aduaneros, distintos de los honorarios de agentes aduanales y de
los gastos en que incurran dichos agentes o la persona moral constituida por
dichos agentes aduanales en los términos de la Ley Aduanera.
XIV. Los pagos
de cantidades iniciales por el derecho de adquirir o vender, bienes, divisas,
acciones u otros títulos valor que no coticen en mercados reconocidos, de acuerdo
con lo establecido por el artículo 16-C del Código Fiscal de la Federación, y
que no se hubiera ejercido, siempre que se trate de partes contratantes que
sean relacionadas en los términos del artículo 179 de esta Ley.
XV. La
restitución efectuada por el prestatario por un monto equivalente a los
derechos patrimoniales de los títulos recibidos en préstamo.
XVI. Las
cantidades que tengan el carácter de participación en la utilidad del
contribuyente o estén condicionadas a la obtención de ésta, ya sea que
correspondan a trabajadores, a miembros del consejo de administración, a
obligacionistas o a otros.
Artículo 149. Las inversiones cuya deducción autoriza este Título,
excepto las reguladas por el Capítulo II Secciones I o II del mismo, únicamente
podrán deducirse mediante la aplicación anual sobre el monto de las mismas y
hasta llegar a este límite, de los siguientes por cientos:
I. 5% para
construcciones.
II. 10% para
gastos de instalación.
III. 30% para
equipo de cómputo electrónico, consistente en una máquina o grupo de máquinas
interconectadas conteniendo unidades de entrada, almacenamiento, computación,
control y unidades de salida, usando circuitos electrónicos en los elementos
principales para ejecutar operaciones aritméticas o lógicas en forma automática
por medio de instrucciones programadas, almacenadas internamente o controladas
externamente, así como para el equipo periférico de dicho equipo de cómputo,
tal como unidades de discos ópticos, impresoras, lectores ópticos, graficadores, unidades de respaldo, lectores de código de
barras, digitalizadores, unidades de almacenamiento externo, así como monitores
y teclados conectados a un equipo de cómputo.
IV. 10% para
equipo y bienes muebles tangibles, no comprendidas en las fracciones anteriores.
Cuando el contribuyente enajene los bienes o cuando
éstos dejen de ser útiles para obtener los ingresos, deducirán, en el año de
calendario en que esto ocurra, la parte aún no deducida. En el caso en que los
bienes dejen de ser útiles para obtener los ingresos, el contribuyente deberá
presentar aviso ante las autoridades fiscales y mantener sin deducción un peso
en sus registros. Lo dispuesto en este párrafo no es aplicable a los casos
señalados en el artículo 31 de esta Ley.
El monto de la inversión se determinará de conformidad
con lo dispuesto en el segundo párrafo del artículo 31 de esta Ley.
Cuando el monto de la inversión sea superior al valor
de mercado de los bienes o al avalúo que ordenen practicar o practiquen las
autoridades fiscales, se tomará el valor inferior para efectos de la deducción.
La deducción de las inversiones a que se refiere este
artículo, se actualizará en los términos del séptimo párrafo del artículo 31 de
esta Ley y aplicando lo dispuesto en los párrafos primero, quinto, sexto y
octavo del mismo artículo.
Cuando no se pueda separar del costo del inmueble, la
parte que corresponda a las construcciones, se considerará como costo del
terreno el 20% del total.
CAPÍTULO XI
DE LA DECLARACIÓN ANUAL
Artículo 150. Las personas físicas que obtengan ingresos en un año
de calendario, a excepción de los exentos y de aquéllos por los que se haya
pagado impuesto definitivo, están obligadas a pagar su impuesto anual mediante
declaración que presentarán en el mes de abril del año siguiente, ante las
oficinas autorizadas.
Podrán optar por no presentar la declaración a que se
refiere el párrafo anterior, las personas físicas que únicamente obtengan
ingresos acumulables en el ejercicio por los conceptos señalados en los
Capítulos I y VI de este Título, cuya suma no exceda de $400,000.00, siempre
que los ingresos por concepto de intereses reales no excedan de $100,000.00 y
sobre dichos ingresos se haya aplicado la retención a que se refiere el primer
párrafo del artículo 135 de esta Ley.
En la declaración a que se refiere el primer párrafo
de este artículo, los contribuyentes que en el ejercicio que se declara hayan
obtenido ingresos totales, incluyendo aquéllos por los que no se esté obligado
al pago de este impuesto y por los que se pagó el impuesto definitivo,
superiores a $500,000.00 deberán declarar la totalidad de sus ingresos,
incluidos aquéllos por los que no se esté obligado al pago de este impuesto en
los términos de las fracciones XVII, XIX, inciso a) y XXII del artículo 93 de
esta Ley y por los que se haya pagado impuesto definitivo en los términos del
artículo 138 de la misma.
Los contribuyentes que obtengan ingresos por la
prestación de un servicio personal subordinado, estarán a lo dispuesto en el
artículo 98 de esta Ley.
Artículo 151. Las personas físicas residentes en el país que
obtengan ingresos de los señalados en este Título, para calcular su impuesto
anual, podrán hacer, además de las deducciones autorizadas en cada Capítulo de
esta Ley que les correspondan, las siguientes deducciones personales:
I. Los pagos
por honorarios médicos, dentales y por servicios profesionales en materia de
psicología y nutrición prestados por personas con título profesional legalmente
expedido y registrado por las autoridades educativas competentes, así como los
gastos hospitalarios, efectuados por el contribuyente para sí, para su cónyuge
o para la persona con quien viva en concubinato y para sus ascendientes o
descendientes en línea recta, siempre que dichas personas no perciban durante
el año de calendario ingresos en cantidad igual o superior a la que resulte de
calcular el salario mínimo general del área geográfica del contribuyente
elevado al año, y se efectúen mediante cheque nominativo del contribuyente,
transferencias electrónicas de fondos, desde cuentas abiertas a nombre del
contribuyente en instituciones que componen el sistema financiero y las
entidades que para tal efecto autorice el Banco de México o mediante tarjeta de
crédito, de débito, o de servicios.
Párrafo reformado DOF 30-11-2016
Las
autoridades fiscales podrán liberar de la obligación de pagar las erogaciones a
través de los medios establecidos en el párrafo anterior, cuando las mismas se
efectúen en poblaciones o en zonas rurales sin servicios financieros.
Para
efectos del párrafo anterior, también serán deducibles los pagos efectuados por
honorarios médicos, dentales o de enfermería, por análisis, estudios clínicos o
prótesis, gastos hospitalarios, compra o alquiler de aparatos para el
establecimiento o rehabilitación del paciente, derivados de las incapacidades a
que se refiere el artículo 477 de la Ley Federal del Trabajo, cuando se cuente
con el certificado o la constancia de incapacidad correspondiente expedida por
las instituciones públicas del Sistema Nacional de Salud, o los que deriven de
una discapacidad en términos de lo dispuesto por la Ley General para la
Inclusión de las Personas con Discapacidad y se cuente con el certificado de
reconocimiento y calificación de discapacidad emitido por las citadas instituciones
públicas conforme a esta última Ley. Lo dispuesto en este párrafo no estará
sujeto al límite establecido en el último párrafo de este artículo.
Párrafo adicionado DOF 18-11-2015
En el
caso de incapacidad temporal o incapacidad permanente parcial, o bien, de
discapacidad, la deducción a que se refiere el párrafo anterior sólo será
procedente cuando dicha incapacidad o discapacidad, sea igual o mayor a un 50%
de la capacidad normal.
Párrafo adicionado DOF 18-11-2015
Para
efectos de la deducción a que se refiere el segundo párrafo de esta fracción,
el comprobante fiscal digital correspondiente deberá contener la especificación
de que los gastos amparados con el mismo están relacionados directamente con la
atención de la incapacidad o discapacidad de que se trate. Adicionalmente, el
Servicio de Administración Tributaria, mediante reglas de carácter general,
podrá establecer otros requisitos que deberá contener el comprobante fiscal
digital por Internet.
Párrafo adicionado DOF 18-11-2015
II. Los
gastos de funerales en la parte en que no excedan del salario mínimo general
del área geográfica del contribuyente elevado al año, efectuados para las
personas señaladas en la fracción que antecede.
III. Los
donativos no onerosos ni remunerativos, que satisfagan los requisitos previstos
en esta Ley y en las reglas generales que para el efecto establezca el Servicio
de Administración Tributaria y que se otorguen en los siguientes casos:
a) A la
Federación, a las entidades federativas o los municipios, a sus organismos
descentralizados que tributen conforme al Título III de la presente Ley, así
como a los organismos internacionales de los que México sea miembro de pleno
derecho, siempre que los fines para los que fueron creados, correspondan a las
actividades por las que se puede obtener autorización para recibir donativos
deducibles de impuestos.
b) A las
entidades a las que se refiere el sexto párrafo del artículo 82 de esta Ley.
c) A las
entidades a que se refieren los artículos 79, fracción XIX y 82 de esta Ley.
d) A las
personas morales a las que se refieren las fracciones VI, X, XI, XX y XXV del
artículo 79 de esta Ley y que cumplan con los requisitos establecidos en el
artículo 82 de la misma Ley.
e) A las
asociaciones y sociedades civiles que otorguen becas y cumplan con los
requisitos del artículo 83 de esta Ley.
f) Se deroga.
Inciso derogado DOF 08-12-2020
El
Servicio de Administración Tributaria publicará en el Diario Oficial de la
Federación y dará a conocer en su página electrónica de Internet los datos de
las instituciones a que se refieren los incisos b), c), d) y e) de esta
fracción que reúnan los requisitos antes señalados.
Tratándose
de donativos otorgados a instituciones de enseñanza serán deducibles siempre
que sean establecimientos públicos o de propiedad de particulares que tengan
autorización o reconocimiento de validez oficial de estudios en los términos de
la Ley General de Educación, se destinen a la adquisición de bienes de
inversión, a la investigación científica o desarrollo de tecnología, así como a
gastos de administración hasta por el monto, en este último caso, que señale el
Reglamento de esta Ley; se trate de donaciones no onerosas ni remunerativas,
conforme a las reglas generales que al efecto determine la Secretaría de
Educación Pública, y dichas instituciones no hayan distribuido remanentes a sus
socios o integrantes en los últimos cinco años.
El
monto total de los donativos a que se refiere esta fracción será deducible
hasta por una cantidad que no exceda del 7% de los ingresos acumulables que
sirvan de base para calcular el impuesto sobre la renta a cargo del
contribuyente en el ejercicio inmediato anterior a aquél en el que se efectúe
la deducción, antes de aplicar las deducciones a que se refiere el presente
artículo. Cuando se realicen donativos a favor de la Federación, de las
entidades federativas, de los municipios, o de sus organismos descentralizados,
el monto deducible no podrá exceder del 4% de los ingresos acumulables a que se
refiere este párrafo, sin que en ningún caso el límite de la deducción
tratándose de estos donativos, y de los realizados a donatarias autorizadas
distintas, exceda del 7% citado.
Cuando
se otorguen donativos entre partes relacionadas, la donataria no podrá
contratar con su parte relacionada que le efectúo el donativo, la prestación de
servicios, la enajenación, o el otorgamiento del uso o goce temporal de bienes.
En caso contrario, el donante deberá considerar el monto de la deducción
efectuada por el donativo correspondiente como un ingreso acumulable para
efectos del cálculo del impuesto sobre la renta, actualizado desde la fecha en
que se aplicó la deducción y hasta el momento en que se lleve a cabo su
acumulación.
IV. Los
intereses reales efectivamente pagados en el ejercicio por créditos
hipotecarios destinados a la adquisición de su casa habitación contratados con
las instituciones integrantes del sistema financiero, siempre que el monto
total de los créditos otorgados por dicho inmueble no exceda de setecientas
cincuenta mil unidades de inversión. Para estos efectos, se considerarán como
intereses reales el monto en el que los intereses efectivamente pagados en el
ejercicio excedan al ajuste anual por inflación del mismo ejercicio y se
determinará aplicando en lo conducente lo dispuesto en el tercer párrafo del
artículo 134 de esta Ley, por el periodo que corresponda.
Los
integrantes del sistema financiero, a que se refiere el párrafo anterior,
deberán expedir comprobante fiscal en el que conste el monto del interés real
pagado por el contribuyente en el ejercicio de que se trate, en los términos
que se establezca en las reglas que al efecto expida el Servicio de
Administración Tributaria.
V. Las aportaciones complementarias de retiro realizadas directamente en
la subcuenta de aportaciones complementarias de retiro, en los términos de la
Ley de los Sistemas de Ahorro para el Retiro o a las cuentas de planes
personales de retiro, así como las aportaciones voluntarias realizadas a la
subcuenta de aportaciones voluntarias, siempre que en este último caso dichas
aportaciones cumplan con los requisitos de permanencia establecidos para los
planes de retiro conforme al segundo párrafo de esta fracción. El monto de la
deducción a que se refiere esta fracción será de hasta el 10% de los ingresos acumulables
del contribuyente en el ejercicio, sin que dichas aportaciones excedan del
equivalente a cinco salarios mínimos generales del área geográfica del
contribuyente elevados al año.
Para
los efectos del párrafo anterior, se consideran planes personales de retiro,
aquellas cuentas o canales de inversión, que se establezcan con el único fin de
recibir y administrar recursos destinados exclusivamente para ser utilizados
cuando el titular llegue a la edad de 65 años o en los casos de invalidez o
incapacidad del titular para realizar un trabajo personal remunerado de
conformidad con las leyes de seguridad social, siempre que sean administrados
en cuentas individualizadas por instituciones de seguros, instituciones de
crédito, casas de bolsa, administradoras de fondos para el retiro o sociedades
operadoras de fondos de inversión con autorización para operar en el país, y
siempre que obtengan autorización previa del Servicio de Administración
Tributaria. En el caso de que los planes personales de retiro sean contratados
de manera colectiva, se deberá identificar a cada una de las personas físicas
que integran dichos planes, además de cumplir con los requisitos que para tal
efecto establezca el Servicio de Administración Tributaria mediante reglas de
carácter general. En estos casos, cada persona física estará sujeta al monto de
la deducción a que se refiere el párrafo anterior.
Párrafo reformado DOF 18-11-2015,
30-11-2016
Cuando
los recursos invertidos en las subcuentas de aportaciones complementarias de
retiro, en las subcuentas de aportaciones voluntarias o en los planes
personales de retiro, así como los rendimientos que ellos generen, se retiren
antes de que se cumplan los requisitos establecidos en esta fracción, el retiro
se considerará ingreso acumulable en los términos del Capítulo IX de este
Título.
En el
caso de fallecimiento del titular del plan personal de retiro, el beneficiario
designado o el heredero, estarán obligados a acumular a sus demás ingresos del
ejercicio, los retiros que efectúe de la cuenta o canales de inversión, según
sea el caso.
VI. Las
primas por seguros de gastos médicos, complementarios o independientes de los
servicios de salud proporcionados por instituciones públicas de seguridad
social, siempre que el beneficiario sea el propio contribuyente, su cónyuge o
la persona con quien vive en concubinato, o sus ascendientes o descendientes,
en línea recta.
VII. Los gastos
destinados a la transportación escolar de los descendientes en línea recta
cuando ésta sea obligatoria en los términos de las disposiciones jurídicas del
área donde la escuela se encuentre ubicada o cuando para todos los alumnos se
incluya dicho gasto en la colegiatura. Para estos efectos, se deberá separar en
el comprobante el monto que corresponda por concepto de transportación escolar
y se efectúen mediante cheque nominativo del contribuyente, transferencias
electrónicas de fondos, desde cuentas abiertas a nombre del contribuyente en
instituciones que componen el sistema financiero y las entidades que para tal efecto
autorice el Banco de México o mediante tarjeta de crédito, de débito, o de
servicios.
Las
autoridades fiscales podrán liberar de la obligación de pagar las erogaciones a
través de los medios establecidos en el párrafo anterior, cuando las mismas se
efectúen en poblaciones o en zonas rurales sin servicios financieros.
VIII. Los pagos
efectuados por concepto del impuesto local sobre ingresos por salarios y en
general por la prestación de un servicio personal subordinado, siempre que la
tasa de dicho impuesto no exceda del 5%.
Para determinar el área geográfica del contribuyente
se atenderá al lugar donde se encuentre su casa habitación al 31 de diciembre
del año de que se trate. Las personas que a la fecha citada tengan su domicilio
fuera del territorio nacional, atenderán al área geográfica correspondiente al
Distrito Federal.
Para que procedan las deducciones a que se refieren
las fracciones I y II que anteceden, se deberá acreditar mediante comprobantes
fiscales, que las cantidades correspondientes fueron efectivamente pagadas en
el año de calendario de que se trate a instituciones o personas residentes en
el país. Si el contribuyente recupera parte de dichas cantidades, únicamente
deducirá la diferencia no recuperada.
Los requisitos de las deducciones establecidas en el
Capítulo X de este Título no son aplicables a las deducciones personales a que
se refiere este artículo.
El monto total de las deducciones que podrán efectuar
los contribuyentes en los términos de este artículo, no podrá exceder de la
cantidad que resulte menor entre cinco salarios mínimos generales elevados al
año, o del 15% del total de los ingresos del contribuyente, incluyendo aquéllos
por los que no se pague el impuesto. Lo dispuesto en este párrafo no será
aplicable tratándose de las fracciones III y V de este artículo.
Párrafo reformado DOF 18-11-2015
Artículo 152. Las personas físicas calcularán el impuesto del
ejercicio sumando, a los ingresos obtenidos conforme a los Capítulos I, III,
IV, V, VI, VIII y IX de este Título, después de efectuar las deducciones
autorizadas en dichos Capítulos, la utilidad gravable determinada conforme a
las Secciones I o II del Capítulo II de este Título, al resultado obtenido se
le disminuirá, en su caso, las deducciones a que se refiere el artículo 151 de
esta Ley. A la cantidad que se obtenga se le aplicará la siguiente:

No será aplicable lo dispuesto en este artículo a los
ingresos por los que no se esté obligado al pago del impuesto y por los que ya
se pagó impuesto definitivo.
Contra el impuesto anual calculado en los términos de
este artículo, se podrán efectuar los siguientes acreditamientos:
I. El
importe de los pagos provisionales efectuados durante el año de calendario.
II. El
impuesto acreditable en los términos de los artículos 5, 140 y 145, penúltimo
párrafo, de esta Ley.
En los casos en los que el impuesto a cargo del
contribuyente sea menor que la cantidad que se acredite en los términos de este
artículo, únicamente se podrá solicitar la devolución o efectuar la compensación
del impuesto efectivamente pagado o que le hubiera sido retenido. Para los
efectos de la compensación a que se refiere este párrafo, el saldo a favor se
actualizará por el periodo comprendido desde el mes inmediato anterior en el
que se presentó la declaración que contenga el saldo a favor y hasta el mes
inmediato anterior al mes en el que se compense.
Cuando la inflación observada acumulada desde el
último mes que se utilizó en el cálculo de la última actualización de las
cantidades establecidas en moneda nacional de las tarifas contenidas en este
artículo y en el artículo 96 de esta Ley, exceda del 10%, dichas cantidades se
actualizarán por el periodo comprendido desde el último mes que se utilizó en
el cálculo de la última actualización y hasta el último mes del ejercicio en el
que se exceda el porcentaje citado. Para estos efectos, se aplicará el factor
de actualización que resulte de dividir el Índice Nacional de Precios al
Consumidor del mes inmediato anterior al más reciente del periodo, entre el Índice
Nacional de Precios al Consumidor correspondiente al último mes que se utilizó
en el cálculo de la última actualización. Dicha actualización entrará en vigor
a partir del 1 de enero del ejercicio siguiente en el que se haya presentado el
mencionado incremento.
TÍTULO V
DE LOS RESIDENTES EN EL EXTRANJERO CON
INGRESOS PROVENIENTES DE FUENTE DE RIQUEZA UBICADA EN TERRITORIO NACIONAL
Artículo 153. Están obligados al pago del impuesto sobre la renta
conforme a este Título, los residentes en el extranjero que obtengan ingresos
en efectivo, en bienes, en servicios o en crédito, aun cuando hayan sido
determinados presuntivamente por las autoridades fiscales, en los términos de
los artículos 58-A del Código Fiscal de la Federación, 11, 179 y 180 de esta
Ley, provenientes de fuentes de riqueza situadas en territorio nacional, cuando
no tengan un establecimiento permanente en el país o cuando teniéndolo, los
ingresos no sean atribuibles a éste. Se considera que forman parte de los
ingresos mencionados en este párrafo, los pagos efectuados con motivo de los
actos o actividades a que se refiere este Título, que beneficien al residente
en el extranjero, inclusive cuando le eviten una erogación, pagos a los cuales
les resultarán aplicables las mismas disposiciones que a los ingresos que los
originaron.
Cuando los residentes en el extranjero obtengan los
ingresos a que se refiere el párrafo anterior a través de un fideicomiso
constituido de conformidad con las leyes mexicanas, en el que sean
fideicomisarios o fideicomitentes, la fiduciaria determinará el monto gravable
de dichos ingresos de cada residente en el extranjero en los términos de este
Título y deberá efectuar las retenciones del impuesto que hubiesen procedido de
haber obtenido ellos directamente dichos ingresos. Tratándose de fideicomisos
emisores de títulos colocados entre el gran público inversionista, serán los
depositarios de valores quienes deberán retener el impuesto por los ingresos
que deriven de dichos títulos.
Cuando la persona que haga alguno de los pagos a que
se refiere este Título cubra por cuenta del contribuyente el impuesto que a
éste corresponda, el importe de dicho impuesto se considerará ingreso de los
comprendidos en este Título y se aplicarán las disposiciones que correspondan
con el tipo de ingreso por el cual se pagó el impuesto.
Cuando en los términos del presente Título esté
previsto que el impuesto se pague mediante retención, el retenedor estará
obligado a enterar una cantidad equivalente a la que debió haber retenido en la
fecha de la exigibilidad o al momento en que efectúe el pago, lo que suceda
primero. Tratándose de contraprestaciones efectuadas en moneda extranjera, el
impuesto se enterará haciendo la conversión a moneda nacional en el momento en
que sea exigible la contraprestación o se pague. Para los efectos de este
Título, tendrá el mismo efecto que el pago, cualquier otro acto jurídico por
virtud del cual el deudor extingue la obligación de que se trate.
El impuesto que corresponda pagar en los términos de
este Título se considerará como definitivo y se enterará mediante declaración
que se presentará ante las oficinas autorizadas.
No se estará obligado a efectuar el pago del impuesto
en los términos de este Título, cuando se trate de ingresos por concepto de
intereses, ganancias de capital, así como por el otorgamiento del uso o goce
temporal de terrenos o construcciones adheridas al suelo ubicados en territorio
nacional, que deriven de las inversiones efectuadas por fondos de pensiones y
jubilaciones, constituidos en los términos de la legislación del país de que se
trate, siempre que dichos fondos sean los beneficiarios efectivos de tales
ingresos y que estos últimos se encuentren exentos del impuesto sobre la renta
en ese país.
Para los efectos de este artículo, se entenderá por
ganancias de capital, los ingresos provenientes de la enajenación de acciones
cuyo valor provenga en más de un 50% de terrenos y construcciones adheridas al
suelo, ubicados en el país, así como los provenientes de la enajenación de
dichos bienes.
Lo dispuesto en el párrafo anterior, se aplicará a los
terrenos y construcciones adheridas al suelo, siempre que dichos bienes hayan
sido otorgados en uso o goce temporal por los fondos de pensiones y
jubilaciones citados, durante un periodo no menor de cuatro años antes de su
enajenación.
Cuando los fondos de pensiones y jubilaciones
participen como accionistas en personas morales, cuyos ingresos totales
provengan al menos en un 90% exclusivamente de la enajenación o del
otorgamiento del uso o goce temporal de terrenos y construcciones adheridas al
suelo, ubicados en el país, y de la enajenación de acciones cuyo valor provenga
en más de un 50% de terrenos y construcciones adheridas al suelo, ubicados en
el país, dichas personas morales estarán exentas, en la proporción de la
tenencia accionaria o de la participación, de dichos fondos en la persona
moral, siempre que se cumplan las condiciones previstas en los párrafos
anteriores. Lo dispuesto en este párrafo también será aplicable cuando dichos
fondos participen como asociados en una asociación en participación.
Para efectos del cálculo del 90% referido en el
párrafo anterior, las personas morales que tengan como accionistas a fondos de
pensiones y jubilaciones del extranjero, que cumplan con los requisitos
establecidos en este artículo, podrán excluir de los ingresos totales, el
ajuste anual por inflación acumulable y la ganancia cambiaria que deriven
exclusivamente de las deudas contratadas para la adquisición o para obtener
ingresos por el otorgamiento del uso o goce temporal de terrenos o de
construcciones adheridas al suelo, ubicados en el país.
No será aplicable la exención prevista en el párrafo
sexto de este artículo, cuando la contraprestación pactada por el otorgamiento
del uso o goce de bienes inmuebles esté determinada en función de los ingresos
del arrendatario.
No obstante lo dispuesto en este artículo, los fondos
de pensiones o jubilaciones del extranjero y las personas morales en las que
éstos participen como accionistas estarán obligados al pago del impuesto sobre
la renta en términos de la presente Ley, cuando obtengan ingresos por la
enajenación o adquisición de terrenos y construcciones adheridas al suelo que
tengan registrados como inventario.
Artículo 154. Tratándose de los ingresos por salarios y en general
por la prestación de un servicio personal subordinado, se considerará que la
fuente de riqueza se encuentra en territorio nacional cuando el servicio se
preste en el país.
El impuesto se determinará aplicando al ingreso
obtenido las tasas siguientes:
I. Se
estará exento por los primeros $125,900.00 obtenidos en el año de calendario de
que se trate.
II. Se
aplicará la tasa del 15% a los ingresos percibidos en el año de calendario de
que se trate que excedan del monto señalado en la fracción que antecede y que
no sean superiores a $1,000,000.00.
III. Se
aplicará la tasa del 30% a los ingresos percibidos en el año de calendario de
que se trate que excedan de $1,000,000.00.
La persona que efectúe los pagos deberá también
efectuar la retención del impuesto si es residente en el país o residente en el
extranjero con un establecimiento permanente en México con el que se relacione el
servicio. En los demás casos, el contribuyente enterará el impuesto
correspondiente mediante declaración que presentará ante las oficinas
autorizadas dentro de los quince días siguientes a la obtención del ingreso.
En el caso de la fracción VII del artículo 94 de esta
Ley, se considerará que se obtiene el ingreso en el año de calendario en el que
se haya ejercido la opción de compra de las acciones o títulos valor que
representen la propiedad de bienes.
Cuando el ingreso de que se trate se perciba por
periodos de doce meses en los términos del séptimo párrafo de este artículo y
dichos periodos no coincidan con el año calendario, se aplicarán las tasas
previstas en las fracciones anteriores, en función del periodo de doce meses en
lugar del año de calendario.
Para los efectos de lo dispuesto en este artículo y el
artículo 156 de esta Ley, los contribuyentes podrán garantizar el pago del
impuesto sobre la renta que pudiera causarse con motivo de la realización de
sus actividades en territorio nacional, mediante depósito en las cuentas a que
se refiere la fracción I del artículo 141 del Código Fiscal de la Federación.
Se exceptúan del pago del impuesto a que se refiere
este artículo, por los ingresos por salarios y en general por la prestación de
un servicio personal subordinado, pagados por residentes en el extranjero,
personas físicas o morales, que no tengan establecimiento permanente en el país
o que teniéndolo, el servicio no esté relacionado con dicho establecimiento,
siempre que la estancia del prestador del servicio en territorio nacional sea
menor a 183 días naturales, consecutivos o no, en un periodo de doce meses.
No será aplicable lo dispuesto en el párrafo anterior,
cuando quien paga el servicio tenga algún establecimiento en territorio
nacional con el que se relacione dicho servicio, aun cuando no constituya
establecimiento permanente en los términos de los artículos 3, 168 y 170, de
esta Ley, así como cuando el prestador del servicio al citado establecimiento
reciba pagos complementarios de residentes en el extranjero, en consideración a
servicios prestados por los que haya obtenido ingresos sujetos a retención
conforme al tercer párrafo de este artículo.
El contribuyente que se encuentre obligado a pagar el
impuesto en los términos de este artículo, estará obligado a continuar
pagándolo, mientras no demuestre que ha permanecido por más de 183 días consecutivos
fuera de territorio nacional.
Artículo 155. Tratándose de ingresos por jubilaciones, pensiones,
haberes de retiro, así como las pensiones vitalicias u otras formas de retiro,
incluyendo las provenientes de la subcuenta del seguro de retiro o de la
subcuenta de retiro, cesantía en edad avanzada y vejez prevista en la Ley del
Seguro Social, las provenientes de la cuenta individual del sistema de ahorro
para el retiro prevista en la Ley del Instituto de Seguridad y Servicios
Sociales de los Trabajadores del Estado, y los ingresos derivados del beneficio
previsto en la Ley de Pensión Universal, se considerará que la fuente de
riqueza se encuentra en territorio nacional cuando los pagos se efectúen por
residentes en el país o establecimientos permanentes en territorio nacional o
cuando las aportaciones se deriven de un servicio personal subordinado que haya
sido prestado en territorio nacional.
El impuesto se determinará aplicando al ingreso
obtenido las tasas siguientes:
I. Se
estará exento por los primeros $125,900.00 obtenidos en el año de calendario de
que se trate.
II. Se
aplicará la tasa de 15% sobre los ingresos percibidos en el año de calendario
de que se trate que excedan del monto señalado en la fracción que antecede y
que no sean superiores a $1,000,000.00.
III. Se
aplicará la tasa de 30% sobre los ingresos percibidos en el año de calendario
de que se trate que excedan de $1,000,000.00.
La persona que efectúe los pagos a que se refiere este
artículo, deberá realizar la retención del impuesto si es residente en el país
o residente en el extranjero con un establecimiento permanente en México. En
los demás casos, el contribuyente enterará el impuesto correspondiente mediante
declaración que presentará ante las oficinas autorizadas dentro de los quince
días siguientes a aquél en el que se obtenga el ingreso.
Artículo 156. Tratándose de ingresos por honorarios y en general por
la prestación de un servicio personal independiente, se considerará que la
fuente de riqueza se encuentra en territorio nacional cuando el servicio se
preste en el país. Se presume que el servicio se presta totalmente en México
cuando se pruebe que parte del mismo se presta en territorio nacional, salvo
que el contribuyente demuestre la parte del servicio que prestó en el
extranjero, en cuyo caso, el impuesto se calculará sobre la parte de la
contraprestación que corresponda a la proporción en que el servicio se prestó
en México.
También se presume, salvo prueba en contrario, que el
servicio se presta en territorio nacional cuando los pagos por dicho servicio
se hagan por un residente en territorio nacional o un residente en el
extranjero con establecimiento permanente en el país a un residente en el
extranjero que sea su parte relacionada en los términos del artículo 179 de
esta Ley.
El impuesto se determinará aplicando la tasa del 25%
sobre el total del ingreso obtenido, sin deducción alguna, debiendo efectuar la
retención del impuesto la persona que haga los pagos si es residente en el país
o residente en el extranjero con un establecimiento permanente en México con el
que se relacione el servicio. En los demás casos, el contribuyente enterará el
impuesto correspondiente mediante declaración que presentará ante las oficinas
autorizadas dentro de los quince días siguientes a aquél en el que se obtenga el
ingreso.
Los contribuyentes que perciban ingresos de los
señalados en este precepto, tendrán la obligación de expedir comprobante
fiscal.
Se exceptúan del pago del impuesto a que se refiere
este artículo, los ingresos por honorarios y en general por la prestación de un
servicio personal independiente, pagados por residentes en el extranjero,
personas físicas o morales, que no tengan establecimiento permanente en el país
o que teniéndolo, el servicio no esté relacionado con dicho establecimiento,
siempre que la estancia del prestador del servicio en territorio nacional sea
menor a 183 días naturales, consecutivos o no, en un periodo de doce meses.
No será aplicable lo dispuesto en el párrafo anterior,
cuando quien paga el servicio tenga algún establecimiento en territorio
nacional con el que se relacione dicho servicio, aun cuando no constituya
establecimiento permanente en los términos de los artículos 3, 168 y 170 de
esta Ley, así como cuando el prestador del servicio al citado establecimiento
reciba pagos complementarios de residentes en el extranjero, en consideración a
servicios prestados por los que haya obtenido ingresos sujetos a retención
conforme al tercer párrafo de este artículo.
El contribuyente que se encuentre obligado a pagar el
impuesto en los términos de este artículo, estará obligado a continuar
pagándolo mientras no demuestre que ha permanecido por más de 183 días
consecutivos fuera de territorio nacional.
Artículo 157. Tratándose de las remuneraciones de cualquier clase
que reciban los miembros de consejos directivos, de vigilancia, consultivos o
de cualquier otra índole, así como los honorarios a administradores, comisarios
y gerentes generales se considerará que la fuente de riqueza se encuentra en territorio
nacional cuando los mismos sean pagados en el país o en el extranjero, por
empresas residentes en México.
El impuesto se determinará aplicando la tasa del 25%
sobre el total del ingreso obtenido, sin deducción alguna, debiendo efectuar la
retención las sociedades que hagan los pagos.
Artículo 158. En los ingresos por otorgar el uso o goce temporal de
bienes inmuebles, se considerará que la fuente de riqueza se encuentra en
territorio nacional cuando en el país estén ubicados dichos bienes.
También se considerarán ingresos de los que se refiere
el párrafo anterior, las contraprestaciones que obtiene un residente en el
extranjero por conceder el derecho de uso o goce y demás derechos que se
convengan sobre un bien inmueble ubicado en el país, aun cuando dichas
contraprestaciones se deriven de la enajenación o cesión de los derechos
mencionados.
Para efectos de los párrafos anteriores, el impuesto
se determinará aplicando la tasa del 25% sobre el ingreso obtenido, sin
deducción alguna, debiendo efectuar la retención las personas que hagan los
pagos. En el caso de que quien efectúe los pagos sea un residente en el
extranjero, el impuesto lo enterará mediante declaración que presenten ante las
autoridades fiscales dentro de los quince días siguientes a la obtención del
ingreso.
Los contribuyentes que obtengan ingresos de los
señalados en los párrafos primero y segundo de este artículo, tendrán la
obligación de expedir comprobante fiscal por las contraprestaciones recibidas.
Cuando dichos ingresos sean percibidos a través de operaciones de fideicomiso,
será la institución fiduciaria quien expida el comprobante fiscal y efectúe la
retención a que se refiere el párrafo anterior.
En los ingresos por otorgar el uso o goce temporal de
bienes muebles, se considerará que la fuente de riqueza se encuentra en
territorio nacional, cuando los bienes muebles destinados a actividades
agrícolas, ganaderas y de pesca, se utilicen en el país. Se presume, salvo
prueba en contrario, que los bienes muebles se destinan a estas actividades y
se utilizan en el país, cuando el que usa o goza el bien es residente en México
o residente en el extranjero con establecimiento permanente en territorio
nacional. En el caso de que los bienes muebles se destinen a actividades
distintas de las anteriores, cuando en el país se haga la entrega material de
los bienes muebles.
Párrafo reformado DOF 09-12-2019
Para los efectos del párrafo anterior, el impuesto se
determinará aplicando la tasa del 25% sobre el ingreso obtenido, sin deducción
alguna, debiendo efectuar la retención las personas que hagan los pagos.
Párrafo reformado DOF 09-12-2019
Lo dispuesto en los dos párrafos anteriores no es
aplicable a los bienes muebles a que se refiere el artículo 166 de esta Ley.
Párrafo reformado DOF 09-12-2019
En los ingresos derivados de contratos de fletamento,
salvo que estos correspondan al arrendamiento de equipo comercial, industrial o
científico, se considerará que la
fuente de riqueza se encuentra en territorio nacional, cuando las embarcaciones
fletadas realicen navegación de cabotaje en territorio nacional. En este caso,
el impuesto se determinará aplicando la tasa del 10% sobre el ingreso obtenido,
sin deducción alguna, debiendo efectuar la retención la persona que haga los
pagos.
Párrafo reformado DOF 09-12-2019
Artículo 159. Tratándose de ingresos que correspondan a residentes
en el extranjero que se deriven de un contrato de servicio turístico de tiempo
compartido, se considerará que la fuente de riqueza se encuentra en territorio
nacional cuando en el país estén ubicados uno o varios de los bienes inmuebles
que se destinen total o parcialmente a dicho servicio.
Para los efectos de este artículo, se consideran como
contratos de servicio turístico de tiempo compartido, aquéllos que se encuentren
al menos en alguno de los siguientes supuestos:
I. Otorgar
el uso o goce o el derecho a ocupar o disfrutar en forma temporal o en forma
definitiva, uno o varios bienes inmuebles o parte de los mismos que se destinen
a fines turísticos, vacacionales, recreativos, deportivos o cualquier otro,
incluyendo en su caso, otros derechos accesorios.
II. Prestar
el servicio de hospedaje u otro similar en uno o varios bienes inmuebles o
parte de los mismos, que se destinen a fines turísticos, vacacionales, recreativos,
deportivos o cualquier otro fin, incluyendo en su caso otros derechos
accesorios, durante un periodo específico a intervalos previamente
establecidos, determinados o determinables.
III. Enajenar
membresías o títulos similares, cualquiera que sea el nombre con el que se les
designe, que permitan el uso, goce, disfrute u hospedaje de uno o varios bienes
inmuebles o de parte de los mismos, que se destinen a fines turísticos,
vacacionales, recreativos, deportivos o cualquier otro.
IV. Otorgar
uno o varios bienes inmuebles, ubicados en territorio nacional, en
administración a un tercero, a fin de que lo utilice en forma total o parcial
para hospedar, albergar o dar alojamiento en cualquier forma, a personas
distintas del contribuyente, así como otros derechos accesorios, en su caso,
durante un periodo específico a intervalos previamente establecidos,
determinados o determinables.
El o los bienes inmuebles a que se refiere este
artículo, pueden ser una unidad cierta considerada en lo individual o una unidad
variable dentro de una clase determinada.
El impuesto se determinará aplicando la tasa del 25%
sobre el total del ingreso obtenido por el beneficiario efectivo residente en
el extranjero, sin deducción alguna, debiendo efectuar la retención, el prestatario
si es residente en el país o residente en el extranjero con establecimiento
permanente en el país; de lo contrario, el contribuyente enterará el impuesto
correspondiente mediante declaración que presentará ante las oficinas
autorizadas dentro de los quince días siguientes a la obtención del ingreso.
Los contribuyentes que tengan representante en el país que reúnan los
requisitos establecidos en el artículo 174 de esta Ley, podrán optar por
aplicar sobre la utilidad obtenida, la tasa máxima para aplicarse sobre el
excedente del límite inferior que establece la tarifa contenida en el artículo
152 de esta Ley, siempre que dicho representante tenga los estados financieros
dictaminados, o los contenidos en la declaración informativa sobre su situación
fiscal a disposición de las autoridades fiscales.
El ingreso obtenido o la utilidad obtenida a que se
refiere el párrafo anterior, serán los que se obtengan de multiplicar el
cociente que resulte de dividir el valor de los bienes inmuebles del
contribuyente y de sus partes relacionadas ubicados en México, entre el valor
de la totalidad de los bienes inmuebles del contribuyente y de sus partes
relacionadas, afectos a dicha prestación, por el ingreso mundial obtenido o por
la utilidad mundial determinada, antes del pago del impuesto sobre la renta,
del residente en el extranjero, según sea el caso, obtenidos por la prestación
del servicio turístico de tiempo compartido.
Para los efectos de este artículo, el valor de los
bienes inmuebles a que se refiere el párrafo anterior será el contenido en los
estados financieros dictaminados o los contenidos en la declaración informativa
sobre la situación fiscal del contribuyente y de sus partes relacionadas, al
cierre del ejercicio inmediato anterior.
El impuesto sobre la utilidad a que se refiere este
artículo se enterará por el contribuyente mediante declaración que presentará,
en las oficinas autorizadas, dentro de los quince días siguientes a la
obtención del ingreso.
Cuando la persona que efectúe los pagos a que se refiere
este artículo sea residente en el extranjero, el contribuyente enterará el
impuesto mediante declaración que presentará, en las oficinas autorizadas,
dentro de los 15 días siguientes a la obtención del ingreso.
Artículo 160. En los ingresos por enajenación de bienes inmuebles,
se considerará que la fuente de riqueza se ubica en territorio nacional cuando
en el país se encuentren dichos bienes.
El impuesto se determinará aplicando la tasa del 25%
sobre el total del ingreso obtenido, sin deducción alguna, debiendo efectuar la
retención el adquirente si éste es residente en el país o residente en el
extranjero con establecimiento permanente en el país; de lo contrario, el
contribuyente enterará el impuesto correspondiente mediante declaración que presentará
ante las oficinas autorizadas dentro de los quince días siguientes a la
obtención del ingreso.
Los contribuyentes que tengan representantes en el
país que reúnan los requisitos establecidos en el artículo 174 de esta Ley, y
siempre que la enajenación se consigne en escritura pública o se trate de
certificados de participación inmobiliaria no amortizables, podrán optar por
aplicar sobre la ganancia obtenida, la tasa máxima para aplicarse sobre el
excedente del límite inferior que establece la tarifa contenida en el artículo
152 de la presente Ley; para estos efectos, la ganancia se determinará en los
términos del Capítulo IV del Título IV de esta Ley, sin deducir las pérdidas a
que se refiere el último párrafo del artículo 121 de la misma. Cuando la enajenación
se consigne en escritura pública el representante deberá comunicar al fedatario
que extienda la escritura, las deducciones a que tiene derecho su representado.
Si se trata de certificados de participación inmobiliaria no amortizables, el
representante calculará el impuesto que resulte y lo enterará mediante
declaración en la oficina autorizada que corresponda a su domicilio dentro de
los quince días siguientes a la obtención del ingreso. Los notarios, jueces,
corredores y demás fedatarios, que por disposición legal tengan funciones
notariales, calcularán el impuesto bajo su responsabilidad, lo harán constar en
la escritura y lo enterarán mediante declaración en las oficinas autorizadas
que correspondan a su domicilio, dentro de los quince días siguientes a la
fecha en que se firma la escritura. En los casos a que se refiere este párrafo
se presentará declaración por todas las enajenaciones aun cuando no haya
impuesto a enterar. Dichos fedatarios, dentro de los quince días siguientes a
aquél en que se firme la escritura o minuta, deberán presentar ante las
oficinas autorizadas, la información que al efecto establezca el Código Fiscal
de la Federación respecto de las operaciones realizadas en el ejercicio
inmediato anterior.
En las enajenaciones que se consignen en escritura
pública no se requerirá representante en el país para ejercer la opción a que
se refiere el párrafo anterior.
Cuando las autoridades fiscales practiquen avalúo y
éste exceda en más de un 10% de la contraprestación pactada por la enajenación,
el total de la diferencia se considerará ingreso del adquirente residente en el
extranjero, y el impuesto se determinará aplicando la tasa del 25% sobre el
total de la diferencia, sin deducción alguna, debiendo enterarlo el
contribuyente mediante declaración que presentará ante las oficinas autorizadas
dentro de los quince días siguientes a la notificación que efectúen las
autoridades fiscales.
Tratándose de adquisiciones a título gratuito, el
impuesto se determinará aplicando la tasa del 25% sobre el total del valor del
avalúo del inmueble, sin deducción alguna; dicho avalúo deberá practicarse por
persona autorizada por las autoridades fiscales. Se exceptúan del pago de dicho
impuesto los ingresos que se reciban como donativos a que se refiere el
artículo 93, fracción XXIII, inciso a), de esta Ley.
Cuando en las enajenaciones que se consignen en
escritura pública se pacte que el pago se hará en parcialidades en un plazo
mayor a 18 meses, el impuesto que se cause se podrá pagar en la medida en que
sea exigible la contraprestación y en la proporción que a cada una corresponda,
siempre que se garantice el interés fiscal. El impuesto se pagará el día 15 del
mes siguiente a aquél en que sea exigible cada uno de los pagos.
Artículo 161. Tratándose de la enajenación de acciones o de títulos
valor que representen la propiedad de bienes, se considerará que la fuente de
riqueza se encuentra ubicada en territorio nacional, cuando sea residente en
México la persona que los haya emitido o cuando el valor contable de dichas
acciones o títulos valor provenga directa o indirectamente en más de un 50% de
bienes inmuebles ubicados en el país.
Se dará el tratamiento de enajenación de acciones o
títulos valor que representen la propiedad de bienes, a la enajenación de las
participaciones en la asociación en participación. Para estos efectos, se
considerará que la fuente de riqueza se encuentra ubicada en territorio
nacional, cuando a través de la asociación en participación de que se trate se
realicen actividades empresariales total o parcialmente en México.
Se dará el tratamiento de enajenación de acciones a
los ingresos que se deriven de la constitución del usufructo o del uso de
acciones o títulos valor a que se refiere el primer párrafo de este artículo, o
de la cesión de los derechos de usufructuario relativos a dichas acciones o
títulos valor. También se considerarán ingresos comprendidos en este párrafo
los derivados de actos jurídicos en los que se transmita, parcial o totalmente,
el derecho a percibir los rendimientos de las acciones o títulos valor. En
estos casos, los contribuyentes que obtengan ingresos previstos en este párrafo
no podrán optar por calcular el impuesto sobre la ganancia, en los términos de
este artículo.
El impuesto se determinará aplicando la tasa del 25%
sobre el monto total de la operación, sin deducción alguna.
La retención deberá efectuarse por el adquirente si
éste es residente en el país o residente en el extranjero con establecimiento
permanente en México. En caso distinto, el contribuyente enterará el impuesto
correspondiente mediante declaración que presentará ante las oficinas
autorizadas dentro de los quince días siguientes a la obtención del ingreso.
Los contribuyentes que tengan representante en el país
que reúna los requisitos establecidos en el artículo 174 de esta Ley y sean
residentes en el extranjero cuyos ingresos no estén sujetos a un régimen fiscal
preferente de conformidad con esta Ley o no sean residentes en un país en el
que rige un sistema de tributación territorial, podrán optar por aplicar sobre
la ganancia obtenida, la tasa máxima para aplicarse sobre el excedente del
límite inferior que establece la tarifa contenida en el artículo 152 de esta
Ley; para estos efectos, la ganancia se determinará conforme a lo señalado en
el Capítulo IV del Título IV de esta Ley, sin deducir las pérdidas a que se
refiere el último párrafo del artículo 121 de la misma. En este caso, el
representante calculará el impuesto que resulte y lo enterará mediante
declaración en la oficina autorizada que corresponda a su domicilio dentro de
los quince días siguientes a la obtención del ingreso.
Los contribuyentes que ejerzan la opción a que se
refieren los párrafos anteriores, deberán presentar un dictamen formulado por
contador público registrado ante las autoridades fiscales, en los términos que
señale el Reglamento de esta Ley y las reglas de carácter general que al efecto
emita el Servicio de Administración Tributaria, en el que se indique que el
cálculo del impuesto se realizó de acuerdo con las disposiciones fiscales.
Asimismo, deberá acompañarse, como anexo del dictamen, copia de la designación
del representante legal.
Para los efectos del párrafo anterior, tratándose de
operaciones entre partes relacionadas, el contador público deberá informar en
el dictamen el valor contable de las acciones que se enajenan, señalando la
forma en que consideró los elementos a que se refiere el inciso e) de la
fracción I del artículo 179 de esta Ley, en la determinación del precio de
venta de las acciones enajenadas.
Cuando el contador público no dé cumplimiento a lo
dispuesto en este artículo, se hará acreedor a las sanciones previstas en el
Código Fiscal de la Federación.
Tratándose de ingresos por la enajenación de acciones
emitidas por sociedades mexicanas que se realice a través de las bolsas de
valores concesionadas o mercados de derivados reconocidos en los términos de la
Ley del Mercado de Valores, y siempre que dichas acciones sean de las que se
coloquen entre el gran público inversionista conforme a dichas reglas
generales, o de acciones emitidas por sociedades extranjeras cotizadas en
dichas bolsas de valores o mercados de derivados, o títulos que representen
dichas acciones o índices accionarios que se enajenen en dichas bolsas de
valores o mercados de derivados, incluidas las enajenaciones que se realicen
mediante operaciones financieras derivadas de capital señaladas en el artículo
16-A del Código Fiscal de la Federación, referidas a acciones colocadas en
bolsas de valores concesionadas o en mercados de derivados reconocidos en
términos de la citada Ley o a índices accionarios que representen a las citadas
acciones, el impuesto se pagará mediante retención que efectuará el
intermediario del mercado de valores, aplicando la tasa del 10% sobre la
ganancia proveniente de la enajenación de dichas acciones o títulos. Para estos
efectos, la determinación de la ganancia proveniente de la enajenación de
acciones o títulos, se realizará por cada transacción, utilizando el
procedimiento de cálculo establecido en los párrafos tercero y cuarto del
artículo 129 de esta Ley, según corresponda, sin deducir las pérdidas a que se
refiere el párrafo noveno de dicho artículo.
Para efectos del pago del impuesto a que se refiere el
párrafo anterior, el intermediario del mercado de valores efectuará la
retención y entero del impuesto que corresponda ante las oficinas autorizadas,
a más tardar el día 17 del mes inmediato siguiente a aquél en el que se efectúe
la enajenación correspondiente. La retención o el entero del impuesto que se
efectúe tendrá el carácter de pago definitivo del impuesto por la ganancia
derivada de dicha enajenación. No se estará obligado al pago del impuesto por
la enajenación cuando el contribuyente sea residente en un país con el que se
tenga en vigor un tratado para evitar la doble imposición. Para estos efectos,
el contribuyente deberá entregar al intermediario un escrito bajo protesta de
decir verdad, en el que señale que es residente para efectos del tratado y
deberá proporcionar su número de registro o identificación fiscal emitida por
autoridad fiscal competente. En caso de que el residente en el extranjero no
entregue esta información, el intermediario deberá efectuar la retención que
corresponda en términos del párrafo anterior.
Lo dispuesto en el párrafo décimo y décimo primero no
será aplicable a los casos previstos en el último párrafo del artículo 129 de
esta Ley. En dichos casos se deberá aplicar la tasa máxima para aplicarse sobre
el excedente del límite inferior que establece la tarifa contenida en el
artículo 152 de esta Ley sobre la ganancia obtenida, que se determinará
conforme a lo señalado en el Capítulo IV del Título IV de esta Ley, sin deducir
las pérdidas a que se refiere el último párrafo del artículo 121 de la misma.
Párrafo reformado DOF 18-11-2015
En el caso de la enajenación de acciones emitidas por
fondos de inversión de renta variable, el impuesto se pagará mediante retención
que efectuará la distribuidora de acciones de fondos de inversión, aplicando la
tasa del 10% sobre la ganancia proveniente de dicha enajenación. La
determinación de la ganancia proveniente de la enajenación de acciones emitidas
por fondos de inversión de renta variable se realizará de conformidad con lo
establecido en el artículo 88 de esta Ley, sin deducir las pérdidas a que se
refiere el párrafo sexto de dicho artículo. La retención o el entero del
impuesto que se efectúe tendrá el carácter de pago definitivo del impuesto por
la ganancia derivada de dicha enajenación. En el caso de fondos de inversión de
renta variable a que se refiere el artículo 80 de esta Ley, se estará a lo
dispuesto en el artículo 166 de la misma.
Párrafo reformado DOF 18-11-2015
En el caso de adquisición por parte de residentes en
el extranjero de acciones o títulos valor que representen la propiedad de
bienes a que se refiere el primer párrafo de este artículo, las autoridades
fiscales podrán practicar avalúo de la operación de que se trate y si éste
excede en más de un 10% de la contraprestación pactada por la enajenación, el
total de la diferencia se considerará ingreso del adquirente, en cuyo caso se
incrementará su costo por adquisición de bienes con el total de la diferencia
citada. El impuesto se determinará aplicando, sobre el total de la diferencia
sin deducción alguna, la tasa máxima para aplicarse sobre el excedente del
límite inferior que establece la tarifa contenida en el artículo 152 de esta
Ley, debiéndolo enterar el contribuyente mediante declaración que presentará
ante las oficinas autorizadas dentro de los quince días siguientes a la
notificación que efectúen las autoridades fiscales, con la actualización y los
recargos correspondientes. Lo dispuesto en este párrafo será aplicable
independientemente de la residencia del enajenante.
En las adquisiciones a título gratuito, el impuesto se
determinará aplicando la tasa del 25% sobre el valor total de avalúo de las
acciones o partes sociales, sin deducción alguna; dicho avalúo deberá
practicarse por persona autorizada por las autoridades fiscales. Se exceptúan del
pago de dicho impuesto los ingresos que se reciban como donativos a que se
refiere el artículo 93, fracción XXIII, inciso a), de esta Ley.
Tratándose de valores que sean de los que se coloquen
entre el gran público inversionista conforme a las reglas generales que al
efecto expida el Servicio de Administración Tributaria cuando se enajenen fuera
de bolsa, las autoridades fiscales considerarán la cotización bursátil del
último hecho del día de la enajenación, en vez del valor del avalúo.
Tratándose de reestructuraciones de sociedades
pertenecientes a un grupo, las autoridades fiscales podrán autorizar el
diferimiento del pago del impuesto derivado de la ganancia en la enajenación de
acciones dentro de dicho grupo. En este caso, el pago del impuesto diferido se
realizará dentro de los 15 días siguientes a la fecha en que se efectúe una
enajenación posterior con motivo de la cual las acciones a que se refiera la
autorización correspondiente queden fuera del grupo, actualizado desde que el
mismo se causó y hasta que se pague. El valor de enajenación de las acciones
que deberá considerarse para determinar la ganancia será el que se hubiese
utilizado entre partes independientes en operaciones comparables, o bien
tomando en cuenta el valor que mediante avalúo practiquen las autoridades
fiscales.
Las autorizaciones a que se refiere este artículo
solamente se otorgarán con anterioridad a la reestructuración, y siempre que la
contraprestación que derive de la enajenación, únicamente consista en el canje
de acciones emitidas por la sociedad adquirente de las acciones que trasmite,
así como que el enajenante o el adquirente no estén sujetos a un régimen fiscal
preferente o residan en un país con el que México no tenga en vigor un acuerdo
amplio de intercambio de información tributaria. Si el enajenante o el
adquirente residen en un país con el que México no tiene en vigor un acuerdo
amplio de intercambio de información tributaria, se podrá obtener la
autorización a que se refiere este párrafo, siempre que el contribuyente
presente un escrito donde conste que ha autorizado a las autoridades fiscales
extranjeras a proporcionar a las autoridades mexicanas información sobre la
operación para efectos fiscales. La autorización que se emita de conformidad
con lo dispuesto en este párrafo quedará sin efectos cuando no se intercambie
efectivamente la información mencionada que, en su caso, se solicite al país de
que se trate. Las autorizaciones a que se refiere este párrafo, podrán estar
condicionadas al cumplimiento de los requisitos que para tal efecto se
establezcan en el Reglamento de esta Ley.
Tratándose de las reestructuraciones antes referidas,
el contribuyente deberá nombrar un representante legal en los términos de este
Título y presentar, ante las autoridades fiscales, un dictamen formulado por
contador público registrado ante dichas autoridades, en los términos que señale
el Reglamento de esta Ley y las reglas de carácter general que al efecto emita
el Servicio de Administración Tributaria, en el que se indique que el cálculo
del impuesto se realizó de acuerdo con las disposiciones fiscales. Asimismo, el
contribuyente deberá cumplir con los requisitos establecidos en el Reglamento
de esta Ley.
Para los efectos de los párrafos anteriores, se
considera grupo el conjunto de sociedades cuyas acciones con derecho a voto
representativas del capital social sean propiedad directa o indirecta de una
misma persona moral en por lo menos 51%.
El contribuyente autorizado deberá presentar ante la
autoridad competente la documentación comprobatoria que ampare que las acciones
objeto de la autorización no han salido del grupo de sociedades. Dicha
información deberá presentarse dentro de los primeros 15 días del mes de marzo
de cada año, posterior a la fecha en la cual se realizó la enajenación, durante
todos los años en que dichas acciones permanezcan dentro de dicho grupo. Se
presumirá que las acciones salieron del grupo si el contribuyente no cumple en
tiempo con lo dispuesto en este artículo.
Cuando de conformidad con los tratados celebrados por
México para evitar la doble tributación, no se pueda someter a imposición la
ganancia obtenida por la enajenación de acciones, como resultado de una
reorganización, reestructura, fusión, escisión u operación similar, dicho
beneficio se otorgará mediante la devolución en los casos en que el
contribuyente residente en el extranjero no cumpla con los requisitos que
establezca el Reglamento de esta Ley.
Las entidades de financiamiento residentes en el
extranjero en las que participe en su capital social el Gobierno Federal, a
través de la Secretaría de Hacienda y Crédito Público o el Banco de México,
podrán pagar el impuesto sobre la renta que se cause por la enajenación de
acciones o títulos valor a que se refiere este artículo, con base en la ganancia
determinada en los términos del sexto párrafo de este artículo, siempre que se
cumpla con lo previsto en este precepto.
Artículo 162. Tratándose de operaciones de intercambio de deuda
pública por capital, efectuadas por residentes en el extranjero distintos del
acreedor original, se considerará que la fuente de riqueza correspondiente al
ingreso obtenido en la operación está ubicada en territorio nacional, cuando
sea residente en México la persona a cuyo cargo esté el crédito de que se
trate.
El impuesto se determinará aplicando la tasa del 25%
sobre el monto total de la operación, sin deducción alguna. La retención del
impuesto correspondiente la efectuará el residente en México que adquiera o
pague el crédito.
Los contribuyentes que tengan representante en el país
que reúna los requisitos establecidos en el artículo 174 de esta Ley, podrán
optar por aplicar la tasa del 40% sobre la ganancia obtenida que se determinará
disminuyendo del ingreso percibido el costo de adquisición del crédito o del
título de que se trate. En este caso, el representante calculará el impuesto
que resulte y lo enterará mediante declaración en la oficina autorizada que
corresponda a su domicilio dentro de los quince días siguientes a la obtención
del ingreso. En el caso de créditos denominados en moneda extranjera la
ganancia a que se refiere este párrafo se determinará considerando el ingreso
percibido y el costo de adquisición en la moneda extranjera de que se trate y
la conversión respectiva se hará al tipo de cambio del día en que se efectuó la
enajenación.
La opción prevista en el párrafo anterior sólo se
podrá ejercer cuando los ingresos del enajenante de los títulos no estén
sujetos a un régimen fiscal preferente o no resida en un país en el que rija un
sistema de tributación territorial.
Artículo 163. Tratándose de operaciones financieras derivadas de
capital a que se refiere el artículo 16-A del Código Fiscal de la Federación,
se considera que la fuente de riqueza se encuentra en territorio nacional,
cuando una de las partes que celebre dichas operaciones sea residente en México
o residente en el extranjero con establecimiento permanente en el país y sean
referidas a acciones o títulos valor de los mencionados en el artículo 161 de
esta Ley.
Para efectos del párrafo anterior, el impuesto se
determinará aplicando la tasa del 25% sobre la ganancia que perciba el
residente en el extranjero proveniente de la operación financiera derivada de
que se trate, calculada en los términos del artículo 20 de esta Ley. La
retención o el pago de este impuesto, según sea el caso, deberá efectuarse por
el residente en el país o por el residente en el extranjero con establecimiento
permanente en el país, salvo en los casos en que la operación se efectúe a
través de un banco o por casa de bolsa residentes en el país, en cuyo caso el
banco o la casa de bolsa deberán efectuar la retención que corresponda.
Para efectos de la retención, pago y entero del
impuesto sobre las ganancias provenientes de operaciones financieras derivadas
de capital referidas a acciones colocadas en bolsas de valores concesionadas
conforme a la Ley del Mercado de Valores, así como por aquéllas referidas a
índices accionarios que representen a las citadas acciones, siempre que se
realicen en los mercados reconocidos a que se refieren las fracciones I y II
del artículo 16-C del Código Fiscal de la Federación, se aplicará lo dispuesto
en los párrafos décimo y décimo primero del artículo 161 de esta Ley.
Párrafo reformado DOF 18-11-2015
Los contribuyentes a que se refieren los dos primeros
párrafos de este artículo, cuyos ingresos no estén sujetos a un régimen fiscal
preferente y que tengan representante en el país que reúna los requisitos
establecidos en el artículo 174 de esta Ley, podrán optar por aplicar la tasa
máxima para aplicarse sobre el excedente del límite inferior que establece la
tarifa contenida en el artículo 152 de esta Ley, sobre la ganancia obtenida en
los términos del artículo 20 de la misma, que resulte de las operaciones
efectuadas durante el mes, disminuida de las pérdidas deducibles, en su caso,
de las demás operaciones realizadas durante el mes por el residente en el
extranjero con la misma institución o persona, de conformidad con lo
establecido en el artículo 146 de esta Ley. En este caso, el representante
calculará el impuesto que resulte y lo enterará mediante declaración en la
oficina autorizada que corresponda a su domicilio a más tardar el día 17 del
mes siguiente a aquél en que se efectuó la retención.
El residente en el extranjero
podrá aplicar lo dispuesto en el párrafo anterior, aun cuando no tenga
representante legal en el país, si su contraparte en la operación, es residente
en México, siempre que este último entere el impuesto que corresponda y obtenga
la información necesaria para determinar la base del impuesto. Para aplicar lo
dispuesto en este párrafo, el residente en México deberá manifestar por escrito
a las autoridades fiscales su decisión de asumir voluntariamente la
responsabilidad solidaria en el pago
del impuesto causado.
Cuando la operación financiera derivada de capital se
liquide en especie con la entrega por el residente en el extranjero de las
acciones o títulos a que esté referida dicha operación, se estará a lo
dispuesto en el artículo 161 de esta Ley por la enajenación de acciones o
títulos que implica dicha entrega. Para los efectos del cálculo del impuesto
establecido en dicho artículo, se considerará como ingreso del residente en el
extranjero el precio percibido en la liquidación, adicionado o disminuido por
las cantidades iniciales que hubiese percibido o pagado por la celebración de
dicha operación, o por la adquisición posterior de los derechos u obligaciones
contenidos en ella, actualizadas por el periodo transcurrido entre el mes en
que las percibió o pagó y el mes en el que se liquide la operación. En este
caso, se considera que la fuente de riqueza del ingreso obtenido por la
enajenación se encuentra en territorio nacional, aun cuando la operación
financiera derivada se haya celebrado con otro residente en el extranjero.
Cuando no ocurra la liquidación de una operación
financiera derivada de capital estipulada a liquidarse en especie, los
residentes en el extranjero causarán el impuesto por las cantidades que hayan
recibido por celebrar tales operaciones, el impuesto se calculará aplicando la
tasa del 25% o la tasa máxima para aplicarse sobre el excedente del límite
inferior que establece la tarifa contenida en el artículo 152 de esta Ley,
según corresponda conforme a lo establecido en la misma. El residente en México
o en el extranjero con establecimiento permanente en el país, con quien se haya
celebrado la operación, deberá retener el impuesto. Para el cálculo de este
impuesto, las referidas cantidades se actualizarán por el periodo transcurrido
desde el mes en el que se perciban y hasta el mes en el que venza la operación.
El residente en México o en el extranjero con establecimiento permanente en
México, deberá enterar dicho impuesto a más tardar el día 17 del mes de
calendario inmediato posterior al mes en el que venza la operación.
Cuando un residente en el extranjero adquiera fuera de
las bolsas de valores concesionadas en los términos de la Ley del Mercado de
Valores o de los mercados reconocidos a que se refiere la fracción I del
artículo 16-C del Código Fiscal de la Federación, títulos que contengan
derechos u obligaciones de operaciones financieras derivadas de capital que
sean de los colocados entre el gran público inversionista conforme a las reglas
generales que al efecto expida el Servicio de Administración Tributaria, en un
precio inferior en un 10% o más al promedio de las cotizaciones de inicio y
cierre de operaciones del día en que se adquieran, la diferencia se considerará
como ingreso para el residente en el extranjero adquirente de esos títulos.
Para los efectos de este Título se considera interés,
tratándose de operaciones financieras derivadas de deuda a que se refiere el
artículo 16-A del Código Fiscal de la Federación, así como de las operaciones
financieras a que se refiere el artículo 21 de esta Ley, la ganancia que se
determine conforme a los siguientes párrafos. En este caso, se considera que la
fuente de riqueza se encuentra en territorio nacional cuando una de las partes
que celebre dichas operaciones sea residente en México o residente en el
extranjero con establecimiento permanente en el país y la operación sea
atribuible a dicho establecimiento permanente. Se considera que la fuente de
riqueza se encuentra en territorio nacional cuando las operaciones financieras
derivadas de deuda que se realicen entre residentes en el extranjero se
liquiden con la entrega de la propiedad de títulos de deuda emitidos por
personas residentes en el país.
Para efectos del párrafo anterior, el impuesto se
calculará aplicando a la ganancia que resulte de la operación financiera
derivada de deuda de que se trate, calculada en los términos del artículo 20 de
esta Ley, la tasa que corresponda en términos del artículo 166 de la misma. En
el caso en que la operación se liquide en especie, será aplicable la tasa de
retención del 10%. En el caso de las operaciones financieras a que se refiere
el artículo 21 de esta Ley, el impuesto se calculará sobre los ingresos
percibidos en los mismos términos establecidos en dicho artículo aplicando la
tasa que corresponda en términos de este Título. El impuesto a que se refiere
este párrafo se pagará mediante retención que se efectuará por la persona que
realice los pagos.
Para los efectos de este artículo, también se
considera que una operación financiera derivada de deuda se liquida en
efectivo, cuando el pago de la misma se realiza en moneda extranjera.
Lo previsto en el décimo párrafo de este artículo,
será aplicable a la ganancia derivada de la enajenación de los derechos
consignados en tales operaciones, o a la cantidad inicial recibida por celebrar
la operación cuando no se ejerzan los derechos mencionados.
En el caso de operaciones financieras derivadas de
deuda, liquidables en efectivo, el impuesto se calculará aplicando a la
ganancia obtenida en dichas operaciones, sin actualización alguna, la tasa que
corresponda de acuerdo con el décimo párrafo de este artículo al beneficiario
efectivo de la operación.
Para determinar los intereses a favor del residente en
el extranjero y su impuesto respectivo, en el caso de operaciones financieras
derivadas de deuda en las que durante su vigencia se paguen periódicamente
diferencias en efectivo, podrán deducirse de las cantidades que cobre el
residente en el extranjero las diferencias que él haya pagado al residente en
el país.
No se pagará el impuesto a que se refiere este
artículo, tratándose de operaciones financieras derivadas de deuda que se
encuentren referidas a la Tasa de Interés Interbancaria de Equilibrio o a
títulos de crédito emitidos por el Gobierno Federal o por el Banco de México o
cualquier otro que determine el Servicio de Administración Tributaria mediante
reglas de carácter general, colocados en México entre el gran público
inversionista, o que además de estar referidas a dicha tasa o títulos, lo estén
a otra tasa de interés, o a otros subyacentes que a su vez se encuentren
referidos a la Tasa de Interés Interbancaria de Equilibrio o a cualquiera de
los títulos antes mencionados, o a esta tasa o títulos y a otras tasas de
interés, siempre que se realicen en
bolsa de valores o mercados reconocidos, en los términos de las fracciones I y
II del artículo 16-C del Código Fiscal de la Federación y que los beneficiarios
efectivos sean residentes en el extranjero.
En el caso de que no sea posible identificar al
beneficiario efectivo residente en el extranjero de las ganancias provenientes
de las operaciones financieras derivadas a las que se refiere el párrafo
anterior, los socios liquidadores no estarán obligados a efectuar la retención
correspondiente ni tendrán la responsabilidad solidaria a que se refiere el
artículo 26 del Código Fiscal de la Federación.
Tratándose de establecimientos permanentes en el país
de residentes en el extranjero, cuando los pagos por los conceptos indicados en
este artículo se efectúen a través de la oficina central de la sociedad u otro
establecimiento de ésta en el extranjero, la retención se deberá efectuar
dentro de los quince días siguientes a partir de aquél en que se realice el
pago en el extranjero o se deduzca el monto del mismo por el establecimiento
permanente, lo que ocurra primero.
Artículo 164. En los ingresos por dividendos o utilidades, y en
general por las ganancias distribuidas por personas morales, se considerará que
la fuente de riqueza se encuentra en territorio nacional, cuando la persona que
los distribuya resida en el país.
Se considera dividendo o utilidad distribuido por
personas morales:
I. Los
ingresos a que se refiere el artículo 140 de esta Ley. En estos casos, la
persona moral que haga los pagos estará a lo dispuesto en el artículo 10 de la
misma Ley.
El
impuesto a que se refiere esta fracción se enterará conjuntamente con el pago
provisional del mes que corresponda.
Tratándose
de reducción de capital de personas morales, el cálculo de la utilidad
distribuida por acción determinada conforme al artículo 78 de esta Ley, se
efectuará disminuyendo de dicha utilidad los saldos de las cuentas de utilidad
fiscal neta. Dichos saldos se determinarán dividiendo los saldos de las cuentas
referidas que tuviera la persona moral al momento de la reducción, entre el
total de acciones de la misma persona a la fecha del reembolso, incluyendo las
correspondientes a la reinversión o capitalización de utilidades o de cualquier
otro concepto que integre el capital contable de la misma.
Tratándose
de las utilidades distribuidas que se determinen en los términos del artículo
78 de esta Ley, el impuesto que corresponda se calculará y enterará en los
términos del artículo referido.
Las
personas morales que distribuyan los dividendos o utilidades a que se refiere
esta fracción deberán retener el impuesto que se obtenga de aplicar la tasa del
10% sobre dichos dividendos o utilidades, y proporcionar a las personas a
quienes efectúen los pagos a que se refiere este párrafo constancia en que
señale el monto del dividendo o utilidad distribuidos y el impuesto retenido.
El impuesto pagado tendrá el carácter de definitivo.
II. Las
utilidades en efectivo o en bienes que envíen los establecimientos permanentes
de personas morales residentes en el extranjero a la oficina central de la
sociedad o a otro establecimiento permanente de ésta en el extranjero, que no
provengan del saldo de la cuenta de utilidad fiscal neta o de la cuenta de
remesas de capital del residente en el extranjero, respectivamente. En este
caso, el establecimiento permanente deberá enterar como impuesto a su cargo el
que resulte de aplicar la tasa del primer párrafo del artículo 9 de esta Ley.
Para estos efectos, los dividendos o utilidades distribuidos se adicionarán con
el impuesto sobre la renta que se deba pagar en los términos de este artículo.
Para determinar el impuesto sobre la renta que se debe adicionar a los
dividendos o utilidades distribuidos, se multiplicará el monto de dichas
utilidades o remesas por el factor de 1.4286 y al resultado se le aplicará la
tasa del artículo 9 de la citada Ley.
Para
los efectos del párrafo anterior, la cuenta de utilidad fiscal neta del
residente en el extranjero se adicionará con la utilidad fiscal neta de cada
ejercicio determinada conforme a lo previsto por el artículo 77 de esta Ley,
así como con los dividendos o utilidades percibidos de personas morales
residentes en México por acciones que formen parte del patrimonio afecto al
establecimiento permanente, y se disminuirá con el importe de las utilidades
que envíe el establecimiento permanente a su oficina central o a otro de sus
establecimientos en el extranjero en efectivo o en bienes, así como con las
utilidades distribuidas a que se refiere la fracción III de este artículo, cuando
en ambos casos provengan del saldo de dicha cuenta. Para los efectos de este
párrafo, no se incluyen los dividendos o utilidades en acciones ni los
reinvertidos en la suscripción y aumento de capital de la misma persona que los
distribuye, dentro de los 30 días naturales siguientes a su distribución. En la
determinación de la cuenta de utilidad fiscal neta del residente en el
extranjero, será aplicable lo dispuesto en el artículo 77 de esta Ley, a
excepción del párrafo primero.
La
cuenta de remesas de capital a que se refiere este artículo se adicionará con
las remesas de capital percibidas de la oficina central de la sociedad o de
cualquiera de sus establecimientos en el extranjero y se disminuirá con el
importe de las remesas de capital reembolsadas a dichos establecimientos en
efectivo o en bienes. El saldo de esta cuenta que se tenga al último día de
cada ejercicio se actualizará por el periodo comprendido desde el mes en el que
se efectuó la última actualización y hasta el último mes del ejercicio de que
se trate. Cuando se reembolsen o envíen remesas con posterioridad a la
actualización prevista en este párrafo, el saldo de la cuenta que se tenga a la
fecha del reembolso o percepción, se actualizará por el periodo comprendido
desde el mes en el que se efectuó la última actualización y hasta el mes en que
se efectúe el reembolso o percepción.
III. Los
establecimientos permanentes que efectúen reembolsos a su oficina central o a
cualquiera de sus establecimientos en el extranjero, considerarán dicho
reembolso como utilidad distribuida, incluyendo aquéllos que se deriven de la
terminación de sus actividades, en los términos previstos por el artículo 78 de
esta Ley. Para estos efectos, se considerará como acción, el valor de las
remesas aportadas por la oficina central o de cualquiera de sus
establecimientos permanentes en el extranjero, en la proporción que éste
represente en el valor total de la cuenta de remesas del establecimiento
permanente y como cuenta de capital de aportación la cuenta de remesas de
capital prevista en este artículo.
Los
establecimientos permanentes deberán determinar y enterar el impuesto que
corresponda al resultado que se obtenga conforme a lo dispuesto en esta
fracción, aplicando la tasa del primer párrafo del artículo 9 de esta Ley, al
monto que resulte de multiplicar dicho resultado por el factor de 1.4286. No se
estará obligado al pago de este impuesto cuando la utilidad provenga del saldo
de la cuenta de utilidad fiscal neta del residente en el extranjero a que se
refiere la fracción anterior. El impuesto que resulte en los términos de esta
fracción deberá enterarse conjuntamente con el que, en su caso, resulte
conforme a la fracción anterior.
IV. Tratándose
de dividendos y en general por las ganancias distribuidas por los
establecimientos permanentes a que se refieren las fracciones II y III de este
artículo, se estará sujeto a una tasa adicional del 10% sobre las utilidades o
reembolsos. Los establecimientos permanentes deberán enterar el impuesto que
resulte en los términos de esta fracción conjuntamente con el que, en su caso,
resulte conforme a la fracción III de este artículo y tendrá el carácter de
pago definitivo.
Para los efectos de las fracciones II y III de este
artículo se considera que lo último que envía el establecimiento permanente al
extranjero son reembolsos de capital.
Artículo 165. Tratándose de los ingresos que obtenga un residente
en el extranjero por conducto de una persona moral a que se refiere el Título
III de esta Ley, se considerará que la fuente de riqueza se encuentra en
territorio nacional, cuando la persona moral sea residente en México.
El impuesto se determinará aplicando, sobre el
remanente distribuible, la tasa máxima para aplicarse sobre el excedente del
límite inferior que establece la tarifa contenida en el artículo 152 de esta
Ley. El impuesto lo deberá enterar la persona moral por cuenta del residente en
el extranjero, junto con la declaración señalada en el artículo 96 de esta Ley
o, en su caso, en las fechas establecidas para la misma. La citada persona
moral deberá proporcionar a los contribuyentes constancia del entero efectuado.
Artículo 166. Tratándose de ingresos por intereses se considerará
que la fuente de riqueza se encuentra en territorio nacional cuando en el país
se coloque o se invierta el capital, o cuando los intereses se paguen por un
residente en el país o un residente en el extranjero con establecimiento
permanente en el país.
Se consideran intereses, cualquiera que sea el nombre
con que se les designe, los rendimientos de créditos de cualquier clase, con o
sin garantía hipotecaria y con derecho o no a participar en los beneficios; los
rendimientos de la deuda pública, de los bonos u obligaciones, incluyendo
primas y premios asimilados a los rendimientos de tales valores, los premios
pagados en el préstamo de valores, descuentos por la colocación de títulos
valor, bonos, u obligaciones, de las comisiones o pagos que se efectúen con
motivo de la apertura o garantía de créditos, aun cuando éstos sean
contingentes, de los pagos que se realizan a un tercero con motivo de apertura
o garantía de créditos aun cuando éstos sean contingentes, de los pagos que se
realizan a un tercero con motivo de la aceptación de un aval, del otorgamiento
de una garantía o de la responsabilidad de cualquier clase, de la ganancia que
se derive de la enajenación de los títulos colocados entre el gran público
inversionista a que se refiere el artículo 8 de esta Ley, así como la ganancia
en la enajenación de acciones de los fondos de inversión en instrumentos de
deuda a que se refiere la Ley de Fondos de Inversión y de los fondos de
inversión de renta variable a que se refiere el artículo 80 de esta Ley, de los
ajustes a los actos por los que se deriven ingresos a los que se refiere este
artículo que se realicen mediante la aplicación de índices, factores o de
cualquier otra forma, inclusive de los ajustes que se realicen al principal por
el hecho de que los créditos u operaciones estén denominados en unidades de
inversión. Se considera interés la ganancia derivada de la enajenación
efectuada por un residente en el extranjero, de créditos a cargo de un
residente en México o de un residente en el extranjero con establecimiento
permanente en el país, cuando sean adquiridos por un residente en México o un
residente en el extranjero con establecimiento permanente en el país.
Párrafo reformado DOF 18-11-2015
La ganancia proveniente de la enajenación de acciones
de los fondos de inversión en instrumentos de deuda y de los fondos de
inversión de renta variable a que se refiere el párrafo anterior, se calculará
disminuyendo del ingreso obtenido en la enajenación, el monto original de la
inversión. Para estos efectos, se considerará como monto original de la
inversión la cantidad pagada al fondo de inversión, por acción, para la
adquisición de las acciones que se enajenan, actualizada desde la fecha en la
que se adquirieron las acciones y hasta la fecha en la que éstas se enajenan.
Párrafo reformado DOF 18-11-2015
El impuesto se calculará aplicando a la ganancia
obtenida conforme al párrafo anterior la tasa de retención que corresponda de
acuerdo con este artículo al beneficiario efectivo de dicha ganancia. Los
fondos de inversión que efectúen pagos por la enajenación de las acciones están
obligados a realizar la retención y entero del impuesto que corresponda
conforme a lo dispuesto en el presente artículo. Los fondos de inversión de
renta variable a que se refiere este artículo, deberán proporcionar, tanto al
Servicio de Administración Tributaria como al contribuyente, la información
relativa a la parte de la ganancia que corresponde a las acciones enajenadas en
la Bolsa Mexicana de Valores concesionada en los términos de la Ley del Mercado
de Valores.
Párrafo reformado DOF 18-11-2015
Se considera interés el ingreso en crédito que obtenga
un residente en el extranjero con motivo de la adquisición de un derecho de
crédito de cualquier clase, presente, futuro o contingente. Para los efectos de
este párrafo, se considera que la fuente de riqueza se encuentra en territorio
nacional cuando el derecho de crédito sea enajenado, por un residente en México
o un residente en el extranjero con establecimiento permanente en el país.
Dicho ingreso se determinará disminuyendo del valor nominal del derecho de
crédito citado, adicionado con sus rendimientos y accesorios que no hayan sido
sujetos a retención, el precio pactado en la enajenación.
En el caso de la ganancia derivada de la enajenación
de créditos a cargo de un residente en México o un residente en el extranjero
con establecimiento permanente en el país, efectuada por un residente en el
extranjero a un residente en México o un residente en el extranjero con
establecimiento permanente en el país, el impuesto se calculará aplicando a la
diferencia entre el monto que obtenga el residente en el extranjero por la
enajenación del crédito y el monto que haya recibido por ese crédito el deudor
original del mismo, la tasa de retención que corresponda de acuerdo con este
artículo al beneficiario efectivo de dicha ganancia.
El impuesto se pagará mediante retención que se
efectuará por la persona que realice los pagos y se calculará aplicando a los
intereses que obtenga el contribuyente, sin deducción alguna, la tasa que en
cada caso se menciona a continuación:
I. 10% en
los siguientes casos:
a) A los
intereses pagados a las siguientes personas, siempre que proporcionen al
Servicio de Administración Tributaria la información que éste solicite mediante
reglas de carácter general sobre financiamientos otorgados a residentes en el
país.
1. Entidades de
financiamiento pertenecientes a estados extranjeros, siempre que sean las
beneficiarias efectivas de los intereses.
2. Bancos
extranjeros, incluyendo los de inversión, siempre que sean los beneficiarios
efectivos de los intereses.
Tendrán el
tratamiento de bancos extranjeros las entidades de financiamiento de objeto
limitado residentes en el extranjero, siempre que cumplan con los porcentajes
de colocación y captación de recursos que establezcan las reglas de carácter
general que al efecto expida el Servicio de Administración Tributaria y sean
los beneficiarios efectivos de los intereses.
3. Entidades que
coloquen o inviertan en el país capital que provenga de títulos de crédito que
emitan y que sean colocados en el extranjero entre el gran público
inversionista conforme a las reglas generales que al efecto expida el Servicio
de Administración Tributaria.
b) A los intereses
pagados a residentes en el extranjero provenientes de los títulos de crédito
colocados a través de bancos o casas de bolsa, en un país con el que México no
tenga en vigor un tratado para evitar la doble imposición, siempre que por los
documentos en los que conste la operación de financiamiento correspondiente se
haya presentado la notificación que se señala en el segundo párrafo del
artículo 7 de la Ley del Mercado de Valores, ante la Comisión Nacional Bancaria
y de Valores, de conformidad con lo establecido en dicha Ley.
c) A la
adquisición de un derecho de crédito de cualquier clase, presentes, futuros o
contingentes. En este caso, se deberá recaudar por el enajenante residente en
México o residente en el extranjero con establecimiento permanente en el país,
en nombre y por cuenta del residente en el extranjero y deberá enterarse dentro
de los 15 días siguientes a la enajenación de los derechos de crédito.
II. 4.9% en
los siguientes casos:
a) A los intereses
pagados a residentes en el extranjero provenientes de títulos de crédito
colocados entre el gran público inversionista a que se refiere el artículo 8 de
esta Ley, así como la ganancia proveniente de su enajenación, los percibidos de
certificados, aceptaciones, títulos de crédito, préstamos u otros créditos a
cargo de instituciones de crédito, sociedades financieras de objeto múltiple
que para los efectos de esta Ley formen parte del sistema financiero o de
organizaciones auxiliares de crédito, así como los colocados a través de bancos
o casas de bolsa en un país con el que México tenga en vigor un tratado para
evitar la doble imposición, siempre que por los documentos en los que conste la
operación de financiamiento correspondiente se haya presentado la notificación
que se señala en el segundo párrafo del artículo 7 de la Ley del Mercado de
Valores, ante la Comisión Nacional Bancaria y de Valores, de conformidad con lo
establecido en dicha Ley y se cumplan con los requisitos de información que se
establezcan en las reglas de carácter general que al efecto expida el Servicio
de Administración Tributaria. En el caso de que no se cumpla con los requisitos
antes señalados, la tasa aplicable será del 10%.
Inciso reformado DOF 18-11-2015
b) A los intereses
pagados a entidades de financiamiento residentes en el extranjero en las que el
Gobierno Federal, a través de la Secretaría de Hacienda y Crédito Público, o el
Banco Central, participe en su capital social, siempre que sean las
beneficiarias efectivas de los mismos y cumplan con lo establecido en las
reglas de carácter general que al efecto expida el Servicio de Administración
Tributaria.
III. 15%, a
los intereses pagados a reaseguradoras.
IV. 21%, a
los intereses de los siguientes casos:
a) Los pagados
por instituciones de crédito a residentes en el extranjero, distintos de los
señalados en las fracciones anteriores de este artículo.
b) Los pagados a
proveedores del extranjero por enajenación de maquinaria y equipo, que formen
parte del activo fijo del adquirente.
c) Los pagados a
residentes en el extranjero para financiar la adquisición de los bienes a que
se refiere el inciso anterior y en general para la habilitación y avío o
comercialización, siempre que cualquiera de estas circunstancias se haga
constar en el contrato.
Cuando los intereses a que se refiere esta fracción
sean pagados por instituciones de crédito a los sujetos mencionados en la
fracción I de este artículo, se aplicará la tasa a que se refiere esta última
fracción.
V. A los
intereses distintos de los señalados en las fracciones anteriores, se les
aplicará la tasa máxima para aplicarse sobre el excedente del límite inferior
que establece la tarifa contenida en el artículo 152 de esta Ley.
Las personas que deban hacer pagos por los conceptos
indicados en este artículo están obligadas a efectuar la retención que
corresponda.
Cuando los intereses deriven de títulos al portador
sólo tendrá obligaciones fiscales el retenedor, quedando liberado el residente
en el extranjero de cualquier responsabilidad distinta de la de aceptar la
retención.
No se causará el impuesto a que se refieren los
párrafos anteriores cuando los intereses sean pagados por establecimientos en
el extranjero de instituciones de crédito del país a que se refiere el artículo
48 de esta Ley.
Las tasas previstas en las fracciones I y II de este
artículo, no serán aplicables si los beneficiarios efectivos, ya sea directa o
indirectamente, en forma individual o conjuntamente con personas relacionadas,
perciben más del 5% de los intereses derivados de los títulos de que se trate y
son:
1. Accionistas
de más del 10% de las acciones con derecho a voto del emisor, directa o
indirectamente, en forma individual o conjuntamente con personas relacionadas,
o
2. Personas
morales que en más del 20% de sus acciones son propiedad del emisor, directa o
indirectamente, en forma individual o conjuntamente con personas relacionadas.
En los casos señalados en los numerales 1 y 2
anteriores, la tasa aplicable será la tasa máxima para aplicarse sobre el
excedente del límite inferior que establece la tarifa contenida en el artículo
152 de esta Ley. Para estos efectos se consideran personas relacionadas cuando
una de ellas posea interés en los negocios de la otra, existan intereses
comunes entre ambas, o bien, una tercera persona tenga interés en los negocios
o bienes de aquéllas.
Para los efectos de lo dispuesto en este artículo, la
retención del impuesto por los intereses obtenidos de los títulos de crédito
colocados entre el gran público inversionista a que se refiere el artículo 8 de
esta Ley, así como los percibidos de certificados, aceptaciones, títulos de
crédito, préstamos u otros créditos a cargo de instituciones de crédito,
sociedades financieras de objeto múltiple o de organizaciones auxiliares de
crédito, se efectuará por los depositarios de valores de dichos títulos, al
momento de transferirlos al adquirente en caso de enajenación, o al momento de
la exigibilidad del interés en los demás casos. En el caso de operaciones
libres de pago, el obligado a efectuar la retención será el intermediario que
reciba del adquirente los recursos de la operación para entregarlos al
enajenante de los títulos. En estos casos, el emisor de dichos títulos quedará
liberado de efectuar la retención.
Párrafo reformado DOF 18-11-2015
En los casos en que un depositario de valores reciba
únicamente órdenes de traspaso de los títulos y no se le proporcionen los
recursos para efectuar la retención, el depositario de valores podrá liberarse
de la obligación de retener el impuesto, siempre que proporcione al
intermediario o depositario de valores que reciba los títulos la información
necesaria al momento que efectúa el traspaso. En este caso, el intermediario o
depositario de valores que reciba los títulos deberá calcular y retener el
impuesto al momento de su exigibilidad. La información a que se refiere este
párrafo se determinará mediante reglas de carácter general que al efecto expida
el Servicio de Administración Tributaria.
Cuando la enajenación de los títulos a que se refiere
este artículo se efectúe sin la intervención de un intermediario, el residente
en el extranjero que enajene dichos títulos deberá designar al depositario de
valores que traspase los títulos para el entero del impuesto correspondiente,
en nombre y por cuenta del enajenante. Dicho entero se deberá llevar a cabo a
más tardar el día 17 del mes inmediato siguiente a la fecha en que se efectúa
la enajenación. Para estos efectos, el residente en el extranjero deberá
proporcionar al depositario de valores los recursos necesarios para el pago de
dicho impuesto. En este supuesto, el depositario de valores será responsable
solidario del impuesto que corresponda. En el caso de que dicho depositario de
valores además deba transmitir los títulos a otro intermediario o depositario
de valores, proporcionará a éstos el precio de enajenación de los títulos al
momento que se efectúe el traspaso de los mismos, quienes estarán a lo
dispuesto en el párrafo anterior.
Cuando en este artículo se haga referencia a
intermediario, se entenderá como tal a las instituciones de crédito y casas de
bolsa del país, que intervengan en la adquisición de títulos a que hace
referencia el presente artículo.
En los intereses por arrendamiento financiero se
considerará que la fuente de riqueza se encuentra en territorio nacional,
cuando los bienes se utilicen en el país o cuando los pagos que se efectúen al
extranjero se deduzcan, total o parcialmente, por un establecimiento permanente
en el país, aun cuando el pago se efectúe a través de cualquier establecimiento
en el extranjero. Salvo prueba en contrario, se presume que los bienes se
utilizan en el país, cuando quien use o goce el bien sea residente en el mismo
o residente en el extranjero con establecimiento permanente en el país. También
se considera que existe fuente de riqueza en el país, cuando quien efectúe el
pago sea residente en México o residente en el extranjero con establecimiento
permanente en el país.
Para efectos del párrafo anterior, el impuesto se
calculará aplicando la tasa del 15% a la cantidad que se hubiere pactado como
interés en el contrato respectivo, debiendo efectuar la retención las personas
que hagan los pagos.
Tratándose de establecimientos permanentes en el país
de residentes en el extranjero, cuando los pagos por los conceptos indicados en
este artículo se efectúen a través de la oficina central de la sociedad u otro
establecimiento de ésta en el extranjero, la retención se deberá efectuar
dentro de los quince días siguientes a partir de aquél en que se realice el
pago en el extranjero o se deduzca el monto del mismo por el establecimiento
permanente, lo que ocurra primero.
Se exceptúan del pago del impuesto sobre la renta a
los intereses que se mencionan a continuación:
a. Los que
deriven de créditos concedidos al Gobierno Federal o al Banco de México y los
provenientes de bonos por ellos emitidos, adquiridos y pagados en el
extranjero.
b. Los que
se deriven de créditos a plazo de tres o más años, concedidos o garantizados
por entidades de financiamiento residentes en el extranjero dedicadas a
promover la exportación mediante el otorgamiento de préstamos o garantías en
condiciones preferenciales.
c. Los que se
deriven de créditos concedidos o garantizados en condiciones preferenciales por
entidades de financiamiento residentes en el extranjero a instituciones
autorizadas para recibir donativos deducibles en los términos de esta Ley,
siempre que estas últimas los utilicen para el desarrollo de actividades de
asistencia o beneficencia.
d. Los que
deriven de créditos concedidos al Gobierno Federal o al Banco de México y los
provenientes de títulos de créditos emitidos por el Gobierno Federal o por el
Banco de México, colocados en México entre el gran público inversionista,
siempre que los beneficiarios efectivos sean residentes en el extranjero.
En el
caso de que no sea posible identificar al beneficiario efectivo residente en el
extranjero de los intereses provenientes de los créditos o títulos a que se
refiere el párrafo anterior, los intermediarios financieros no estarán
obligados a efectuar la retención correspondiente ni tendrán la responsabilidad
solidaria a que se refiere el artículo 26 del Código Fiscal de la Federación.
Artículo 167. Tratándose de ingresos por regalías, por asistencia
técnica o por publicidad, se considerará que la fuente de riqueza se encuentra
en territorio nacional cuando los bienes o derechos por los cuales se pagan las
regalías o la asistencia técnica, se aprovechen en México, o cuando se paguen
las regalías, la asistencia técnica o la publicidad, por un residente en
territorio nacional o por un residente en el extranjero con establecimiento
permanente en el país.
El impuesto se calculará aplicando al ingreso que
obtenga el contribuyente, sin deducción alguna, la tasa que en cada caso se
menciona:
I.......... Regalías por el uso o goce temporal de carros de
ferrocarril; de contenedores, remolques o semirremolques que sean importados de
manera temporal hasta por un mes en los términos de la Ley Aduanera; así como
de embarcaciones que tengan concesión o permiso del Gobierno Federal para ser
explotados comercialmente, siempre que dichos bienes sean utilizados
directamente por el arrendatario en la transportación de pasajeros o
bienes. ....................................................................................................... 5%
Fracción reformada DOF 09-12-2019
II......... Regalías
distintas de las comprendidas en la fracción I, así como por asistencia
técnica ...................................................................................................... 25%
III........ Regalías por el uso o goce temporal de aviones que
tengan concesión o permiso del Gobierno Federal para ser explotados
comercialmente, siempre que dichos bienes sean utilizados directamente por el
arrendatario en la transportación de pasajeros o
bienes. ....................................................................................................... 1%
Fracción adicionada DOF 09-12-2019
Tratándose de regalías por el uso o goce temporal de
patentes o de certificados de invención o de mejora, marcas de fábrica y
nombres comerciales, así como por publicidad, la tasa aplicable al ingreso que
obtenga el contribuyente por dichos conceptos será la tasa máxima para aplicarse
sobre el excedente del límite inferior que establece la tarifa contenida en el
artículo 152 de esta Ley.
Cuando los contratos involucren una patente o
certificado de invención o de mejora y otros conceptos relacionados a que se
refiere la fracción II de este precepto, el impuesto se calculará aplicando la
tasa correspondiente a la parte del pago que se haga por cada uno de los
conceptos. En el caso de que no se pueda distinguir la parte proporcional de
cada pago que corresponda a cada concepto, el impuesto se calculará aplicando
la tasa establecida en la fracción II de este artículo.
Para los efectos de este artículo, se entenderá que
también se concede el uso o goce temporal cuando se enajenen los bienes o
derechos a que se refiere el artículo 15-B del Código Fiscal de la Federación,
siempre que dicha enajenación se encuentre condicionada a la productividad, el
uso o a la disposición ulterior de los mismos bienes o derechos. En este caso,
las tasas a que se refiere este artículo se aplicarán sobre el ingreso
obtenido, sin deducción alguna, en función del bien o derecho de que se trate.
Para los efectos de este artículo, implica el uso o
concesión de uso de un derecho de autor, de una obra artística, científica o
literaria, entre otros conceptos, la retransmisión de imágenes visuales,
sonidos o ambos, o bien el derecho de permitir el acceso al público a dichas
imágenes o sonidos, cuando en ambos casos se transmitan por vía satélite,
cable, fibra óptica u otros medios similares y que el contenido que se retransmite
se encuentre protegido por el derecho de autor.
Las personas que deban hacer pagos por los conceptos
indicados en este artículo están obligadas a efectuar la retención que
corresponda.
Tratándose de establecimientos permanentes en el país
de residentes en el extranjero, cuando los pagos por los conceptos indicados en
este artículo se efectúen a través de la oficina central de la sociedad u otro
establecimiento de ésta en el extranjero, la retención se deberá efectuar
dentro de los quince días siguientes a partir de aquél en que se realice el
pago en el extranjero o se deduzca el monto del mismo por el establecimiento
permanente, lo que ocurra primero.
Artículo 168. En los ingresos por servicios de construcción de obra,
instalación, mantenimiento o montaje en bienes inmuebles, o por actividades de
inspección o supervisión relacionadas con ellos, se considerará que la fuente
de riqueza se encuentra en territorio nacional cuando se realice en el país.
El impuesto se determinará aplicando la tasa del 25%
sobre el ingreso obtenido, sin deducción alguna, debiendo efectuar la retención
la persona que haga los pagos.
Los contribuyentes que tengan representante en el país
que reúna los requisitos establecidos en el artículo 174 de esta Ley, podrán
optar por aplicar la tasa máxima para aplicarse sobre el excedente del límite
inferior que establece la tarifa contenida en el artículo 152 de esta Ley,
sobre la cantidad que resulte de disminuir al ingreso obtenido, las deducciones
que autoriza el Título II de esta Ley, que directamente afecten a dicho
ingreso, independientemente del lugar en que se hubieran efectuado. En este
caso, el representante calculará el impuesto que resulte y lo enterará mediante
declaración que presentará ante las oficinas autorizadas que correspondan al
lugar donde se realiza la obra, dentro del mes siguiente al de la conclusión de
la misma.
Artículo 169. Tratándose de los ingresos por la obtención de
premios, se considerará que la fuente de riqueza se encuentra en territorio
nacional cuando la lotería, rifa, sorteo o juego con apuestas y concursos de
toda clase se celebren en el país. Salvo prueba en contrario, se entenderá que
la lotería, rifa, sorteo o juego con apuestas y concursos de toda clase se
celebra en el país cuando el premio se pague en el mismo.
El impuesto por los premios de loterías, rifas,
sorteos y concursos, se calculará aplicando la tasa del 1% sobre el valor del
premio correspondiente a cada boleto o billete entero, sin deducción alguna,
siempre que las entidades federativas no graven con un impuesto local los
ingresos a que se refiere este párrafo, o el gravamen establecido no exceda del
6%. La tasa del impuesto a que se refiere este artículo será del 21%, en
aquellas entidades federativas que apliquen un impuesto local sobre los
ingresos a que se refiere este párrafo, a una tasa que exceda del 6%.
El impuesto por los premios de juegos con apuestas se
calculará aplicando el 1% sobre el valor total de la cantidad a distribuir
entre todos los boletos que resulten premiados.
No se considera como premio el reintegro
correspondiente al billete que permitió participar en loterías.
El impuesto se pagará mediante retención cuando la
persona que efectúe el pago sea residente en territorio nacional o residente en
el extranjero con establecimiento permanente situado en el país o se enterará
mediante declaración en la oficina autorizada dentro de los quince días
siguientes a la obtención del ingreso, cuando quien pague el premio sea un
residente en el extranjero.
Artículo 170. En el caso de ingresos que obtengan las personas
físicas o morales, en ejercicio de sus actividades artísticas o deportivas, o
de la realización o presentación de espectáculos públicos, se considerará que
la fuente de riqueza se encuentra en territorio nacional cuando dicha
actividad, o presentación se lleve a cabo en el país.
Se consideran incluidos en los servicios prestados por
un residente en el extranjero relacionados con la presentación de los
espectáculos públicos, aquéllos que estén destinados a promocionar dicha
presentación, incluyendo las actividades realizadas en territorio nacional como
resultado de la reputación que tenga el residente en el extranjero como artista
o deportista.
Están incluidos en este artículo los ingresos que
obtengan residentes en el extranjero que presten servicios, otorguen el uso o
goce temporal de bienes o enajenen bienes, que se relacionen con la
presentación de los espectáculos públicos, artísticos o deportivos a que se
refiere este artículo. Se presume, salvo prueba en contrario, que los artistas,
deportistas o personas que presenten el espectáculo público, tienen
participación directa o indirecta de los beneficios que obtenga el prestador de
servicios que otorgue el uso temporal o enajene dichos bienes.
El impuesto se determinará aplicando la tasa del 25%
sobre el total del ingreso obtenido sin deducción alguna, debiendo efectuar la
retención la persona que haga los pagos, siempre que ésta sea residente en el
país o en el extranjero con establecimiento permanente en el país. En los demás
casos, quienes obtengan los ingresos por los conceptos a que se refiere este
artículo calcularán el impuesto y lo enterarán mediante declaración que
presentarán ante las oficinas autorizadas que correspondan al lugar donde se
presentó el espectáculo o evento deportivo, al día siguiente en que se obtuvo
el ingreso.
Los contribuyentes que tengan representantes en el
país que reúnan los requisitos establecidos en el artículo 174 de esta Ley,
podrán optar por aplicar la tasa máxima para aplicarse sobre el excedente del
límite inferior que establece la tarifa contenida en el artículo 152 de esta
Ley, sobre la cantidad que resulte de disminuir al ingreso obtenido las
deducciones que autoriza el Título II o Capítulo II, Secciones I o II del Título
IV de esta Ley, según corresponda, que directamente afecten a dicho ingreso,
independientemente del lugar en que se hubieran efectuado. En este caso, el
representante calculará el impuesto que resulte y lo enterará mediante
declaración que presentará ante las oficinas autorizadas que correspondan al
lugar donde se efectúa el espectáculo público, artístico o deportivo, dentro
del mes siguiente al de la conclusión del mismo. Esta opción sólo se podrá
ejercer cuando se otorgue la garantía del interés fiscal por una cantidad
equivalente a la que corresponde al impuesto determinado conforme al cuarto
párrafo de este artículo, a más tardar el día siguiente en que se obtuvo el
ingreso. En este último caso, el retenedor quedará liberado de efectuar la
retención a que se refiere el párrafo anterior.
A los contribuyentes que perciban ingresos en los
términos de este artículo no les será aplicable lo dispuesto en los artículos
154 y 156 de esta Ley por dichos ingresos.
Artículo 171. Tratándose de ingresos gravados por este Título,
percibidos por personas, entidades que se consideren personas morales para
fines impositivos en su lugar de residencia o que se consideren transparentes
en los mismos o cualquier otra figura jurídica creada o constituida de acuerdo
al derecho extranjero, cuyos ingresos estén sujetos a un régimen fiscal
preferente, estarán sujetos a una retención a la tasa del 40% sobre dichos
ingresos, sin deducción alguna, en lugar de lo previsto en las demás
disposiciones del presente Título. El impuesto a que se refiere este párrafo se
pagará mediante retención cuando quien efectúe el pago sea residente en México
o residente en el extranjero con establecimiento permanente en el país.
Lo establecido en el párrafo anterior no será
aplicable a los ingresos por concepto de dividendos y ganancias distribuidas
por personas morales o, intereses pagados a bancos extranjeros y a los
intereses pagados a residentes en el extranjero, que se deriven de la
colocación de títulos a que se refiere el artículo 8 de esta Ley, así como los
títulos colocados en el extranjero, previstos en el artículo 166 de la misma
Ley, en cuyo caso estarán a lo dispuesto por los artículos 10, 77 y 166
fracciones I y II y último párrafo de este último precepto, según corresponda,
siempre que se cumpla con los requisitos previstos en dichas disposiciones.
Párrafo reformado DOF 18-11-2015
Tratándose de ingresos por mediaciones sujetos a
regímenes fiscales preferentes que obtengan residentes en el extranjero, se
considera que la fuente de riqueza se encuentra en territorio nacional cuando
quien hace el pago sea residente en México o sea un establecimiento permanente
de un residente en el extranjero. Se consideran ingresos por mediaciones los
pagos por comisiones, corretajes, agencia, distribución, consignación o
estimatorio y en general, los ingresos por la gestión de intereses ajenos.
Para efectos del párrafo anterior, el impuesto se
calculará aplicando la tasa del 40% sobre el ingreso obtenido, sin deducción
alguna, debiendo efectuar la retención la persona que haga los pagos. Dicha
retención deberá enterarse mediante declaración que se presentará dentro de los
quince días siguientes a la fecha de la operación ante las oficinas autorizadas
por las autoridades fiscales.
Artículo 172. Se consideran ingresos gravables, además de los
señalados en el presente Título:
I. El
importe de las deudas perdonadas por el acreedor o pagadas por otra persona. En
este caso, se considera que la fuente de riqueza se encuentra en territorio
nacional cuando el acreedor que efectúa el perdón de la deuda sea un residente
en el país o residente en el extranjero con establecimiento permanente en
México.
II. Los
obtenidos por otorgar el derecho a participar en un negocio, inversión o
cualquier pago para celebrar o participar en actos jurídicos de cualquier
naturaleza. En este caso, se considera que la fuente de riqueza se encuentra en
territorio nacional cuando el negocio, inversión o acto jurídico, se lleve a
cabo en el país, siempre que no se trate de aportaciones al capital social de
una persona moral.
III. Los que
se deriven de las indemnizaciones por perjuicios y los ingresos derivados de
cláusulas penales o convencionales. En este caso, se considera que la fuente de
riqueza se encuentra en territorio nacional cuando el que efectúa el pago de
los ingresos a que se refiere esta fracción es un residente en México o un
residente en el extranjero con establecimiento permanente en el país.
IV. Los que
deriven de la enajenación del crédito comercial. Se considerará que la fuente
de riqueza se encuentra en territorio nacional cuando el crédito comercial sea
atribuible a una persona residente en el país o a un residente en el extranjero
con establecimiento permanente ubicado en el país.
Para
los efectos de esta fracción, se considerará que existe fuente de riqueza en
territorio nacional, cuando el residente en el extranjero enajene activos
utilizados por un residente en México o por un residente en el extranjero con
establecimiento permanente en el país, siempre que la contraprestación derivada
de la enajenación exceda el precio de mercado de dichos bienes. Se presumirá,
salvo prueba en contrario, como ingreso derivado de la enajenación del crédito
comercial, la diferencia que exista entre el precio de mercado que tengan los
activos en la fecha en que se transfiera su propiedad y el monto total de la
contraprestación pactada, cuando este último sea mayor. Las autoridades
fiscales podrán practicar avalúo para determinar el precio de mercado de los
activos propiedad del residente en el extranjero y en caso de que dicho avalúo
sea menor en más de un 10% del precio de mercado considerado por el
contribuyente para determinar el impuesto, la diferencia se considerará ingreso
para los efectos de este artículo.
Lo
dispuesto por esta fracción no será aplicable a la ganancia en la enajenación
de acciones.
El impuesto a que se refiere el presente artículo se
calculará aplicando sobre el ingreso, sin deducción alguna, la tasa máxima para
aplicarse sobre el excedente del límite inferior que establece la tarifa
contenida en el artículo 152 de esta Ley. En el caso de la fracción I que
antecede, el impuesto se calculará sobre el monto total de la deuda perdonada,
debiendo efectuar el pago el acreedor que perdone la deuda, mediante declaración
que presentará ante las oficinas autorizadas el día siguiente al que se efectúe
dicha condonación.
Tratándose de los ingresos a que se refiere la
fracción II de este artículo, el impuesto se calculará sobre el monto bruto de
la contraprestación pactada y en el caso de los ingresos señalados en la
fracción III del mismo, se determinará sobre el monto bruto de las
indemnizaciones o pagos derivados de cláusulas penales o convencionales.
Cuando se trate de los ingresos a que se refiere la
fracción IV del presente artículo, el impuesto se calculará sobre el monto
bruto de la contraprestación pactada. En el caso previsto en el segundo párrafo
de la citada fracción, el impuesto se calculará sobre la diferencia que exista
entre el monto total de la contraprestación pactada y el valor que tengan los
activos en la fecha en que se transfiera la propiedad, conforme al avalúo que
se practique por persona autorizada por las autoridades fiscales, según sea el
caso.
Respecto de los ingresos mencionados en las fracciones
II, III y IV de este artículo, el impuesto se pagará mediante retención que
efectuará la persona que realice el pago si éste es residente en el país o
residente en el extranjero con establecimiento permanente en México. En caso
distinto, el contribuyente enterará el impuesto correspondiente mediante
declaración que presentará ante las oficinas autorizadas dentro de los quince
días siguientes a la obtención del ingreso.
Artículo 173. En el caso de ingresos por primas pagadas o cedidas a
reaseguradoras, se considerará que la fuente de riqueza se encuentra en
territorio nacional cuando dichas primas pagadas o cedidas se paguen por un
residente en el país o por un residente en el extranjero con establecimiento
permanente en el país.
El impuesto se calculará aplicando al monto bruto que
se pague al residente en el extranjero, sin deducción alguna, la tasa del 2%.
El impuesto se pagará mediante retención que efectuará la persona que realice
los pagos.
Artículo 174. El representante a que se refiere este título, deberá
ser residente en el país o residente en el extranjero con establecimiento
permanente en México y conservar a disposición de las autoridades fiscales, la
documentación comprobatoria relacionada con el pago del impuesto por cuenta del
contribuyente, durante cinco años contados a partir del día siguiente a aquél
en que se hubiere presentado la declaración.
Cuando el adquirente o el prestatario de la obra
asuman la responsabilidad solidaria, el representante dejará de ser solidario;
en este caso el responsable solidario tendrá la disponibilidad de los
documentos a que se refiere este artículo, cuando las autoridades fiscales
ejerciten sus facultades de comprobación.
Las personas físicas contribuyentes del impuesto a que
se refiere este Título que durante el año de calendario adquieran la residencia
en el país, considerarán el impuesto pagado durante el mismo como definitivo y
calcularán en los términos del Título IV, de esta Ley, el impuesto por los
ingresos que sean percibidos o sean exigibles a partir de la fecha en que
adquirieron la residencia.
Los contribuyentes que obtengan ingresos de los
señalados en el artículo 168 de esta Ley, cuando por sus actividades
constituyan establecimiento permanente en el país, presentarán declaración
dentro de los tres meses siguientes a la fecha en que constituyan
establecimiento permanente en el país calculando el impuesto en los términos de
los Títulos II o IV de la misma, según sea el caso y efectuarán pagos
provisionales a partir del siguiente ejercicio a aquél en que constituyan
establecimiento permanente.
I. Si
cuando no constituían establecimiento permanente el impuesto se pagó mediante
retención del 25% sobre el ingreso obtenido, aplicarán dicha tasa a los
ingresos acumulables correspondientes a cada pago provisional.
II. Si
cuando no constituían establecimiento permanente se optó por aplicar la tasa
establecida en el primer párrafo del artículo 9 de esta Ley, a la cantidad
resultante de disminuir del ingreso obtenido las deducciones autorizadas por el
Título II de la misma, determinarán sus pagos provisionales conforme a lo
señalado en los artículos 14 o 106 de esta Ley según sea el caso.
Tratándose de personas morales iniciarán su ejercicio
fiscal en la fecha en que por sus actividades constituyan establecimiento
permanente en el país.
Artículo 175. Para los efectos de este Título, se considerarán
ingresos por:
I. Salarios
y en general por la prestación de un servicio personal subordinado, los
señalados en el artículo 94 de esta Ley, salvo las remuneraciones a miembros de
consejos directivos, de vigilancia, consultivos o de cualquier otra índole, así
como los honorarios a administradores, comisarios y gerentes generales.
II. Honorarios
y, en general, por la prestación de un servicio profesional, los indicados en
el artículo 100 de esta Ley.
III. Otorgar
el uso o goce temporal de bienes inmuebles, los referidos en el artículo 114 de
esta Ley.
IV. Enajenación
de bienes, los derivados de los actos mencionados en el artículo 14 del Código
Fiscal de la Federación, inclusive en el caso de expropiación.
V. Premios
que deriven de la celebración de loterías, rifas, sorteos o juegos con apuestas
y concursos de toda clase, los mencionados en el artículo 137 de esta Ley.
VI. Actividades
empresariales, los ingresos derivados de las actividades a que se refiere el
artículo 16 del Código Fiscal de la Federación. No se consideran incluidos los
ingresos a que se refieren los artículos 153 al 173 de esta Ley.
VII. Intereses,
los previstos en los artículos 163 y 166 de esta Ley, los cuales se consideran
rendimientos de crédito de cualquier naturaleza.
Lo dispuesto en las fracciones II, III y V de este
artículo, también es aplicable para las personas morales.
TÍTULO VI
DE LAS ENTIDADES EXTRANJERAS CONTROLADAS
SUJETAS A REGÍMENES FISCALES PREFERENTES
Y DE LAS EMPRESAS MULTINACIONALES
Denominación del Título reformada DOF 09-12-2019
CAPÍTULO I
DE LAS ENTIDADES EXTRANJERAS CONTROLADAS
SUJETAS A REGÍMENES FISCALES PREFERENTES
Denominación del Capítulo reformada DOF 09-12-2019
Artículo 176. Los residentes en México y los residentes en el
extranjero con establecimiento permanente en el país, están obligados a pagar
el impuesto conforme a lo dispuesto en este Capítulo, por los ingresos sujetos
a regímenes fiscales preferentes que obtengan a través de entidades extranjeras
en las que participen, directa o indirectamente, en la proporción que les
corresponda por su participación en ellas.
Los ingresos a que se refiere este Capítulo son los
generados en efectivo, en bienes, en servicios o en crédito por las entidades
extranjeras y los que hayan sido determinados presuntamente por las autoridades
fiscales, aun en el caso de que dichos ingresos no hayan sido distribuidos por
ellas a los contribuyentes de este Capítulo.
Para los efectos de esta Ley, se considerarán ingresos
sujetos a regímenes fiscales preferentes, los que no están gravados en el
extranjero o lo están con un impuesto sobre la renta inferior al 75% del
impuesto sobre la renta que se causaría y pagaría en México, en los términos de
los Títulos II o IV de esta Ley, según corresponda. No se considerará el
impuesto sobre dividendos señalado en el segundo párrafo del artículo 140, ni
en el segundo párrafo de la fracción V del artículo 142 de la presente Ley, al
momento de determinar los ingresos sujetos a regímenes fiscales preferentes.
Se considerará que los ingresos están sujetos a un
régimen fiscal preferente cuando el impuesto sobre la renta efectivamente
causado y pagado en el país o jurisdicción de que se trate sea inferior al
impuesto causado en México en los términos de este artículo por la aplicación
de una disposición legal, reglamentaria, administrativa, de una resolución,
autorización, devolución, acreditamiento o cualquier
otro procedimiento.
Para determinar si los ingresos se encuentran sujetos
a regímenes fiscales preferentes en los términos de los párrafos anteriores se
considerará la utilidad o pérdida que generen todas las operaciones realizadas
en el año de calendario por cada entidad extranjera. Si se tiene participación
en dos o más entidades extranjeras residentes de un mismo país o jurisdicción,
y éstas consolidan para efectos fiscales en su país de residencia, la
determinación se podrá realizar de forma consolidada en los términos que
dispongan las reglas de carácter general que al efecto expida el Servicio de
Administración Tributaria. Para fines de otros Capítulos de esta Ley, la
determinación señalada se realizará por cada operación.
Para realizar la determinación señalada en los
párrafos anteriores, se considerarán todos los impuestos sobre la renta pagados
por la entidad extranjera, sin importar que los mismos se paguen en un país o
jurisdicción distintos al de su residencia o a diferentes niveles de gobierno.
No se considera que un impuesto fue pagado, entre otros, cuando el mismo se
realizó mediante el acreditamiento de impuestos sobre
la renta o estímulos fiscales.
Si los ingresos generados por una entidad extranjera
en un año de calendario se encuentran sujetos a un régimen fiscal preferente y
estos se distribuyen a otra entidad extranjera, la determinación que deberá
realizarse de conformidad con los párrafos anteriores podrá considerar el monto
del impuesto pagado por la segunda entidad correspondiente a dichos ingresos.
Lo dispuesto en este párrafo solo será aplicable si la distribución se realiza en el mismo año
de calendario en el que se generaron los ingresos o dentro de los seis meses
siguientes a la finalización del mismo, y en este mismo periodo se haya pagado
dicho impuesto.
En lugar de comparar el impuesto pagado por la entidad
extranjera frente al impuesto que se causaría y pagaría en México de
conformidad con los párrafos anteriores, el contribuyente podrá comparar la
tasa estatutaria del impuesto sobre la renta del país o jurisdicción de su
residencia fiscal, con la tasa establecida en el artículo 9 de esta Ley o la
tasa máxima para aplicarse sobre el excedente del límite inferior que establece
la tarifa contenida en el artículo 152 de la misma, según corresponda. En estos
casos, no se considerarán ingresos
sujetos a regímenes fiscales preferentes
cuando dichas utilidades estén
gravadas con una tasa igual o mayor al 75% de las tasas mencionadas
anteriormente, siempre que sean
gravables todos sus ingresos, salvo los dividendos percibidos entre entidades que sean residentes del mismo país o
jurisdicción, y que sus deducciones
sean o hayan sido realmente erogadas, a condición que se acumulen o deduzcan,
respectivamente, en los mismos momentos señalados en los Títulos II
o IV de esta Ley, según corresponda.
Lo señalado en este párrafo solo será aplicable si la entidad extranjera no
está sujeta a algún crédito o beneficio fiscal en su país o jurisdicción de
residencia que reduzca su base imponible o impuesto a pagar que no se otorgaría
en México, y cuando dicho país o jurisdicción tenga un acuerdo amplio de
intercambio de información con México. Lo señalado en este párrafo no será
aplicable cuando la entidad extranjera esté sujeta a diversas tasas estatuarias
en su país o jurisdicción de residencia. Para estos efectos, se presume, salvo
prueba en contrario, que no se reúnen los elementos previstos en este párrafo.
Lo dispuesto en este artículo no será aplicable a los
ingresos que obtenga el contribuyente a través de una entidad extranjera
transparente fiscal o figura jurídica extranjera en la que tenga una
participación directa, sin importar que los ingresos de estas últimas estén
sujetos a un régimen fiscal preferente. Tampoco será aplicable este artículo, a
los ingresos que obtenga el contribuyente a través de una entidad extranjera
transparente fiscal o figura jurídica extranjera, sin importar que los mismos
estén sujetos a un régimen fiscal preferente, cuando su participación indirecta
en dicha entidad o figura jurídica esté constituida por una estructura que
integre exclusivamente una o varias entidades extranjeras transparentes
fiscales o figuras jurídicas extranjeras. Lo anterior, es aplicable a los
ingresos que obtenga el contribuyente a través de cada una de estas entidades o
figuras que integran dicha estructura. Los casos señalados en este párrafo,
estarán sujetos a lo dispuesto por el artículo 4-B de esta Ley.
Lo dispuesto en este artículo aplicará a los ingresos
que obtenga una entidad extranjera a través de entidades extranjeras
transparentes fiscales o figuras jurídicas extranjeras en proporción a su
participación. Cuando los ingresos generados a través de las entidades
extranjeras transparentes fiscales o figuras jurídicas extranjeras no se hayan
acumulado por la primera entidad extranjera, se considerarán los mismos para
determinar si los ingresos de esta última se encuentran sujetos a un régimen
fiscal preferente. Cuando la entidad extranjera transparente o figura jurídica
extranjera pague un impuesto sobre la renta sobre dichos ingresos, se
considerará para efectos de esta determinación en la proporción que le
corresponda a la primera entidad extranjera.
Lo dispuesto en este Capítulo sólo será aplicable
cuando el contribuyente ejerza el control efectivo sobre la entidad extranjera
de que se trate. Para estos efectos, se entenderá que existe control efectivo
cuando se actualice cualquiera de los siguientes supuestos:
I. Cuando la
participación promedio diaria del contribuyente sobre la entidad extranjera le
permita contar con más del 50% del total de derecho de voto en la entidad, le
confiera el derecho de veto en las decisiones de la entidad o se requiera su
voto favorable para la toma de dichas decisiones, o dicha participación
corresponda a más del 50% del valor total de las acciones emitidas por la
entidad.
II. Cuando por
motivo de algún acuerdo o título valor distinto de los señalados en la fracción
anterior, el contribuyente tenga derecho a más del 50% sobre los activos o
utilidades de la entidad extranjera en caso de cualquier tipo de reducción de
capital o liquidación, en cualquier momento del año de calendario.
III. En el caso
que no se cumplan los porcentajes señalados en las fracciones anteriores,
cuando la suma de ambos signifique que el contribuyente tiene más del 50% de
los derechos referidos.
IV. Cuando el
contribuyente y la entidad extranjera consoliden sus estados financieros con
base en las normas contables que les sean aplicables.
V. Cuando
considerando los hechos y circunstancias, o cualquier tipo de acuerdo o título
valor, el contribuyente tenga derecho, de forma directa o indirecta, a
determinar unilateralmente los acuerdos de las asambleas o las decisiones de
administración de la entidad extranjera, incluso por interpósita
persona.
Lo señalado en el párrafo anterior será aplicable
cuando el contribuyente tenga una participación directa o indirecta sobre la
entidad de que se trate. No obstante, también se considerará que existe control
efectivo para efectos de las fracciones I, II y III antes señaladas, cuando el
contribuyente:
A. Tenga el
derecho, directa o indirectamente, de conformidad con la fracción I a ejercer
el control efectivo de cada una de las entidades extranjeras intermedias que lo
separan de la entidad extranjera en cuestión;
B. Tenga el derecho,
directa o indirectamente, sobre más del 50% de los activos o utilidades de cada
una de las entidades intermedias que lo separan de la entidad extranjera en
cuestión en caso de cualquier tipo de reducción de capital o liquidación, por
motivo de algún acuerdo o título valor distinto a los señalados en el apartado
anterior; o
C. En el caso
que no se cumplan los porcentajes señalados en los apartados anteriores, cuando
la suma de ambos signifique que el contribuyente tiene más del 50% de los
derechos referidos.
Para efectos de determinar si existe control efectivo
de conformidad con los párrafos anteriores, se considerarán todos los derechos
que tenga el contribuyente y sus partes relacionadas y personas vinculadas, sin
importar su residencia fiscal o lugar de constitución. En el caso de las partes
relacionadas y personas vinculadas que sean residentes en México o
establecimientos permanentes en territorio nacional de residentes en el
extranjero, se encuentran obligadas a cumplir con las disposiciones de este
capítulo, sin importar que por sí mismas no cumplan con el requisito de tener
el control efectivo sobre la entidad extranjera de que se trate. En el caso que
los derechos estén bajo el control de una figura jurídica, se considera que los
mismos le pertenecen al contribuyente o a una entidad extranjera en proporción
a su participación sobre la misma.
Se considerará que existe vinculación entre personas,
si una de ellas ocupa cargos de dirección o de responsabilidad en una empresa
de la otra, si están legalmente reconocidas como asociadas en negocios o si se
trata del cónyuge o la persona con quien viva en concubinato o son familiares
consanguíneos en línea recta ascendente o descendente, colaterales o por
afinidad, hasta el cuarto grado.
Se presume, salvo prueba en contrario, que el
contribuyente tiene el control efectivo de las entidades extranjeras que
generan los ingresos sujetos a regímenes fiscales preferentes.
No se considerarán ingresos sujetos a las disposiciones de este Capítulo,
los obtenidos a través de entidades extranjeras que realicen actividades
empresariales, salvo que sus ingresos pasivos representen más del 20% de la
totalidad de sus ingresos. Lo dispuesto en este párrafo no será aplicable,
cuando más del 50% de los ingresos de la entidad extranjera tengan fuente de
riqueza en territorio nacional o hayan representado una deducción en México
directa o indirectamente.
Para los efectos de este Capítulo, se consideran
ingresos pasivos: los intereses; dividendos; regalías; las ganancias en la
enajenación de acciones, títulos valor o bienes intangibles; las ganancias
provenientes de operaciones financieras derivadas cuando el subyacente se
refiera a deudas o acciones; las comisiones y mediaciones, así como los
ingresos provenientes de la enajenación de bienes que no se encuentren
físicamente en el país o jurisdicción donde resida o se ubique la entidad y los
ingresos provenientes de servicios prestados fuera de dicho país o
jurisdicción, o a personas que no
residan en dicho país o jurisdicción, así
como los ingresos derivados de la enajenación de bienes inmuebles, los
derivados del otorgamiento del uso o goce temporal de bienes, así como los
ingresos percibidos a título gratuito.
Las autoridades fiscales podrán autorizar a los
contribuyentes de este Capítulo para no aplicar las disposiciones del mismo a
los ingresos pasivos generados por entidades extranjeras que tengan
autorización para actuar como entidades de financiamiento por las autoridades
del país en que residan, cuando dichos ingresos se utilicen para cumplir con
los requisitos que al efecto se establezcan para el otorgamiento de créditos
contratados con personas, figuras o entidades que no sean consideradas como
partes relacionadas en los términos del artículo 179 de esta Ley y no se genere
una deducción autorizada para un residente en México.
La autorización a que se refiere el párrafo anterior,
estará sujeta a las condiciones que se establezcan en las reglas de carácter
general que al efecto expida el Servicio de Administración Tributaria.
Cuando se enajenen acciones dentro de un mismo grupo,
derivadas de una reestructuración internacional, entre ellas la fusión y
escisión, que generen ingresos comprendidos dentro de este Capítulo, los
contribuyentes podrán no aplicar las disposiciones del mismo a dichos ingresos,
siempre y cuando se cumplan con los requisitos y documentación siguientes:
1. Presentar
un aviso ante las autoridades fiscales con anterioridad a la realización de
dicha reestructuración, que comprenda el organigrama del grupo, con la tenencia
accionaria y una descripción detallada de todos los pasos que se realizarán en
la misma.
2. Que la
realización de la reestructura esté soportada por motivos y razones de negocios
y económicas válidas, sin que la principal motivación de la reestructura sea
obtener un beneficio fiscal, en perjuicio del Fisco Federal. El contribuyente
deberá explicar detalladamente los motivos y las razones del porqué se llevó a
cabo dicha reestructuración en el aviso a que se refiere el numeral anterior.
3. Que
presenten a las autoridades fiscales dentro de los 30 días siguientes a que
finalice la reestructura, los documentos con los que acrediten la realización
de los actos comprendidos dentro de la citada reestructura.
4. Que las
acciones que forman parte de la reestructuración no se enajenen a una persona,
entidad o figura jurídica que no pertenezca a dicho grupo, dentro de los dos
años posteriores a la fecha en que terminó la reestructura.
Para efectos de este Capítulo, se entenderá por grupo
el conjunto de sociedades cuyas acciones con derecho a voto representativas del
capital social sean propiedad directa o indirecta de una misma persona moral en
por lo menos 51%. Lo dispuesto en el
párrafo anterior no será aplicable, respecto a los ingresos generados por la
enajenación de acciones que hayan sido emitidas por un residente en México o
cuando su valor contable provenga directa o indirectamente en más de un 50% de
bienes inmuebles ubicados en el país.
Cuando una entidad extranjera o entidades extranjeras
que consolidan fiscalmente en el mismo país o jurisdicción, estén sujetos a un
régimen fiscal preferente por motivo de una diferencia en el momento de
acumulación de ingresos, deducción de sus erogaciones o pago del impuesto,
podrán solicitar una autorización a las autoridades fiscales para efectos de no
aplicar las disposiciones de este Capítulo. Esta autorización solo se podrá
otorgar si dicha diferencia temporal no sobrepasa un periodo de cuatro años
contados a partir del ejercicio fiscal de que se trate y si se cumplen los
requisitos adicionales que para tal efecto expida el Servicio de Administración
Tributaria mediante reglas de carácter general.
Artículo reformado DOF 09-12-2019
Artículo 177. Para los efectos de este Capítulo, los ingresos a que
se refiere el artículo 176 de esta Ley serán gravables para el contribuyente en
el ejercicio en que se generen en la proporción de su participación directa o
indirecta en la entidad extranjera que los perciba, aun cuando ella no se los
distribuya al contribuyente. Los contribuyentes deberán calcular el impuesto
sobre la renta, aplicando al resultado fiscal de la entidad extranjera la tasa
del impuesto que corresponda.
El resultado fiscal de la entidad extranjera se
determinará de conformidad con el Título II de esta Ley. El resultado fiscal del ejercicio se determinará en
la moneda extranjera en la que deba llevar la contabilidad la entidad
extranjera y deberá convertirse a
moneda nacional al tipo de cambio del último día hábil del cierre del ejercicio. El Servicio de Administración
Tributaria podrá emitir reglas de carácter general para la aplicación de este
párrafo.
En el caso en que resulte pérdida fiscal, únicamente
podrá disminuirse de las utilidades fiscales de ejercicios posteriores que
tenga la misma entidad extranjera que la generó, en los términos del artículo
57 de esta Ley.
Después de determinar el resultado fiscal de la
entidad extranjera, el contribuyente deberá calcular el mismo en proporción a
su participación directa o indirecta que tenga sobre la misma. Para determinar
dicha proporción se considerará lo siguiente:
I. En caso de
tener el control efectivo de conformidad con la fracción I o el apartado A del
artículo 176 de esta Ley, se considerará su participación directa o indirecta
promedio por día del contribuyente sobre la entidad extranjera en el ejercicio
de que se trate.
II. En caso de
tener el control efectivo de conformidad con la fracción II o apartado B del
artículo 176 de esta Ley, se considerará la participación directa o indirecta
que tenga el contribuyente sobre los activos y utilidades de la entidad
extranjera, en caso de cualquier tipo de reducción de capital o liquidación. En
caso que este porcentaje haya variado durante el año de calendario, se
considerará el más alto de ellos.
III. En caso de
tener control efectivo de conformidad con las fracciones I o II, o los
apartados A o B del artículo 176 de esta Ley, o alguna combinación de ellos, el
contribuyente deberá sumar las participaciones a las que hacen referencia las
fracciones I y II de este artículo, aun cuando alguna de ellas no le genere
control efectivo de conformidad con el referido artículo.
IV. En caso de
tener el control efectivo de conformidad con la fracción III o apartado C del
artículo 176 de esta Ley, se considerará la participación directa o indirecta
que le corresponda al contribuyente de conformidad con las fracciones I y II de
este artículo.
V. En caso de
tener el control efectivo de conformidad con la fracción IV del artículo 176 de
esta Ley, se considerará la participación controladora directa o indirecta de
conformidad con las normas contables que le sean aplicables.
VI. En caso de
tener el control efectivo de conformidad con la fracción V del artículo 176 de
esta Ley, se considerará la participación directa o indirecta promedio por día
del contribuyente sobre la entidad extranjera en el ejercicio de que se trate,
y el porcentaje que tenga el contribuyente sobre los activos y utilidades de la
entidad extranjera en caso de cualquier tipo de reducción de capital o
liquidación por motivo de un acuerdo o título valor distinto a las acciones.
Si el contribuyente se encuentra en más de uno de los
supuestos establecidos en el párrafo anterior, deberá considerar como
proporción de su participación directa o indirecta, la más alta de ellas.
Los contribuyentes que opten por efectuar la
determinación de forma consolidada a que se refiere el párrafo quinto del
artículo 176 de esta Ley, podrán calcular el impuesto de forma consolidada por
los ingresos considerados para dicha determinación.
Los contribuyentes deben tener a disposición de las
autoridades fiscales la contabilidad de las entidades extranjeras a que se
refiere el artículo 176 de esta Ley y presentar dentro del plazo
correspondiente la declaración informativa a que se refiere el artículo 178 de
la misma. En caso de incumplimiento, se acumulará la totalidad de los ingresos
de la entidad extranjera, sin deducción alguna, en la proporción que les
corresponda por su participación directa o indirecta en ella.
En el caso de contribuyentes sujetos al Título II de
esta Ley, el impuesto se determinará aplicando la tasa prevista en el artículo
9 de esta Ley al resultado fiscal a que se refiere este artículo. En el caso de contribuyentes sujetos
al Título IV de esta Ley, el impuesto se determinará aplicando la tasa máxima
para aplicarse sobre el excedente del límite inferior que establece la tarifa
contenida en el artículo 152 de esta Ley.
Los ingresos gravables a que se refiere este artículo
se determinarán cada año de calendario y no se acumularán a los demás ingresos
del contribuyente, inclusive para los efectos de los artículos 14, 106, 144 y
145 de esta Ley, según corresponda. El impuesto que resulte de dichos ingresos
se enterará conjuntamente con la declaración anual.
Los impuestos sobre la renta pagados por las entidades
extranjeras por ingresos sujetos a regímenes fiscales preferentes, en México y
el extranjero, podrán acreditarse contra el impuesto sobre la renta causado de
conformidad con este Capítulo en los mismos términos que el artículo 5 de esta
Ley. El monto del impuesto acreditable se determinará en la misma proporción,
que se determine el resultado fiscal en términos del párrafo cuarto de este
artículo. Lo dispuesto en este párrafo no incluye el impuesto pagado por otras
entidades o figuras jurídicas extranjeras, salvo que los ingresos de estas
últimas hayan sido incluidos como ingresos de la entidad extranjera de que se
trate para efectos de la determinación señalada en el artículo 176 de esta Ley
y para el cálculo del resultado fiscal de conformidad con este artículo.
Adicionalmente, será acreditable el impuesto sobre la
renta pagado por una entidad extranjera en virtud de la aplicación de
disposiciones fiscales extranjeras similares a las contenidas en este Capítulo,
siempre que el contribuyente tenga una participación accionaria directa o
indirecta sobre la entidad que realiza el pago. Lo dispuesto en este párrafo se
sujetará a lo señalado en el artículo 5 de esta Ley.
El contribuyente deberá llevar una cuenta por cada una
de las entidades extranjeras en las que participe que generen los ingresos a
que se refiere el artículo 176 de esta Ley. Esta cuenta se adicionará con la
utilidad fiscal o el resultado fiscal de cada ejercicio de la entidad extranjera
que le corresponda al contribuyente por su participación en ella que ya haya
pagado el impuesto a que se refiere este artículo, restando del monto de la misma, el impuesto acreditable
de conformidad con el párrafo anterior, y se disminuirá con los ingresos,
dividendos o utilidades que la entidad extranjera le distribuya al
contribuyente. En caso que la entidad extranjera sujeta a un régimen fiscal
preferente de que se trate pague el impuesto señalado en este Capítulo en
nombre y por cuenta del contribuyente, el impuesto efectivamente pagado por
ésta también deberá ser disminuido de esta cuenta, sin que esto le genere un
ingreso acumulable al contribuyente. Cuando
el saldo de esta cuenta sea inferior al monto de los dividendos o utilidades
distribuidos al contribuyente, deberá pagarse el impuesto por la diferencia
aplicando la tasa prevista en el artículo 9 de esta Ley, o la tasa máxima para
aplicarse sobre el excedente del límite inferior que establece la tarifa
contenida en el artículo 152 de la misma, según corresponda.
El saldo de la cuenta prevista en el párrafo anterior,
que se tenga al último día de cada ejercicio, sin incluir la utilidad fiscal o
el resultado fiscal del propio ejercicio, se actualizará por el periodo
comprendido, desde el mes en que se efectuó la última actualización y hasta el
último mes del ejercicio de que se trate. Cuando el contribuyente perciba
utilidades o dividendos con posterioridad a la actualización prevista en este
párrafo, el saldo de la cuenta que se tenga a la fecha de la distribución se
actualizará por el periodo comprendido, desde el mes en que se efectuó la
última actualización y hasta el mes en que se distribuyan los ingresos,
dividendos o utilidades.
Los dividendos o utilidades que perciban las personas
morales residentes en México, disminuidos con el impuesto sobre la renta que se
haya pagado por ellos en los términos de este artículo, se adicionará a la
cuenta de utilidad fiscal neta a que se refiere el artículo 77 de esta Ley de
dichas personas.
No obstante los párrafos anteriores, cuando los
contribuyentes personas físicas obtengan dividendos o utilidades de las
entidades extranjeras previstas en este Capítulo, deberán de pagar el impuesto
adicional al que se refiere el artículo 142, fracción V, segundo párrafo de
esta Ley.
Cuando el contribuyente enajene acciones de la entidad
extranjera o su participación en ella, se determinará la ganancia en los
términos del tercer párrafo del artículo 22 de esta Ley. El contribuyente podrá
optar por aplicar lo previsto en el artículo 22 de la misma Ley, como si se
tratara de acciones emitidas por personas morales residentes en México.
Tratándose de ingresos derivados de la liquidación o
reducción del capital de las entidades extranjeras a las que refiere este
artículo, el contribuyente deberá determinar el ingreso gravable en los
términos del artículo 78 de esta Ley. Para estos efectos el contribuyente
llevará una cuenta de capital de aportación que se adicionará con las
aportaciones de capital y las primas netas por suscripción de acciones
efectuadas por cada accionista y se disminuirá con las reducciones de capital
que se efectúen a cada accionista.
El saldo de la cuenta prevista en el párrafo anterior
que se tenga al día de cierre de cada ejercicio se actualizará por el periodo
comprendido, desde el mes en que se efectuó la última actualización, hasta el
mes de cierre del ejercicio de que se trate. Cuando se efectúen aportaciones o
reducciones de capital con posterioridad a la actualización prevista en este
párrafo, el saldo de la cuenta que se tenga a esa fecha se actualizará por el
periodo comprendido, desde el mes en que se efectuó la última actualización y
hasta el mes en que se pague la aportación o el reembolso, según corresponda.
El capital de aportación por acción actualizado se
determinará dividiendo el saldo de la cuenta de capital de aportación de cada
accionista, a que se refiere este artículo, entre el total de las acciones que
tiene cada uno de ellos de la persona moral, a la fecha del reembolso, incluyendo
las correspondientes a la reinversión o capitalización de utilidades o de
cualquier otro concepto que integre el capital contable de la misma.
La contabilidad de los contribuyentes relativa a los
ingresos a que se refiere este Capítulo deberá reunir los requisitos que
establece el inciso a) de la fracción XVII del artículo 76 de esta Ley y deberá
estar a disposición de las autoridades fiscales. Para los efectos de este
Capítulo, se considera que el contribuyente tiene a disposición de las
autoridades fiscales la contabilidad de las entidades extranjeras a que se
refiere el primer párrafo del artículo 176 de esta Ley, cuando deba
proporcionársela a dicha autoridad al ejercer sus facultades de comprobación.
Para los efectos de esta Ley las autoridades fiscales
podrán, como resultado del ejercicio de las facultades de comprobación que les
conceden las leyes, determinar la simulación de los actos jurídicos
exclusivamente para efectos fiscales, la cual tendrá que quedar debidamente
fundada y motivada dentro del procedimiento de comprobación y declarada su
existencia en el propio acto de determinación de su situación fiscal a que se
refiere el artículo 50 del Código Fiscal de la Federación, siempre que se trate
de operaciones entre partes relacionadas en términos del artículo 179 de esta
Ley.
En los actos jurídicos en los que exista simulación,
el hecho imponible gravado será el efectivamente realizado por las partes.
La resolución en que la autoridad determine la
simulación deberá incluir lo siguiente:
a) Identificar
el acto simulado y el realmente celebrado.
b) Cuantificar
el beneficio fiscal obtenido por virtud de la simulación.
c) Señalar
los elementos por los cuales se determinó la existencia de dicha simulación,
incluyendo la intención de las partes de simular el acto.
Para efectos de probar la simulación, la autoridad
podrá basarse, entre otros, en elementos presuncionales.
En los casos que se determine simulación en los
términos de los cuatro párrafos anteriores, el contribuyente no estará obligado
a presentar la declaración a que se refiere el artículo 178 de esta Ley.
Artículo reformado DOF 09-12-2019
Artículo 178. Los contribuyentes de este Título, además de las
obligaciones establecidas en otros artículos de esta Ley, deberán presentar en
el mes de febrero de cada año, ante las oficinas autorizadas, declaración
informativa sobre los ingresos que hayan generado o generen en el ejercicio
inmediato anterior sujetos a regímenes fiscales preferentes, o en sociedades o
entidades cuyos ingresos estén sujetos a dichos regímenes, que corresponda al
ejercicio inmediato anterior, acompañando los estados de cuenta por depósitos,
inversiones, ahorros o cualquier otro, o en su caso, la documentación que
mediante reglas de carácter general establezca el Servicio de Administración
Tributaria. Para los efectos de este artículo, se consideran ingresos sujetos a
regímenes fiscales preferentes, tanto los depósitos como los retiros. La
declaración a que se refiere este artículo, será utilizada únicamente para
efectos fiscales.
No obstante lo dispuesto por este Capítulo, los
contribuyentes que generen ingresos de cualquier clase provenientes de alguno
de los territorios señalados en las disposiciones transitorias de esta Ley, así
como los que realicen operaciones a través de entidades extranjeras
transparentes fiscales y figuras jurídicas extranjeras a que se refiere el
artículo 4-B de la misma, deberán presentar la declaración informativa prevista
en el párrafo anterior, sin que por este solo hecho se considere que se están
generando ingresos sujetos a regímenes fiscales preferentes, salvo que se
ubiquen en alguno de los supuestos previstos en el artículo 176 de esta Ley, o
cuando no cumplan con la presentación de la declaración informativa a que se
refiere este párrafo.
Párrafo reformado DOF 09-12-2019
El titular y los cotitulares de los ingresos previstos
en el primer párrafo de este artículo serán quienes deberán presentar la
declaración antes señalada y las instituciones financieras sólo estarán
relevadas de presentar la misma, siempre que conserven copia de la declaración
presentada en tiempo y forma por el titular y cotitulares de los ingresos
sujetos a un régimen fiscal preferente.
Se considera que el contribuyente omitió la
presentación de la declaración a que hace referencia este artículo, cuando no
contenga la información relativa a la totalidad de los ingresos que el
contribuyente haya generado o genere sujetos a regímenes fiscales preferentes
que correspondan al ejercicio inmediato anterior.
CAPÍTULO II
DE LAS EMPRESAS MULTINACIONALES
Artículo 179. Los contribuyentes del Título II de esta Ley, que
celebren operaciones con partes relacionadas residentes en el extranjero están
obligados, para efectos de esta Ley, a determinar sus ingresos acumulables y
deducciones autorizadas, considerando para esas operaciones los precios y
montos de contraprestaciones que hubieran utilizado con o entre partes
independientes en operaciones comparables.
En el caso contrario, las autoridades fiscales podrán
determinar los ingresos acumulables y deducciones autorizadas de los
contribuyentes, mediante la determinación del precio o monto de la
contraprestación en operaciones celebradas entre partes relacionadas,
considerando para esas operaciones los precios y montos de contraprestaciones
que hubieran utilizado partes independientes en operaciones comparables, ya sea
que éstas sean con personas morales, residentes en el país o en el extranjero,
personas físicas y establecimientos permanentes en el país de residentes en el
extranjero, así como en el caso de las actividades realizadas a través de
fideicomisos.
Para los efectos de esta Ley, se entiende que las
operaciones o las empresas son comparables, cuando no existan diferencias entre
éstas que afecten significativamente el precio o monto de la contraprestación o
el margen de utilidad a que hacen referencia los métodos establecidos en el
artículo 180 de esta Ley, y cuando existan dichas diferencias, éstas se
eliminen mediante ajustes razonables. Para determinar dichas diferencias, se
tomarán en cuenta los elementos pertinentes que se requieran, según el método
utilizado, considerando, entre otros, los siguientes elementos:
I. Las
características de las operaciones, incluyendo:
a) En el caso de
operaciones de financiamiento, elementos tales como el monto del principal,
plazo, garantías, solvencia del deudor y tasa de interés.
b) En el caso de
prestación de servicios, elementos tales como la naturaleza del servicio, y si
el servicio involucra o no una experiencia o conocimiento técnico.
c) En el caso de
uso, goce o enajenación, de bienes
tangibles, elementos tales como las características físicas, calidad y
disponibilidad del bien.
d) En el caso de
que se conceda la explotación o se transmita un bien intangible, elementos
tales como si se trata de una patente, marca, nombre comercial o transferencia
de tecnología, la duración y el grado de protección.
e) En el caso de
enajenación de acciones, se considerarán elementos tales como el capital
contable actualizado de la emisora, el valor presente de las utilidades o
flujos de efectivo proyectados o la cotización bursátil del último hecho del
día de la enajenación de la emisora.
II. Las
funciones o actividades, incluyendo los activos utilizados y riesgos asumidos
en las operaciones, de cada una de las partes involucradas en la operación.
III. Los
términos contractuales.
IV. Las
circunstancias económicas.
V. Las
estrategias de negocios, incluyendo las relacionadas con la penetración,
permanencia y ampliación del mercado.
Cuando los ciclos de negocios o aceptación comercial
de un producto del contribuyente cubran más de un ejercicio, se podrán
considerar operaciones comparables correspondientes de dos o más ejercicios,
anteriores o posteriores.
Se considera que dos o más personas son partes
relacionadas, cuando una participa de manera directa o indirecta en la
administración, control o capital de la otra, o cuando una persona o grupo de
personas participe directa o indirectamente en la administración, control o
capital de dichas personas. Tratándose de asociaciones en participación, se
consideran como partes relacionadas sus integrantes, así como las personas que
conforme a este párrafo se consideren partes relacionadas de dicho integrante.
Se consideran partes relacionadas de un establecimiento
permanente, la casa matriz u otros establecimientos permanentes de la misma,
así como las personas señaladas en el párrafo anterior y sus establecimientos
permanentes.
Salvo prueba en contrario, se presume que las
operaciones entre residentes en México y sociedades o entidades sujetas a
regímenes fiscales preferentes, son entre partes relacionadas en las que los
precios y montos de las contraprestaciones no se pactan conforme a los que
hubieran utilizado partes independientes en operaciones comparables.
Para la interpretación de lo dispuesto en este
Capítulo, serán aplicables las Guías sobre Precios de Transferencia para las
Empresas Multinacionales y las Administraciones Fiscales, aprobadas por el
Consejo de la Organización para la Cooperación y el Desarrollo Económico en
1995, o aquéllas que las sustituyan, en la medida en que las mismas sean
congruentes con las disposiciones de esta Ley y de los tratados celebrados por
México.
Artículo 180. Para los efectos de lo dispuesto por el artículo 179 de
esta Ley, los contribuyentes deberán aplicar los siguientes métodos:
I. Método
de precio comparable no controlado, que consiste en considerar el precio o el
monto de las contraprestaciones que se hubieran pactado con o entre partes
independientes en operaciones comparables.
II. Método
de precio de reventa, que consiste en determinar el precio de adquisición de un
bien, de la prestación de un servicio o de la contraprestación de cualquier
otra operación entre partes relacionadas, multiplicando el precio de reventa, o
de la prestación del servicio o de la operación de que se trate por el
resultado de disminuir de la unidad, el por ciento de utilidad bruta que
hubiera sido pactado con o entre partes independientes en operaciones
comparables. Para los efectos de esta fracción, el por ciento de utilidad bruta
se calculará dividiendo la utilidad bruta entre las ventas netas.
III. Método de
costo adicionado, que consiste en determinar el precio de venta de un bien, de
la prestación de un servicio o de la contraprestación de cualquier otra
operación, entre partes relacionadas, multiplicando el costo del bien, del
servicio o de la operación de que se trate por el resultado de sumar a la
unidad el por ciento de utilidad bruta que hubiera sido pactada con o entre partes
independientes en operaciones comparables. Para los efectos de esta fracción,
el por ciento de utilidad bruta se calculará dividiendo la utilidad bruta entre
el costo de ventas.
IV. Método de
partición de utilidades, que consiste en asignar la utilidad de operación
obtenida por partes relacionadas, en la proporción que hubiera sido asignada
con o entre partes independientes, conforme a lo siguiente:
a) Se
determinará la utilidad de operación global mediante la suma de la utilidad de
operación obtenida por cada una de las personas relacionadas involucradas en la
operación.
b) La utilidad
de operación global se asignará a cada una de las personas relacionadas
considerando elementos tales como activos, costos y gastos de cada una de las
personas relacionadas, con respecto a las operaciones entre dichas partes
relacionadas.
V. Método
residual de partición de utilidades, que consiste en asignar la utilidad de
operación obtenida por partes relacionadas, en la proporción que hubiera sido
asignada con o entre partes independientes conforme a lo siguiente:
a) Se
determinará la utilidad de operación global mediante la suma de la utilidad de
operación obtenida por cada una de las personas relacionadas involucradas en la
operación.
b) La utilidad
de operación global se asignará de la siguiente manera:
1. Se
determinará la utilidad mínima que corresponda en su caso, a cada una de las
partes relacionadas mediante la aplicación de cualquiera de los métodos a que
se refieren las fracciones I, II, III, IV y VI de este artículo, sin tomar en
cuenta la utilización de intangibles significativos.
2. Se
determinará la utilidad residual, la cual se obtendrá disminuyendo la utilidad
mínima a que se refiere el apartado 1 anterior, de la utilidad de operación
global. Esta utilidad residual se distribuirá entre las partes relacionadas
involucradas en la operación tomando en cuenta, entre otros elementos, los
intangibles significativos utilizados por cada una de ellas, en la proporción
en que hubiera sido distribuida con o entre partes independientes en
operaciones comparables.
VI. Método de
márgenes transaccionales de utilidad de operación, que consiste en determinar
en transacciones entre partes relacionadas, la utilidad de operación que
hubieran obtenido empresas comparables o partes independientes en operaciones
comparables, con base en factores de rentabilidad que toman en cuenta variables
tales como activos, ventas, costos, gastos o flujos de efectivo.
De la aplicación de alguno de los métodos señalados en
este artículo, se podrá obtener un rango de precios, de montos de las
contraprestaciones o de márgenes de utilidad, cuando existan dos o más
operaciones comparables. Estos rangos se ajustarán mediante la aplicación de
métodos estadísticos. Si el precio, monto de la contraprestación o margen de
utilidad del contribuyente se encuentra dentro de estos rangos, dichos precios,
montos o márgenes se considerarán como pactados o utilizados entre partes
independientes. En caso de que el contribuyente se encuentre fuera del rango ajustado,
se considerará que el precio o monto de la contraprestación que hubieran
utilizado partes independientes, es la mediana de dicho rango.
Los contribuyentes deberán aplicar en primer término
el método previsto por la fracción I de este artículo, y sólo podrán utilizar
los métodos señalados en las fracciones II, III, IV, V y VI del mismo, cuando
el método previsto en la fracción I citada no sea el apropiado para determinar
que las operaciones realizadas se encuentran a precios de mercado de acuerdo con
las Guías de Precios de Transferencia para las Empresas Multinacionales y las
Administraciones Fiscales a que se refiere el último párrafo del artículo 179
de esta Ley.
Para los efectos de la aplicación de los métodos
previstos por las fracciones II, III y VI de este artículo, se considerará que
se cumple la metodología, siempre que se demuestre que el costo y el precio de
venta se encuentran a precios de mercado. Para estos efectos se entenderán como
precios de mercado, los precios y montos de contraprestaciones que hubieran
utilizado con o entre partes independientes en operaciones comparables o cuando
al contribuyente se le haya otorgado una resolución favorable en los términos
del artículo 34-A del Código Fiscal de la Federación. Deberá demostrarse que el
método utilizado es el más apropiado o el más confiable de acuerdo con la
información disponible, debiendo darse preferencia a los métodos previstos en
las fracciones II y III de este artículo.
Para los efectos de este artículo y del artículo 179 de
esta Ley, los ingresos, costos, utilidad bruta, ventas netas, gastos, utilidad
de operación, activos y pasivos, se determinarán con base en las normas de
información financiera.
Artículo 181. No se considerará que un residente en el extranjero
tiene un establecimiento permanente en el país, derivado de las relaciones de
carácter jurídico o económico que mantengan con empresas que lleven a cabo
operaciones de maquila, que procesen habitualmente en el país, bienes o
mercancías mantenidas en el país por el residente en el extranjero, utilizando
activos proporcionados, directa o indirectamente, por el residente en el
extranjero o cualquier empresa relacionada, siempre que México haya celebrado,
con el país de residencia del residente en el extranjero, un tratado para
evitar la doble imposición y se cumplan los requisitos del tratado, incluyendo
los acuerdos amistosos celebrados de conformidad con el tratado en la forma en
que hayan sido implementados por las partes del tratado, para que se considere
que el residente en el extranjero no tiene establecimiento permanente en el
país. Lo dispuesto en este artículo sólo será aplicable siempre que las
empresas que lleven a cabo operaciones de maquila cumplan con lo señalado en el
artículo 182 de esta Ley.
Para los efectos de este artículo, se considera
operación de maquila la que cumpla con las siguientes condiciones:
I. Que las
mercancías suministradas por el residente en el extranjero con motivo de un
contrato de maquila al amparo de un Programa de Maquila autorizado por la
Secretaría de Economía, que se sometan a un proceso de transformación o
reparación, sean importadas temporalmente y se retornen al extranjero,
inclusive mediante operaciones virtuales, realizadas de conformidad con lo que
establece la Ley Aduanera y las reglas de carácter general que para tal efecto
emita el Servicio de Administración Tributaria. Para lo dispuesto en esta
fracción no se requiere el retorno al extranjero de mermas y desperdicios.
Las
mercancías a que se refiere esta fracción, sólo podrán ser propiedad de un
tercero residente en el extranjero cuando tenga una relación comercial de
manufactura con la empresa residente en el extranjero, que a su vez tiene un
contrato de maquila con la que realiza la operación de maquila en México, siempre
y cuando esas mercancías sean suministradas con motivo de dichas relaciones
comerciales.
Para
los efectos de esta fracción, se consideran como transformación, los procesos
que se realicen con las mercancías consistentes en: la dilución en agua o en
otras sustancias; el lavado o limpieza, incluyendo la remoción de óxido, grasa,
pintura u otros recubrimientos; la aplicación de conservadores, incluyendo
lubricantes, encapsulación protectora o pintura para conservación; el ajuste,
limado o corte; el acondicionamiento en dosis; el empacado, reempacado,
embalado o reembalado; el sometimiento a pruebas, y
el marcado, etiquetado o clasificación, así como el desarrollo de un producto,
excepto tratándose de marcas, avisos comerciales y nombres comerciales.
II. Que la
totalidad de sus ingresos por su actividad productiva, provengan exclusivamente
de su operación de maquila.
III. Que
cuando las empresas con Programa que realicen los procesos de transformación o
reparación a que se refiere la fracción I de este artículo, incorporen en sus
procesos productivos mercancías nacionales o extranjeras, que no sean
importadas temporalmente, éstas deberán exportarse o retornarse conjuntamente
con las mercancías que hubieren importado temporalmente.
IV. Que los
procesos de transformación o reparación a que se refiere la fracción I de este
artículo, se realicen con maquinaria y equipo propiedad del residente en el
extranjero con el que las empresas con Programa tengan celebrado el contrato de
maquila, siempre que no hayan sido propiedad de la empresa que realiza la
operación de maquila o de otra empresa residente en México de la que sea parte
relacionada.
El
proceso de transformación y reparación podrá complementarse con maquinaria y
equipo propiedad de un tercero residente en el extranjero, que tenga una
relación comercial de manufactura con la empresa residente en el extranjero que
a su vez tenga un contrato de maquila con aquélla que realiza la operación de
maquila en México, siempre y cuando esos bienes sean suministrados con motivo
de dicha relación comercial, o bien sean propiedad de la empresa que realiza la
operación de maquila o con maquinaria y equipo arrendados a una parte no
relacionada. En ningún caso la maquinaria o equipo antes señalado podrán haber
sido propiedad de otra empresa residente en México de la que la empresa que
realiza la operación de maquila sea parte relacionada.
Lo
dispuesto en esta fracción será aplicable siempre que el residente en el
extranjero con el que se tenga celebrado el contrato de maquila sea propietario
de al menos un 30% de la maquinaria y equipo utilizados en la operación de
maquila. El porcentaje mencionado se calculará de conformidad con las reglas de
carácter general que para tal efecto emita el Servicio de Administración Tributaria.
No se
considerará operación de maquila la transformación o reparación de mercancías
cuya enajenación se realice en territorio nacional y no se encuentre amparada
con un pedimento de exportación por lo que no será aplicable lo dispuesto en el
artículo 182 de esta Ley.
Artículo 182. Para los efectos del artículo 181 de esta Ley, se
considerará que las empresas que llevan a cabo operaciones de maquila cumplen
con lo dispuesto en los artículos 179 y 180 de la Ley y que las personas
residentes en el extranjero para las cuales actúan no tienen establecimiento
permanente en el país, cuando las empresas maquiladoras determinen su utilidad
fiscal como la cantidad mayor que resulte de aplicar lo siguiente:
I. El 6.9%
sobre el valor total de los activos utilizados en la operación de maquila
durante el ejercicio fiscal, incluyendo los que sean propiedad de la persona
residente en el país, de residentes en el extranjero o de cualquiera de sus
partes relacionadas, incluso cuando hayan sido otorgados en uso o goce temporal
a dicha maquiladora.
Se
entiende que los activos se utilizan en la operación de maquila cuando se
encuentren en territorio nacional y sean utilizados en su totalidad o en parte
en dicha operación.
Los
activos a que se refiere esta fracción podrán ser considerados únicamente en la
proporción en que éstos sean utilizados siempre que obtengan autorización de
las autoridades fiscales.
a) La persona
residente en el país podrá excluir del cálculo a que se refiere esta fracción
el valor de los activos que les hayan arrendado partes relacionadas residentes
en territorio nacional o partes no relacionadas residentes en el extranjero,
siempre que los bienes arrendados no hayan sido de su propiedad o de sus partes
relacionadas residentes en el extranjero, excepto cuando la enajenación de los
mismos hubiere sido pactada de conformidad con los artículos 179 y 180 de esta
Ley.
El valor
de los activos utilizados en la operación de maquila, propiedad de la persona
residente en el país, será calculado de conformidad con el procedimiento que
establezca el Servicio de Administración Tributaria mediante reglas de carácter
general.
El valor
de los activos fijos e inventarios propiedad de residentes en el extranjero,
utilizados en la operación en cuestión, será calculado de conformidad con lo
siguiente:
1. El valor de
los inventarios de materias primas, productos semiterminados
y terminados, mediante la suma de los promedios mensuales de dichos
inventarios, correspondientes a todos los meses del ejercicio y dividiendo el
total entre el número de meses comprendidos en el ejercicio. El promedio
mensual de los inventarios se determinará mediante la suma de dichos
inventarios al inicio y al final del mes y dividiendo el resultado entre dos.
Los inventarios al inicio y al final del mes deberán valuarse
conforme al método que la persona residente en el país tenga implantado con
base en el valor que para dichos inventarios se hubiere consignado en la
contabilidad del propietario de los inventarios al momento de ser importados a
México. Dichos inventarios serán valuados conforme a principios de contabilidad
generalmente aceptados en los Estados Unidos de América o los principios de
contabilidad generalmente aceptados internacionalmente cuando el propietario de
los bienes resida en un país distinto a los Estados Unidos de América. Para el
caso de los valores de los productos semiterminados o
terminados, procesados por la persona residente en el país, el valor se
calculará considerando únicamente el valor de la materia prima.
Cuando los
promedios mensuales a que hace referencia el párrafo anterior se encuentren
denominados en dólares de los Estados Unidos de América, la persona residente
en el país deberá convertirlas a moneda nacional, aplicando el tipo de cambio
publicado en el Diario Oficial de la Federación vigente al último día del mes
que corresponda. En caso de que el Banco de México no hubiere publicado dicho
tipo de cambio, se aplicará el último tipo de cambio publicado en el Diario
Oficial de la Federación con anterioridad a la fecha de cierre de mes. Cuando
las referidas cantidades estén denominadas en una moneda extranjera distinta
del dólar de los Estados Unidos de América, se deberá multiplicar el tipo de
cambio antes mencionado por el equivalente en dólares de los Estados Unidos de
América de la moneda de que se trate, de acuerdo a la tabla que publique el
Banco de México en el mes inmediato siguiente a aquél al que corresponda la
importación.
2. El valor de
los activos fijos será el monto pendiente por deducir, calculado de conformidad
con lo siguiente:
i) Se
considerará como monto original de la inversión el monto de adquisición de
dichos bienes por el residente en el extranjero.
ii) El
monto pendiente por deducir se calculará disminuyendo del monto original de la
inversión, determinado conforme a lo dispuesto en el inciso anterior, la
cantidad que resulte de aplicar a este último monto los por cientos máximos
autorizados previstos en los artículos 34, 35, 36, 37 y demás aplicables de
esta Ley, según corresponda al bien de que se trate, sin que en ningún caso se
pueda aplicar lo dispuesto en el artículo 51 de la Ley del Impuesto Sobre la
Renta vigente hasta 1998 o en el artículo 220 de la Ley citada vigente hasta el
31 de diciembre de 2013. Para efectos de este subinciso,
se deberá considerar la deducción por meses completos, desde la fecha en que
fueron adquiridos hasta el último mes de la primera mitad del ejercicio por el
que se determine la utilidad fiscal. Cuando el bien de que se trate haya sido
adquirido durante dicho ejercicio, la deducción se considerará por meses
completos, desde la fecha de adquisición del bien hasta el último mes de la
primera mitad del periodo en el que el bien haya sido destinado a la operación
en cuestión en el referido ejercicio.
En el caso
del primer y último ejercicio en el que se utilice el bien, el valor promedio
del mismo se determinará dividiendo el resultado antes mencionado entre doce y
el cociente se multiplicará por el número de meses en el que el bien haya sido
utilizado en dichos ejercicios.
El monto
pendiente por deducir calculado conforme a este inciso de los bienes
denominados en dólares de los Estados Unidos de América se convertirá a moneda
nacional utilizando el tipo de cambio publicado en el Diario Oficial de la
Federación vigente en el último día del último mes correspondiente a la primera
mitad del ejercicio en el que el bien haya sido utilizado. En el caso de que el
Banco de México no hubiere publicado dicho tipo de cambio, se aplicará el
último tipo de cambio publicado. La conversión a dólares de los Estados Unidos
de América a que se refiere este párrafo, de los valores denominados en otras
monedas extranjeras, se efectuará utilizando el equivalente en dólares de los
Estados Unidos de América de esta última moneda de acuerdo con la tabla que
mensualmente publique el Banco de México durante la primera semana de mes
inmediato siguiente a aquél al que corresponda.
iii) En
ningún caso el monto pendiente por deducir será inferior a 10% del monto de
adquisición de los bienes.
3. La persona
residente en el país podrá optar por incluir gastos y cargos diferidos en el
valor de los activos utilizados en la operación de maquila.
Las
personas residentes en el país deberán tener a disposición de las autoridades
fiscales la documentación correspondiente en la que, en su caso, consten los
valores previstos en los numerales 1 y 2 de la fracción I de este artículo. Se
considerará que se cumple con la obligación de tener a disposición de las
autoridades fiscales la documentación antes referida, cuando se proporcione a
dichas autoridades, en su caso, dentro de los plazos señalados en las
disposiciones fiscales.
II. El 6.5%
sobre el monto total de los costos y gastos de operación de la operación en
cuestión, incurridos por la persona residente en el país, determinados de
conformidad con las normas de información financiera, incluso los incurridos
por residentes en el extranjero,
excepto por lo siguiente:
1. No se
incluirá el valor que corresponda a la adquisición de mercancías, así como de
materias primas, productos semiterminados o
terminados, utilizados en la operación de maquila, que efectúen por cuenta
propia residentes en el extranjero.
2. La deducción
de inversiones de los activos fijos, gastos y cargos diferidos propiedad de la
empresa maquiladora, destinados a la operación de maquila, se calcularán
aplicando lo dispuesto en esta Ley.
3. No deberán
considerarse los efectos de inflación determinados en las normas de información
financiera.
4. No deberán
considerarse los gastos financieros.
5. No deberán
considerarse los gastos extraordinarios o no recurrentes de la operación
conforme a las normas de información financiera. No se consideran gastos
extraordinarios aquellos respecto de los cuales se hayan creado reservas y
provisiones en los términos de las normas de información financiera y para los
cuales la empresa maquiladora cuente con fondos líquidos expresamente
destinados para efectuar su pago. Cuando los contribuyentes no hubiesen creado
las reservas y provisiones citadas y para los cuales la empresa maquiladora
cuente con fondos líquidos expresamente para efectuar su pago, tampoco
considerarán como gastos extraordinarios los pagos que efectúen por los
conceptos respecto de los cuales se debieron constituir las reservas o
provisiones citadas.
Los
conceptos a que se refiere este numeral se deberán considerar en su valor
histórico sin actualización por inflación, con excepción de lo dispuesto en el
numeral 2 de esta fracción.
Para
los efectos de esta fracción sólo deberán considerarse los gastos realizados en
el extranjero por residentes en el extranjero por concepto de servicios
directamente relacionados con la operación de maquila por erogaciones
realizadas por cuenta de la persona residente en el país para cubrir
obligaciones propias contraídas en territorio nacional, o erogaciones de gastos
incurridos por residentes en el extranjero por servicios personales
subordinados que se presten en la operación de maquila, cuando la estancia del
prestador del servicio en territorio nacional sea superior a 183 días
naturales, consecutivos o no, en los últimos doce meses, en los términos del
artículo 154 de esta Ley.
Para
los efectos del cálculo a que se refiere el párrafo anterior, el monto de los
gastos incurridos por residentes en el extranjero por servicios personales
subordinados relacionados con la operación de maquila, que se presten o
aprovechen en territorio nacional, deberá comprender el total del salario
pagado en el ejercicio fiscal de que se trate, incluyendo cualesquiera de las
prestaciones señaladas en reglas de carácter general que al efecto expida el
Servicio de Administración Tributaria, otorgadas a la persona física.
Cuando
la persona física prestadora del servicio personal subordinado sea residente en
el extranjero, en lugar de aplicar lo dispuesto en el párrafo anterior se podrá
considerar en forma proporcional los gastos referidos en el citado párrafo.
Para obtener esta proporción se multiplicará el monto total del salario
percibido por la persona física en el ejercicio fiscal de que se trate, por el
cociente que resulte de dividir el número de días que haya permanecido en
territorio nacional dicha persona entre 365. Se considerará como número de días
que la persona física permanece en territorio nacional, aquellos en los que
tenga una presencia física en el país, así como los sábados y domingos por cada
5 días hábiles de estancia en territorio nacional, las vacaciones cuando la
persona física de que se trate haya permanecido en el país por más de 183 días
en un periodo de 12 meses, las interrupciones laborales de corta duración, así
como los permisos por enfermedad.
Las
personas residentes en el país que opten por aplicar lo dispuesto en esta
fracción presentarán ante las autoridades fiscales, un escrito en el que
manifiesten que la utilidad fiscal del ejercicio, representó al menos la
cantidad mayor que resulte de aplicar lo dispuesto en las fracciones I y II de
este artículo, a más tardar dentro de los tres meses siguientes a la fecha en
que termine dicho ejercicio.
Las empresas con programa de maquila que apliquen lo
dispuesto en este artículo, deberán presentar anualmente ante las autoridades
fiscales, a más tardar en el mes de junio del año de que se trate, declaración
informativa de sus operaciones de maquila en términos de lo que establezca el
Servicio de Administración Tributaria mediante reglas de carácter general.
La
persona residente en el país podrá obtener una resolución particular en los
términos del artículo 34-A del Código Fiscal de la Federación en la que se
confirme que se cumple con los artículos 179 y 180 de esta Ley.
Párrafo reformado DOF 08-12-2020
Las personas residentes en el país que hayan optado
por aplicar lo dispuesto en el presente artículo quedarán exceptuadas de la
obligación de presentar la declaración informativa señalada en la fracción X
del artículo 76 de esta Ley, únicamente por la operación de maquila.
Las personas residentes en el país que realicen,
además de la operación de maquila a que se refiere el artículo 181 de la
presente Ley, actividades distintas a ésta, podrán acogerse a lo dispuesto en
este artículo únicamente por la operación de maquila.
Artículo 183. No se considerará que tienen establecimiento
permanente en el país los residentes en el extranjero que proporcionen directa
o indirectamente materias primas, maquinaria o equipo, para realizar las
actividades de maquila a través de empresas con programa de maquila bajo la
modalidad de albergue autorizado por la Secretaría de Economía, siempre que
dichos residentes en el extranjero no sean partes relacionadas de la empresa
con programa de maquila bajo la modalidad de albergue de que se trate, ni de
una parte relacionada de dicha empresa.
Lo dispuesto en el presente artículo será aplicable
siempre que los residentes en el extranjero, por conducto de las empresas con
programa de maquila bajo la modalidad de albergue con las que realicen
operaciones de maquila cumplan, además de las obligaciones establecidas en las
disposiciones fiscales y aduaneras, con lo siguiente:
I. Solicitar su
inscripción en el Registro Federal de Contribuyentes sin obligaciones fiscales.
II. Presentar
declaraciones de pagos provisionales y declaración anual, de conformidad con lo
dispuesto en esta Ley y con las reglas que para tales efectos emita el Servicio
de Administración Tributaria.
III. Presentar
anualmente ante las autoridades fiscales, a más tardar en el mes de junio del
año siguiente del que se trate,
declaración informativa de sus operaciones de maquila en términos de lo que establezca
el Servicio de Administración Tributaria mediante reglas de carácter general.
IV. Presentar un
aviso ante el Servicio de Administración Tributaria cuando dejen de realizar
las actividades en los términos a que se refiere el presente artículo, dentro
del mes siguiente en el que ocurra dicho supuesto.
Para los efectos de este artículo, la jurisdicción
fiscal del residente en el extranjero deberá tener en vigor un acuerdo amplio
de intercambio de información con México, sin perjuicio del cumplimiento a los
requisitos contenidos en el instrumento internacional aplicable.
En ningún caso, los residentes en el extranjero podrán
enajenar productos manufacturados en México que no se encuentren amparados con
un pedimento de exportación ni podrán enajenar a la empresa con programa de
maquila bajo la modalidad de albergue, la maquinaria, equipo, herramientas,
moldes y troqueles y otros activos fijos similares e inventarios, de su
propiedad, de sus partes relacionadas residentes en el extranjero o clientes extranjeros,
ni antes ni durante el periodo en el que se aplique lo dispuesto en este
artículo.
Artículo reformado DOF 09-12-2019
Artículo 183-Bis. Para efectos del artículo 183 de esta Ley, las
empresas con programa de maquila bajo la modalidad de albergue deberán cumplir
con lo siguiente:
I. Identificar
las operaciones y determinar la utilidad fiscal que corresponda a cada uno de
los residentes en el extranjero a que se refiere el artículo 183 de esta Ley,
conforme al monto mayor que resulte de comparar lo dispuesto en el artículo
182, fracciones I y II de esta Ley o bien podrán solicitar una resolución
particular en términos del artículo 34-A del Código Fiscal de la Federación,
para cada uno de los residentes en el extranjero mencionados, para efectos de determinar
y enterar el impuesto que resulte de aplicar a dicha utilidad la tasa prevista
en el artículo 9 de esta Ley.
Para
efectos del párrafo anterior, en la determinación de la utilidad fiscal se
considerarán exclusivamente los activos fijos e inventarios de materia prima
que son utilizados en la operación de maquila, así como los costos y gastos
atribuibles a la operación de maquila en México correspondientes a cada
residente en el extranjero.
II. Mantener a
disposición de las autoridades fiscales la documentación que acredite que la
información de las empresas de residentes en el extranjero se encuentra
debidamente identificada de forma individual por cada una de dichas empresas en
la contabilidad de la empresa con programa de maquila bajo la modalidad de
albergue, durante el plazo establecido en el artículo 30 del Código Fiscal de
la Federación.
Las empresas con programa de maquila bajo la modalidad
de albergue serán responsables solidarios en el cálculo y entero del impuesto
determinado por cuenta del residente en el extranjero, en términos del artículo
26, fracción VIII del Código Fiscal de la Federación.
A las empresas con programa de maquila bajo la
modalidad de albergue que apliquen lo dispuesto en el artículo 183 de esta Ley,
en ningún caso les aplicará lo previsto en los artículos 181 y 182 de esta Ley,
salvo lo dispuesto en la fracción I de este artículo.
Cuando una empresa con programa de maquila bajo la
modalidad de albergue incumpla con alguna de las obligaciones previstas en las
fracciones anteriores, el Servicio de Administración Tributaria requerirá a
dicha empresa para que, en un plazo que no exceda de 30 días naturales, aclare
lo que a su derecho convenga sobre el incumplimiento.
En caso de que la empresa con programa de maquila bajo
la modalidad de albergue no subsane el incumplimiento en el plazo previsto en
el párrafo anterior, se procederá a la suspensión de dicha empresa en el Padrón
de Importadores a que se refiere el artículo 59, fracción IV de la Ley Aduanera
y se considerará que el residente en el extranjero tiene establecimiento
permanente en México, por lo que deberá cumplir con todas las obligaciones de
carácter fiscal, de conformidad con el artículo 76 de esta Ley, por las
operaciones de maquila que realice en el territorio nacional una vez que
proceda la suspensión a que se refiere el presente párrafo.
Artículo adicionado DOF 09-12-2019
Artículo 184. Cuando de conformidad con lo establecido en un tratado
internacional en materia fiscal celebrado por México, las autoridades
competentes del país con el que se hubiese celebrado el tratado, realicen un
ajuste a los precios o montos de contraprestaciones de un contribuyente
residente de ese país y siempre que dicho ajuste sea aceptado por las
autoridades fiscales mexicanas, la parte relacionada residente en México podrá
presentar una declaración complementaria en la que se refleje el ajuste
correspondiente. Esta declaración complementaria no computará dentro del límite
establecido en el artículo 32 del Código Fiscal de la Federación.
TÍTULO VII
DE LOS ESTÍMULOS FISCALES
CAPÍTULO I
DE LAS CUENTAS PERSONALES DEL AHORRO
Artículo 185. Los contribuyentes a que se refiere el Título IV de
esta Ley, que efectúen depósitos en las cuentas personales especiales para el
ahorro, realicen pagos de primas de contratos de seguro que tengan como base
planes de pensiones relacionados con la edad, jubilación o retiro que al efecto
autorice el Servicio de Administración Tributaria mediante disposiciones de
carácter general, o bien adquieran acciones de los fondos de inversión que sean identificables en los términos que también
señale el referido órgano desconcentrado mediante disposiciones de carácter
general, podrán restar el importe de dichos depósitos, pagos o adquisiciones,
de la cantidad a la que se le aplicaría la tarifa del artículo 152 de esta Ley
de no haber efectuado las operaciones mencionadas, correspondiente al ejercicio
en que éstos se efectuaron o al ejercicio inmediato anterior, cuando se
efectúen antes de que se presente la declaración respectiva, de conformidad con
las reglas que a continuación se señalan:
Párrafo reformado DOF 18-11-2015
I. El
importe de los depósitos, pagos o adquisiciones a que se refiere este artículo
no podrán exceder en el año de calendario de que se trate, del equivalente a
$152,000.00, considerando todos los conceptos.
Las
acciones de los fondos de inversión a que se refiere este artículo quedarán en
custodia del fondo de inversión al que correspondan, no pudiendo ser enajenadas
a terceros, reembolsadas o recompradas por dicho fondo, antes de haber
transcurrido un plazo de cinco años contado a partir de la fecha de su
adquisición, salvo en el caso de fallecimiento del titular de las acciones.
Párrafo reformado DOF 18-11-2015
II. Las
cantidades que se depositen en las cuentas personales, se paguen por los
contratos de seguros, o se inviertan en acciones de los fondos de inversión, a
que se refiere este artículo, así como los intereses, reservas, sumas o
cualquier cantidad que obtengan por concepto de dividendos, enajenación de las
acciones de los fondos de inversión, indemnizaciones o préstamos que deriven de
esas cuentas, de los contratos respectivos o de las acciones de los fondos de
inversión, deberán considerarse, como ingresos acumulables del contribuyente en
su declaración correspondiente al año de calendario en que sean recibidas o
retiradas de su cuenta personal especial para el ahorro, del contrato de seguro
de que se trate o del fondo de inversión del que se hayan adquirido las
acciones. En ningún caso la tasa aplicable a las cantidades acumulables en los
términos de esta fracción será mayor que la tasa del impuesto que hubiera
correspondido al contribuyente en el año en que se efectuaron los depósitos,
los pagos de la prima o la adquisición de las acciones, de no haberlos
recibido.
Fracción reformada DOF 18-11-2015
En los casos de fallecimiento del titular de la cuenta
especial para el ahorro, del asegurado o del adquirente de las acciones, a que
se refiere este artículo, el beneficiario designado o heredero estará obligado
a acumular a sus ingresos, los retiros que efectúe de la cuenta, contrato o
fondo de inversión, según sea el caso.
Párrafo reformado DOF 18-11-2015
Las personas que hubieran contraído matrimonio bajo
régimen de sociedad conyugal, podrán considerar la cuenta especial o la
inversión en acciones a que se refiere este artículo, como de ambos cónyuges en
la proporción que les corresponda, o bien de uno solo de ellos, en cuyo caso
los depósitos, inversiones y retiros se considerarán en su totalidad de dichas
personas. Esta opción se deberá ejercer para cada cuenta o inversión al momento
de su apertura o realización y no podrá variarse.
Los contribuyentes que realicen pagos de primas de
contratos de seguro que tengan como base planes de pensiones relacionados con
la edad, jubilación o retiro y además aseguren la vida del contratante, no
podrán efectuar la deducción a que se refiere el primer párrafo de este
artículo por la parte de la prima que corresponda al componente de vida. La
institución de seguros deberá desglosar en el contrato de seguro respectivo la
parte de la prima que cubre el seguro de vida. A la cantidad que pague la
institución de seguros a los beneficiarios designados o a los herederos como
consecuencia del fallecimiento del asegurado se le dará el tratamiento que
establece el artículo 93, fracción XXI, primer párrafo de esta Ley por la parte
que corresponde al seguro de vida. Las instituciones de seguros que efectúen
pagos para cubrir la prima que corresponda al componente de vida con cargo a
los fondos constituidos para cubrir la pensión, jubilación o retiro del
asegurado, deberán retener como pago provisional el impuesto que resulte en los
términos del artículo 145 de esta Ley.
CAPÍTULO II
DE LOS PATRONES QUE CONTRATEN A PERSONAS QUE
PADEZCAN DISCAPACIDAD Y ADULTOS MAYORES
Artículo 186. Se otorga un estímulo fiscal a los contribuyentes,
personas físicas o morales del impuesto sobre la renta, que empleen a personas
que padezcan discapacidad motriz, que para superarla requieran usar
permanentemente prótesis, muletas o sillas de ruedas; mental; auditiva o de
lenguaje, en un ochenta por ciento o más de la capacidad normal o tratándose de
invidentes.
El estímulo fiscal consiste en poder deducir de los
ingresos acumulables del contribuyente para los efectos del impuesto sobre la
renta por el ejercicio fiscal correspondiente, un monto equivalente al 25% del
salario efectivamente pagado a las personas antes señaladas. Para estos
efectos, se deberá considerar la totalidad del salario que sirva de base para
calcular, en el ejercicio que corresponda, las retenciones del impuesto sobre
la renta del trabajador de que se trate, en los términos del artículo 96 de
esta Ley. El estímulo fiscal a que se refiere este párrafo será aplicable siempre
que los contribuyentes obtengan el certificado de discapacidad expedido por el
Instituto Mexicano del Seguro Social, respecto de los citados trabajadores.
Se otorga un estímulo fiscal a quien contrate adultos
mayores, consistente en deducir de sus ingresos acumulables para los efectos
del impuesto sobre la renta del ejercicio fiscal correspondiente, el
equivalente al 25% del salario efectivamente pagado a las personas de 65 años y
más. Para estos efectos, se deberá considerar la totalidad del salario que
sirva de base para calcular, en el ejercicio que corresponda, las retenciones
del impuesto sobre la renta del trabajador de que se trate, en los términos del
artículo 96 de esta Ley.
Los contribuyentes que apliquen los beneficios
previstos en este artículo, deberán cumplir con las obligaciones contenidas en
el artículo 15 de la Ley del Seguro Social.
Artículo reformado DOF 09-12-2019
CAPÍTULO III
DE LOS FIDEICOMISOS DEDICADOS A LA ADQUISICIÓN
O CONSTRUCCIÓN DE INMUEBLES
Artículo 187. Con el propósito de fomentar la inversión inmobiliaria
en el país, se les dará el tratamiento fiscal establecido en el artículo 188 de
esta Ley a los fideicomisos que se dediquen a la adquisición o construcción de
bienes inmuebles que se destinen al arrendamiento o a la adquisición del
derecho a percibir ingresos provenientes del arrendamiento de dichos bienes,
así como a otorgar financiamiento para esos fines, cuando se cumplan los
requisitos siguientes:
I. Que el
fideicomiso se haya constituido o se constituya de conformidad con las leyes
mexicanas y la fiduciaria sea una institución de crédito o casa de bolsa
residente en México autorizada para actuar como tal en el país.
Fracción reformada DOF 18-11-2015
II. Que el fin
primordial del fideicomiso sea la adquisición o construcción de bienes
inmuebles que se destinen al arrendamiento o la adquisición del derecho a
percibir ingresos provenientes del arrendamiento de dichos bienes, así como
otorgar financiamiento para esos fines con garantía hipotecaria de los bienes
arrendados.
III. Que al
menos el 70% del patrimonio del fideicomiso esté invertido en los bienes
inmuebles, los derechos o créditos a los que se refiere la fracción anterior y
el remanente se invierta en valores a cargo del Gobierno Federal inscritos en
el Registro Nacional de Valores o en acciones de fondos de inversión en
instrumentos de deuda.
Fracción reformada DOF 18-11-2015
IV. Que los
bienes inmuebles que se construyan o adquieran se destinen al arrendamiento y
no se enajenen antes de haber transcurrido al menos cuatro años contados a
partir de la terminación de su construcción o de su adquisición,
respectivamente. Los bienes inmuebles que se enajenen antes de cumplirse dicho
plazo no tendrán el tratamiento fiscal preferencial establecido en el artículo 188
de esta Ley.
V. Que la
fiduciaria emita certificados de participación por los bienes que integren el
patrimonio del fideicomiso y que dichos certificados se coloquen en el país
entre el gran público inversionista.
Fracción reformada DOF 09-12-2019
VI. Que la
fiduciaria distribuya entre los tenedores de los certificados de participación
cuando menos una vez al año, a más tardar el 15 de marzo, al menos el 95% del
resultado fiscal del ejercicio inmediato anterior generado por los bienes
integrantes del patrimonio del fideicomiso.
VII. Que cuando
la fiduciaria estipule en los contratos o convenios de arrendamiento que para
determinar el monto de las contraprestaciones se incluyan montos variables o
referidos a porcentajes, excepto en los casos en que la contraprestación se
determine en función de un porcentaje fijo de las ventas del arrendatario,
estos conceptos no podrán exceder del 5% del monto total de los ingresos
anuales por concepto de rentas del fideicomiso.
VIII. Que se
encuentre inscrito en el Registro de Fideicomisos dedicados a la adquisición o
construcción de inmuebles, de conformidad con las reglas que al efecto expida
el Servicio de Administración Tributaria.
IX. Que la
fiduciaria presente a más tardar el 15 de febrero de cada año:
a) La información
de identificación de los fideicomitentes.
b) La
información y documentación de cada una de las operaciones mediante las cuales
se realizó la aportación al fideicomiso de cada uno de los inmuebles,
incluyendo la identificación de los mismos, así como el monto y número de los
certificados de participación entregados a los fideicomitentes. En caso de que
los inmuebles aportados al fideicomiso hayan sido arrendados a dichos
fideicomitentes, los contratos respectivos.
c) Informe de
cada inmueble aportado al fideicomiso que contenga:
1. Fecha de aportación.
2. Valor de la aportación.
3. Años transcurridos entre la fecha de construcción y la
de su aportación.
4. Domicilio.
5. Uso o destino.
6. Datos de identificación del portafolio de inversión al
que se integra el inmueble, de ser el caso.
7. Cuando el inmueble sea enajenado por la institución
fiduciaria, incluir en el informe la fecha de enajenación, valor de enajenación
y ganancia o pérdida.
La
información y documentación a que se refiere esta fracción deberá presentarse
de conformidad con las reglas de carácter general que al efecto emita el
Servicio de Administración Tributaria.
Fracción adicionada DOF 09-12-2019
Artículo 188. Los fideicomisos que cumplan con los requisitos
establecidos en el artículo 187 de esta Ley, estarán a lo siguiente:
I. El
fiduciario determinará en los términos del Título II de esta Ley, el resultado
fiscal del ejercicio derivado de los ingresos que generen los bienes, derechos,
créditos o valores que integren el patrimonio del fideicomiso.
II. El
resultado fiscal del ejercicio se dividirá entre el número de certificados de
participación que haya emitido el fiduciario por el fideicomiso para determinar
el monto del resultado fiscal correspondiente a cada uno de los referidos
certificados en lo individual.
III. No se
tendrá la obligación de realizar los pagos provisionales del impuesto sobre la
renta a los que se refiere el artículo 14 de esta Ley.
IV. El
fiduciario deberá retener a los tenedores de los certificados de participación
el impuesto sobre la renta por el resultado fiscal que les distribuya aplicando
la tasa del artículo 9 de esta Ley, sobre el monto distribuido de dicho
resultado, salvo que los tenedores que los reciban estén exentos del pago del
impuesto sobre la renta por ese ingreso.
Cuando
los certificados de participación estén colocados entre el gran público
inversionista, será el intermediario financiero que tenga en depósito los
citados certificados quien deberá hacer la retención del impuesto a que se
refiere el párrafo anterior y el fiduciario quedará relevado de la obligación
de realizar tal retención.
V. Los
tenedores de los certificados de participación que sean residentes en México o
residentes en el extranjero que tengan establecimiento permanente en el país
acumularán el resultado fiscal que les distribuya el fiduciario o el
intermediario financiero provenientes de los bienes, derechos, créditos o
valores que integren el patrimonio del fideicomiso emisor de dichos
certificados, sin deducir el impuesto retenido por ellos, y las ganancias que
obtengan por la enajenación de los citados certificados, salvo que estén
exentos del pago del impuesto por dichas ganancias, y podrán acreditar el
impuesto que se les retenga por dicho resultado y ganancias, contra el impuesto
sobre la renta que causen en el ejercicio en que se les distribuya o las
obtengan.
Las
personas físicas residentes en México considerarán que el resultado fiscal
distribuido corresponde a los ingresos a que se refiere la fracción II del
artículo 114 de esta Ley.
La
retención que se haga a los tenedores de certificados de participación que sean
residentes en el extranjero se considerará como pago definitivo del impuesto.
VI. Los fondos
de pensiones y jubilaciones a los que se refiere el artículo 153 de esta Ley
que adquieran los certificados de participación podrán aplicar la exención
concedida en dicho artículo a los ingresos que reciban provenientes de los
bienes, derechos, créditos y valores que integren el patrimonio del fideicomiso
emisor de los referidos certificados y a la ganancia de capital que obtengan
por la enajenación de ellos.
VII. Cuando se
enajene alguno de los bienes inmuebles fideicomitidos
antes de haber transcurrido el periodo mínimo al que se refiere la fracción IV
del artículo 187 de esta Ley, la fiduciaria deberá pagar, dentro de los quince
días siguientes al de la enajenación, el impuesto por la ganancia que se
obtenga en dicha enajenación, que resulte de aplicar la tasa del artículo 9 de
esta Ley al monto de dicha ganancia determinado en los términos del Capítulo IV
del Título IV de esta Ley, por cuenta de los tenedores de los certificados de
participación, sin identificarlos, y este impuesto será acreditable para los
tenedores a los cuales la fiduciaria les distribuya dicha ganancia, siempre que
ésta sea acumulable para ellos, sin que se les deba retener el impuesto por la
distribución de esa ganancia.
VIII. Cuando el
resultado fiscal del ejercicio derivado de los ingresos que generen los bienes fideicomitidos sea mayor al monto distribuido del mismo a
los tenedores de los certificados de participación hasta el 15 de marzo del año
inmediato posterior, la fiduciaria deberá pagar el impuesto por la diferencia,
aplicando la tasa del artículo 9 de esta Ley, a esa diferencia, por cuenta de
los tenedores de los referidos certificados, sin identificarlos, dentro de los
quince días siguientes a esa fecha, y el impuesto pagado será acreditable para
los tenedores de dichos certificados que reciban posteriormente los ingresos
provenientes de la citada diferencia, siempre que sea acumulable para ellos,
sin que se les deba retener el impuesto por la distribución de dicha
diferencia.
IX. Los
tenedores de los certificados de participación causarán el impuesto sobre la
renta por la ganancia que obtengan en la enajenación de dichos certificados,
que resulte de restar al ingreso que perciban en la enajenación, el costo
promedio por certificado de cada uno de los certificados que se enajenen.
El
costo promedio por certificado de participación se determinará incluyendo en su
cálculo a todos los certificados del mismo fideicomiso emisor que tenga el
enajenante a la fecha de la enajenación, aun cuando no enajene a todos ellos.
El
cálculo del costo promedio por certificado de participación se hará dividiendo
el costo comprobado de adquisición de la totalidad de los referidos
certificados del mismo fideicomiso emisor que tenga el enajenante a la fecha de
la enajenación, actualizado desde el mes de su adquisición hasta el mes de la
enajenación, entre el número total de dichos certificados propiedad del
enajenante.
Cuando
el enajenante no enajene la totalidad de los certificados de participación de
un mismo fideicomiso emisor que tenga a la fecha de la enajenación, los
certificados que no haya enajenado tendrán como costo comprobado de adquisición
en el cálculo del costo promedio por certificado que se haga en enajenaciones
subsecuentes en los términos de esta fracción, el costo promedio por
certificado de participación determinado conforme al cálculo efectuado en la
enajenación inmediata anterior y como fecha de adquisición la de esta última
enajenación.
El
adquiriente de los certificados de participación deberá retener al enajenante
el 10% del ingreso bruto que perciba por ellos, sin deducción alguna, por
concepto del impuesto sobre la renta, salvo que el enajenante sea persona moral
residente en México o esté exento del pago del impuesto por los ingresos que
reciba provenientes de los bienes, derechos, créditos o valores que integren el
patrimonio del fideicomiso emisor de los certificados.
Cuando
la fiduciaria entregue a los tenedores de los certificados de participación una
cantidad mayor al resultado fiscal del ejercicio generado por los bienes fideicomitidos, la diferencia se considerará como reembolso
de capital y disminuirá el costo comprobado de adquisición de dichos
certificados que tengan los tenedores que la reciban, actualizando el monto de
dicha diferencia desde el mes en que se entregue hasta el mes en que el tenedor
enajene parcial o totalmente los certificados que tenga en la enajenación
inmediata posterior a la entrega que realice.
Para
los efectos del párrafo anterior, el fiduciario llevará una cuenta en la que
registre los reembolsos de capital y deberá dar a los tenedores de los
certificados de participación una constancia por los reembolsos que reciban,
salvo que se trate de certificados de participación colocados entre el gran
público inversionista.
X. Cuando los
certificados de participación estén colocados entre el gran público
inversionista y se enajenen a través de los mercados reconocidos a los que se
refieren las fracciones I y II del artículo 16-C del Código Fiscal de la
Federación, estarán exentos del pago del impuesto sobre la renta los residentes
en el extranjero que no tengan establecimiento permanente en el país y las
personas físicas residentes en México por la ganancia que obtengan en la
enajenación de dichos certificados que realicen a través de esos mercados.
XI. Las
personas que actuando como fideicomitentes aporten bienes inmuebles al
fideicomiso y reciban certificados de participación por el valor total o
parcial de dichos bienes, podrán diferir el pago del impuesto sobre la renta
causado por la ganancia obtenida en la enajenación de esos bienes realizada en
la aportación que realicen al fideicomiso, que corresponda a cada uno de los
certificados de participación que reciban por los mismos hasta el momento en
que enajenen cada uno de dichos certificados, actualizando el monto del
impuesto causado correspondiente a cada certificado que se enajene por el
periodo comprendido desde el mes de la aportación de los bienes inmuebles al
fideicomiso hasta el mes en que se enajenen los certificados.
Para
los efectos del párrafo anterior, el impuesto se calculará aplicando la tasa
del artículo 9 de esta Ley al monto de la ganancia obtenida en la enajenación
de los bienes inmuebles y deberá pagarse dentro de los quince días siguientes a
la enajenación de los certificados de participación correspondientes.
La
ganancia obtenida por la enajenación de los bienes inmuebles realizada en la
aportación de los fideicomitentes al fideicomiso correspondiente a cada uno de
los certificados de participación recibidos por esos bienes se determinará en
los términos de esta Ley, considerando como precio de enajenación de dichos
bienes el valor que se les haya dado en el acta de emisión de los referidos
certificados y dividiendo la ganancia que resulte, entre el número de
certificados de participación que se obtenga de dividir dicho valor entre el
valor nominal que tenga el certificado de participación en lo individual.
El
diferimiento del pago del impuesto a que se refiere esta fracción terminará
cuando el fiduciario enajene los bienes inmuebles y el fideicomitente que los
haya aportado deberá pagarlo dentro de los quince días siguientes a aquél en
que se realice la enajenación de dichos bienes.
Para
los contribuyentes del Título II de esta Ley será acumulable la ganancia en el
ejercicio en que enajenen los certificados o la fiduciaria enajene los bienes fideicomitidos, actualizando su monto por el periodo
comprendido desde el mes en que se aportaron los bienes al fideicomiso hasta el
mes en que se enajenaron los certificados o los bienes inmuebles, y el impuesto
pagado conforme a lo dispuesto en esta fracción se considerará como pago
provisional del impuesto de dicho ejercicio.
Los
fideicomitentes que reciban certificados de participación por su aportación de
bienes inmuebles al fideicomiso, tendrán como costo comprobado de adquisición
de cada uno de esos certificados el monto que resulte de dividir el valor que
se les haya dado a dichos bienes inmuebles en el acta de emisión de los
referidos certificados entre el número de certificados que se obtenga de
dividir dicho valor de entre el valor nominal que tenga el certificado de
participación en lo individual y como fecha de adquisición la fecha en que los
reciban por la citada aportación. La ganancia derivada de la enajenación de los
certificados a que se refiere este párrafo se determinará en los términos de la
fracción VII de este mismo artículo.
XII. Cuando los
fideicomitentes aporten bienes inmuebles al fideicomiso que sean arrendados de
inmediato a dichos fideicomitentes por el fiduciario, podrán diferir el pago
del impuesto sobre la renta causado por la ganancia obtenida en la enajenación
de los bienes hasta el momento en que termine el contrato de arrendamiento,
siempre y cuando no tenga un plazo mayor a diez años, o el momento en que el
fiduciario enajene los bienes inmuebles aportados, lo que suceda primero. Al
terminarse el contrato de arrendamiento o enajenarse los bienes inmuebles por
el fiduciario se pagará el impuesto causado por la ganancia que resulte de
aplicar la tasa del artículo 9 de esta Ley al monto actualizado de dicha
ganancia por el periodo transcurrido desde el mes en que se aportaron los
bienes al fideicomiso hasta el mes en que se termine el contrato de
arrendamiento o se enajenen los bienes por el fiduciario.
CAPÍTULO IV
DE LOS ESTÍMULOS FISCALES A LA PRODUCCIÓN Y
DISTRIBUCIÓN CINEMATOGRÁFICA Y TEATRAL NACIONAL
Artículo 189. Se otorga un estímulo fiscal a los contribuyentes del
impuesto sobre la renta, consistente en aplicar un crédito fiscal equivalente
al monto que, en el ejercicio fiscal de que se trate, aporten a proyectos de
inversión en la producción cinematográfica nacional o en la distribución de
películas cinematográficas nacionales, contra el impuesto sobre la renta del
ejercicio y de los pagos provisionales del mismo ejercicio, causado en el ejercicio en el que se determine
el crédito. Este crédito fiscal no será acumulable para efectos del impuesto
sobre la renta. En ningún caso, el estímulo podrá exceder del 10% del impuesto
sobre la renta causado en el ejercicio inmediato anterior al de su aplicación.
Párrafo reformado DOF 09-12-2019
Cuando dicho crédito sea mayor al impuesto sobre la
renta que tengan a su cargo en el ejercicio fiscal en el que se aplique el
estímulo, los contribuyentes podrán acreditar la diferencia que resulte contra
el impuesto sobre la renta que tengan a su cargo en los diez ejercicios
siguientes hasta agotarla.
Para los efectos de este artículo, se considerarán
como proyectos de inversión en la producción cinematográfica nacional, las
inversiones en territorio nacional, destinadas específicamente a la realización
de una película cinematográfica a través de un proceso en el que se conjugan la
creación y realización cinematográfica, así como los recursos humanos,
materiales y financieros necesarios para dicho objeto.
Asimismo, se considerarán proyectos de inversión en la
distribución de películas cinematográficas nacionales, la propuesta de
acciones, actividades y estrategias destinadas a distribuir películas
cinematográficas nacionales con méritos artísticos, tanto en circuitos
comerciales como no comerciales, así como aquéllas que estimulen la formación
de públicos e incentiven la circulación de la producción cinematográfica
nacional.
Para la aplicación del estímulo fiscal a que se
refiere el presente artículo, se estará a lo siguiente:
I. Se creará
un Comité Interinstitucional que estará formado por un representante del
Consejo Nacional para la Cultura y las Artes, uno del Instituto Mexicano de
Cinematografía, uno del Servicio de Administración Tributaria y uno de la
Secretaría de Hacienda y Crédito Público, quien presidirá el Comité
Interinstitucional y tendrá voto de calidad.
Fracción reformada DOF 09-12-2019
II. El monto
total del estímulo a distribuir entre los aspirantes del beneficio, no excederá
de 650 millones de pesos por cada ejercicio fiscal para los proyectos de
inversión en la producción cinematográfica nacional ni de 50 millones de pesos
por cada ejercicio fiscal para los proyectos de inversión en la distribución de
películas cinematográficas nacionales.
Las
cantidades señaladas en el párrafo anterior se dividirán en montos iguales para
ser distribuidas en dos periodos durante el ejercicio fiscal.
III. En el
caso de los proyectos de inversión en la producción cinematográfica nacional el
monto del estímulo no excederá de 20 millones de pesos por cada contribuyente y
proyecto de inversión.
Tratándose
de los proyectos de inversión para la distribución de películas
cinematográficas nacionales, el estímulo no excederá de dos millones de pesos
por cada contribuyente y proyecto de inversión. En el caso de que dos o más
contribuyentes distribuyan una misma película cinematográfica nacional, el
Comité Interinstitucional podrá otorgar el mismo monto citado sólo a dos de los
contribuyentes.
IV. El Comité
Interinstitucional publicará a más tardar el último día de febrero de cada
ejercicio fiscal, el monto del estímulo distribuido durante el ejercicio
anterior, así como los contribuyentes beneficiados y los proyectos de inversión
en la producción cinematográfica nacional y de distribución de películas
cinematográficas nacionales por los cuales fueron merecedores de este
beneficio.
V. Los
contribuyentes deberán cumplir lo dispuesto en las reglas generales que para el
otorgamiento del estímulo publique el Comité Interinstitucional.
El estímulo fiscal a que se refiere este artículo no
podrá aplicarse conjuntamente con otros tratamientos fiscales que otorguen
beneficios o estímulos fiscales.
Párrafo adicionado DOF 09-12-2019
Artículo 190. Se otorga un estímulo fiscal a los contribuyentes del
impuesto sobre la renta, consistente en aplicar un crédito fiscal equivalente
al monto que, en el ejercicio fiscal de que se trate, aporten a proyectos de
inversión en la producción teatral nacional; en la edición y publicación de
obras literarias nacionales; de artes visuales; danza; música en los campos
específicos de dirección de orquesta, ejecución instrumental y vocal de la
música de concierto, y jazz; contra el impuesto sobre la renta del ejercicio y
de los pagos provisionales del mismo ejercicio, causado en el ejercicio en el
que se determine el crédito. Este crédito fiscal no será acumulable para
efectos del impuesto sobre la renta. En ningún caso el estímulo podrá exceder
del 10% del impuesto sobre la renta causado en el ejercicio inmediato anterior
al de su aplicación.
Párrafo reformado DOF 09-12-2019
Cuando el crédito a que se refiere el párrafo anterior
sea mayor al impuesto sobre la renta causado en el ejercicio en el que se
aplique el estímulo, los contribuyentes podrán aplicar la diferencia que
resulte contra el impuesto sobre la renta causado en los diez ejercicios
siguientes hasta agotarla.
Para los efectos de este artículo, se considerarán
como proyectos de inversión en la producción teatral nacional; artes visuales;
danza; música en los campos específicos de dirección de orquesta, ejecución
instrumental y vocal de la música de concierto y jazz, las inversiones en
territorio nacional, destinadas específicamente al montaje de obras dramáticas;
de artes visuales; danza; música en los campos específicos de dirección de
orquesta, ejecución instrumental y vocal de la música de concierto y jazz; a
través de un proceso en el que se conjugan la creación y realización, así como
los recursos humanos, materiales y financieros necesarios para dicho objeto. En el caso de proyectos de inversión para la edición y
publicación de obras literarias nacionales, se considerarán únicamente a
aquellas obras originales cuyos autores sean mexicanos que no tengan obras
traducidas a otro idioma extranjero ni reeditadas en ningún país; y no se trate
de obras por encargo en términos de la Ley Federal del Derecho de Autor.
Párrafo reformado DOF 09-12-2019
Para la aplicación del estímulo fiscal a que se
refiere el presente artículo, se estará a lo siguiente:
I. Se creará un Comité Interinstitucional que estará
formado por un representante de la Secretaría de Cultura, uno del Instituto
Nacional de Bellas Artes y Literatura, uno del Servicio de Administración
Tributaria y uno de la Secretaría de Hacienda y Crédito Público, quien
presidirá el Comité y tendrá voto de calidad.
Fracción reformada DOF 09-12-2019
II. El monto total del estímulo fiscal a distribuir entre
los aspirantes del beneficio no excederá de 200 millones de pesos por cada
ejercicio fiscal ni de 2 millones de pesos por cada contribuyente y proyecto de
inversión en la producción teatral nacional; de artes visuales, danza; música
en los campos específicos de dirección de orquesta, ejecución instrumental y
vocal de la música de concierto y jazz.
El
Comité podrá autorizar un monto de hasta 10 millones de pesos a proyectos a los
que se refiere el párrafo anterior, siempre que se trate de proyectos que por
sus características de producción, riqueza artística y cultural, requieran un
monto de inversión mayor a 6 millones de pesos.
En el
caso de los proyectos de inversión en la edición y publicación de obras
literarias nacionales, el beneficio no podrá exceder de 500 mil pesos por
proyecto de inversión ni de 2 millones de pesos por contribuyente.
Fracción reformada DOF 09-12-2019
III. El
Comité Interinstitucional a que se refiere la fracción I de este artículo
publicará a más tardar el último día de febrero de cada ejercicio fiscal, el
monto del estímulo fiscal distribuido durante el ejercicio anterior, así como
los contribuyentes beneficiados y los proyectos por los cuales fueron
merecedores de dicho beneficio.
IV. Los
contribuyentes deberán cumplir lo dispuesto en las reglas generales que para el
otorgamiento del estímulo publique el Comité Interinstitucional a que se
refiere la fracción I de este artículo.
El estímulo fiscal a que se refiere este
artículo, no podrá aplicarse conjuntamente con otros tratamientos fiscales que
otorguen beneficios o estímulos fiscales.
Artículo reformado DOF 30-11-2016
CAPÍTULO V
DE LOS
CONTRIBUYENTES DEDICADOS A LA CONSTRUCCIÓN Y ENAJENACIÓN DE DESARROLLOS
INMOBILIARIOS
Artículo 191. Los contribuyentes que se dediquen a la
construcción y enajenación de desarrollos inmobiliarios, podrán optar por
deducir el costo de adquisición de los terrenos en el ejercicio en el que los
adquieran, siempre que cumplan con lo siguiente:
I. Que los terrenos sean destinados a la
construcción de desarrollos inmobiliarios, para su enajenación.
II. Que los ingresos acumulables
correspondientes provengan de la realización de desarrollos inmobiliarios
cuando menos en un ochenta y cinco por ciento.
Tratándose de contribuyentes que inicien operaciones,
podrán ejercer la opción a que se refiere este artículo, siempre que los ingresos
acumulables correspondientes a dicho ejercicio provengan de la realización de
desarrollos inmobiliarios cuando menos en un ochenta y cinco por ciento y
cumplan con los demás requisitos que se establecen en este artículo.
III. Que al momento de la enajenación del
terreno, se considere ingreso acumulable el valor total de la enajenación del
terreno de que se trate, en lugar de la ganancia a que se refiere el artículo
18, fracción IV de esta Ley.
Cuando la enajenación del terreno se efectúe en cualquiera
de los ejercicios siguientes a aquel en el que se efectuó la deducción a que se
refiere este artículo, se considerará adicionalmente como ingreso acumulable un
monto equivalente al 3% del monto deducido conforme a este artículo, en cada
uno de los ejercicios que transcurran desde el ejercicio en el que se adquirió
el terreno y hasta el ejercicio inmediato anterior a aquel en el que se enajene
el mismo. Para los efectos de este párrafo, el monto deducido conforme a este
artículo se actualizará multiplicándolo por el factor de actualización
correspondiente al periodo comprendido desde el último mes del ejercicio en el
que se dedujo el terreno y hasta el último mes del ejercicio en el que se
acumule el 3% a que se refiere este párrafo.
IV. Que el costo de adquisición de los
terrenos no se incluya en la estimación de los costos directos e indirectos a
que se refiere el artículo 30 de esta Ley.
V. Que en la escritura pública en la que
conste la adquisición de dichos terrenos, se asiente la información que establezca
el Reglamento de esta Ley.
Los contribuyentes que no
hayan enajenado el terreno después del tercer ejercicio inmediato posterior al
que fue adquirido, deberá considerar como ingreso acumulable, el costo de
adquisición de dicho terreno, actualizado por el periodo trascurrido desde la
fecha de adquisición del terreno y hasta el último día del mes en que se
acumule el ingreso.
Los contribuyentes que
apliquen lo dispuesto en este artículo, lo deberán hacer respecto de todos sus
terrenos que formen parte de su activo circulante, por un periodo mínimo de 5
años contados a partir del ejercicio en el que ejerzan la opción a que se
refiere este artículo.
CAPÍTULO VI
DE LA PROMOCIÓN
DE LA INVERSIÓN EN CAPITAL DE RIESGO EN EL PAÍS
Artículo 192. Para promover la inversión en capital de riesgo en el
país, se les dará el tratamiento fiscal establecido en el artículo 193 de esta
Ley a las personas que inviertan en acciones emitidas por sociedades mexicanas
residentes en México no listadas en bolsa al momento de la inversión, así como
en préstamos otorgados a estas sociedades para financiarlas, a través de los
fideicomisos en los que se cumplan los requisitos siguientes:
I. Que el
fideicomiso se constituya de conformidad con las leyes mexicanas y la
fiduciaria sea una institución de crédito o casa de bolsa residente en México
para actuar como tal en el país.
Fracción reformada DOF 18-11-2015
II. Que el
fin primordial del fideicomiso sea invertir en el capital de sociedades
mexicanas residentes en México no listadas en bolsa al momento de la inversión
y participar en su consejo de administración para promover su desarrollo, así
como otorgarles financiamiento.
III. Que al
menos el 80% del patrimonio del fideicomiso esté invertido en las acciones que
integren la inversión en el capital o en financiamiento otorgados a las
sociedades promovidas a las que se refiere la fracción II anterior y el
remanente se invierta en valores a cargo del Gobierno Federal inscritos en el
Registro Nacional de Valores o en acciones de fondos de inversión en
instrumentos de deuda.
Fracción reformada DOF 18-11-2015
IV. Que las
acciones de las sociedades promovidas que se adquieran no se enajenen antes de
haber transcurrido al menos un periodo de dos años contado a partir de la fecha
de su adquisición.
V. Que se
distribuya al menos el 80% de los ingresos que reciba el fideicomiso en el año
a más tardar dos meses después de terminado el año.
Fracción reformada DOF 18-11-2015
VI. Que se
cumplan los requisitos que mediante reglas de carácter general establezca el
Servicio de Administración Tributaria.
Artículo 193. Las personas que inviertan en capital de riesgo a
través de los fideicomisos a los que se refiere el artículo 192 de esta Ley,
estarán a lo siguiente:
I. Causarán
el impuesto en los términos de los Títulos II, IV, o V de esta Ley, según les
corresponda, por los ingresos que les entregue la institución fiduciaria
provenientes de las acciones y valores que integran el patrimonio del
fideicomiso o que deriven de la enajenación de ellos, así como los provenientes
de los financiamientos otorgados a las sociedades promovidas.
II. La
institución fiduciaria deberá llevar una cuenta por cada tipo de ingreso que
reciba proveniente de las acciones y los valores, así como de los que deriven de
la enajenación de ellos, y los que provengan de los financiamientos otorgados a
las sociedades promovidas. En una cuenta registrará los dividendos que reciba
por las acciones; en otra registrará los intereses que reciba por los valores y
las ganancias obtenidas en su enajenación; en otra registrará los intereses que
reciba por los financiamientos otorgados a las sociedades promovidas, y en otra
más registrará las ganancias que se obtengan por la enajenación de las
acciones.
Cada
una de las cuentas a las que se refiere el párrafo anterior se incrementará con
los ingresos correspondientes a ella que reciba la institución fiduciaria y se
disminuirá con los ingresos que dicha institución les entregue a los
fideicomisarios provenientes de la misma.
III. La institución
fiduciaria también deberá llevar una cuenta por cada una de las personas que
participen como fideicomitentes y fideicomisarios en el fideicomiso, en las que
registre las aportaciones efectuadas por cada una de ellas en lo individual al
fideicomiso.
La
cuenta de cada persona se incrementará con las aportaciones efectuadas por ella
al fideicomiso y se disminuirá con los reembolsos de dichas aportaciones que la
institución fiduciaria le entregue. El saldo que tenga cada una de estas
cuentas al 31 de diciembre de cada año, se actualizará por el periodo
comprendido desde el mes en que se efectúo la última actualización y hasta el
mes de diciembre del año de que se trate. Cuando se efectúen aportaciones o
reembolsos de capital, con posterioridad a la actualización prevista en este
párrafo, el saldo de la cuenta que se tenga a esa fecha se actualizará por el
periodo comprendido desde el mes en el que se efectuó la última actualización y
hasta el mes en el que se pague la aportación o el reembolso, según
corresponda.
IV. Cuando
los fideicomisarios sean personas físicas residentes en el país o personas
residentes en el extranjero, la institución fiduciaria deberá retenerles el
impuesto que proceda por el tipo de ingreso que les entregue en los términos del
Título IV o V de esta Ley, respectivamente, o en su caso, conforme a lo
dispuesto en los convenios para evitar la doble imposición fiscal celebrados
por México con los países en que residan las personas residentes en el
extranjero que reciban los ingresos. Las personas que le paguen intereses a la
institución fiduciaria por los financiamientos otorgados y los valores que
tenga el fideicomiso, o que adquieran de ella acciones de las sociedades
promovidas no le retendrán impuesto sobre la renta por esos ingresos o
adquisiciones.
V. La
institución fiduciaria deberá darles constancia de los ingresos entregados y en
su caso, del impuesto retenido por ellos, así como del reembolso de
aportaciones, a las personas que los reciban como fideicomisarios del fideicomiso
en cuestión.
VI. Cuando
alguno de los fideicomisarios ceda los derechos que tenga en el fideicomiso,
deberá determinar su ganancia en la enajenación de los bienes integrantes del
fideicomiso que implica dicha cesión, conforme a lo dispuesto expresamente en
la fracción VI del artículo 14 del Código Fiscal de la Federación, considerando
como costo comprobado de adquisición de los mismos la cantidad que resulte de
sumar al saldo que tenga en su cuenta individual de aportación a la fecha de la
enajenación, la parte que le corresponda por esos derechos en lo individual de
los saldos de las cuentas de ingresos a las que se refiere la fracción II de
este artículo y del saldo de la cuenta a que se refiere el siguiente párrafo, a
esa misma fecha. Cuando el fideicomisario no ceda la totalidad de los derechos
que tenga en el fideicomiso, sino sólo una parte de ellos, su costo comprobado
de adquisición de los bienes enajenados será el monto que resulte de
multiplicar la cantidad a que se refiere este párrafo por el porcentaje que
resulte de dividir la participación porcentual en el fideicomiso que
representen los derechos enajenados entre la participación porcentual en el
mismo que representen la totalidad de los derechos que tenga a la fecha de la
enajenación.
Para
los efectos del párrafo anterior, la institución fiduciaria deberá llevar una
cuenta en la que registre la participación correspondiente al fideicomiso en
las utilidades fiscales netas de las sociedades promovidas por la inversión
realizada en ellas, que se generen a partir de la fecha en que se adquieran sus
acciones en el fideicomiso y que formen parte del saldo de la cuenta de
utilidad fiscal neta de dichas sociedades.
Cuando
los derechos que se cedan se hayan adquirido de terceros, el costo comprobado
de adquisición de ellos sólo se incrementará o disminuirá, respectivamente, por
la diferencia que resulte entre el saldo a la fecha de enajenación y el saldo a
la fecha de adquisición de los derechos, actualizado hasta la fecha de
enajenación, de las cuentas de ingresos a las que se refiere la fracción II de
este artículo y de la cuenta a la que se refiere el párrafo anterior.
VII. Cuando no
se cumpla alguno de los requisitos a que se refieren las fracciones IV y V del
artículo 192 de esta Ley, los fideicomisarios causarán el impuesto a la tasa
establecida en el primer párrafo del artículo 9 de esta Ley por la utilidad
fiscal que derive de los ingresos que reciba la institución fiduciaria, en los
términos del artículo 13 de esta misma Ley, a partir del año inmediato
posterior a aquél en que ocurra el incumplimiento.
CAPÍTULO VII
DE LAS
SOCIEDADES COOPERATIVAS DE PRODUCCIÓN
Artículo 194. Las sociedades cooperativas de producción que
únicamente se encuentren constituidas por socios personas físicas, para calcular
el impuesto sobre la renta que les corresponda por las actividades que
realicen, en lugar de aplicar lo dispuesto en el Título II de esta Ley, podrán
aplicar lo dispuesto en la Sección I del Capítulo II del Título IV de la misma,
considerando lo siguiente:
I. Calcularán
el impuesto del ejercicio de cada uno de sus socios, determinando la parte de
la utilidad gravable del ejercicio que le corresponda a cada socio por su
participación en la sociedad cooperativa de que se trate, aplicando al efecto lo
dispuesto en el artículo 109 de esta Ley.
Las
sociedades cooperativas de producción a que se refiere este Capítulo, podrán
diferir la totalidad del impuesto a que se refiere esta fracción hasta el
ejercicio fiscal en el que distribuyan a sus socios la utilidad gravable que
les corresponda.
En
los casos en que las sociedades antes referidas, determinen utilidad y no la
distribuyan en los dos ejercicios siguientes a partir de la fecha en que se
determinó, se pagará el impuesto en los términos de este Capítulo.
Cuando
la sociedad cooperativa de que se trate distribuya a sus socios utilidades
provenientes de la cuenta de utilidad gravable, pagará el impuesto diferido
aplicando al monto de la utilidad distribuida al socio de que se trate la
tarifa a que se refiere el artículo 152 de esta Ley.
Para
los efectos del párrafo anterior, se considerará que las primeras utilidades
que se distribuyan son las primeras utilidades que se generaron.
El
impuesto que en los términos de esta fracción corresponda a cada uno de sus
socios, se pagará mediante declaración que se presentará ante las oficinas
autorizadas, a más tardar el 17 del mes inmediato siguiente a aquél en el que
se pagaron las utilidades gravables, el socio de la cooperativa de que se trate
podrá acreditar en su declaración anual del ejercicio que corresponda el
impuesto que se pague en los términos de este párrafo.
Para
los efectos de este Capítulo, se considerará que la sociedad cooperativa de
producción distribuye utilidades a sus socios, cuando la utilidad gravable a
que se refiere esta fracción se invierta en activos financieros diferentes a
las cuentas por cobrar a clientes o en recursos necesarios para la operación
normal de la sociedad de que se trate.
Para
los efectos de este Capítulo las sociedades cooperativas de producción que no
distribuyan rendimientos a sus socios, sólo podrán invertir dichos recursos en
bienes que a su vez generan más empleos o socios cooperativistas.
II. Las
sociedades cooperativas de producción llevarán una cuenta de utilidad gravable.
Esta cuenta se adicionará con la utilidad gravable del ejercicio y se
disminuirá con el importe de la utilidad gravable pagada.
El
saldo de la cuenta prevista en esta fracción, que se tenga al último día de
cada ejercicio, sin incluir la utilidad gravable del mismo, se actualizará por
el periodo comprendido desde el mes en el que se efectuó la última
actualización y hasta el último mes del ejercicio de que se trate. Cuando se
distribuyan utilidades provenientes de esta cuenta con posterioridad a la
actualización prevista en este párrafo, el saldo de la cuenta que se tenga a la
fecha de la distribución, se actualizará por el periodo comprendido desde el
mes en el que se efectuó la última actualización y hasta el mes en el que se
distribuyan dichas utilidades.
El
saldo de la cuenta de utilidad gravable deberá transmitirse a otra u otras
sociedades en los casos de fusión o escisión. En este último caso, dicho saldo
se dividirá entre la sociedad escindente y las sociedades escindidas, en la
proporción en la que se efectúe la partición del capital contable del estado de
posición financiera aprobado por la asamblea general extraordinaria y que haya
servido de base para realizar la escisión.
La
utilidad gravable a que se refiere esta fracción, será la que determine la
sociedad cooperativa de que se trate, en los términos del artículo 109 de esta
Ley, correspondiente a la totalidad de los socios que integran dicha sociedad.
III. Por los
ingresos que obtenga la sociedad cooperativa no se efectuarán pagos
provisionales del impuesto sobre la renta.
IV. Los
rendimientos y los anticipos que otorguen las sociedades cooperativas a sus
socios, se considerarán como ingresos asimilados a los ingresos por la
prestación de un servicio personal subordinado y se aplicará lo dispuesto en
los artículos 94 y 96 de esta Ley.
Artículo 195. Las sociedades cooperativas de producción que opten
por aplicar lo dispuesto en el presente Capítulo, no podrán variar su opción en
ejercicios posteriores, salvo cuando se cumpla con los requisitos que se
establezcan en el Reglamento de esta Ley. Cuando los contribuyentes dejen de
pagar el impuesto en los términos de este Capítulo, en ningún caso podrán
volver a tributar en los términos del mismo.
CAPÍTULO VIII
DE LA OPCIÓN DE ACUMULACIÓN DE INGRESOS POR
PERSONAS MORALES
Capítulo adicionado DOF 30-11-2016
Artículo 196. Las personas morales que se encuentren
constituidas únicamente por personas físicas, y que tributen en los términos
del Título II de esta Ley, cuyos ingresos totales obtenidos en el ejercicio
inmediato anterior no hubieran excedido de la cantidad de cinco millones de
pesos, pagarán el impuesto sobre la renta aplicando lo dispuesto en el citado
Título II, y podrán optar por lo previsto en este Capítulo.
Los contribuyentes señalados en el párrafo anterior
que inicien actividades, podrán calcular el impuesto conforme a lo establecido
en este Capítulo si estiman que los ingresos del ejercicio fiscal de que se
trate no excederán del límite a que dicho párrafo se refiere. Cuando en el
ejercicio citado realicen operaciones por un periodo menor de doce meses, para
determinar el monto a que se refiere el párrafo anterior, dividirán los
ingresos manifestados entre el número de días que comprende el periodo y el
resultado se multiplicará por 365 días.
Cuando los ingresos obtenidos por el contribuyente en
el periodo transcurrido desde el inicio del ejercicio y hasta el mes de que se
trate, excedan de la cantidad señalada en el primer párrafo de este artículo,
el contribuyente dejará de aplicar lo dispuesto en este Capítulo y deberá pagar
el impuesto sobre la renta en los términos de la presente Ley en el régimen
correspondiente, a partir del ejercicio siguiente a aquél en que se excedió el
monto citado.
No podrán optar por aplicar lo dispuesto en este
Capítulo:
I. Las personas morales cuando uno o varios de sus
socios, accionistas o integrantes participen en otras sociedades mercantiles
donde tengan el control de la sociedad o de su administración, o cuando sean
partes relacionadas en los términos del artículo 90 de esta Ley.
Se
entenderá por control, cuando una de las partes tenga sobre la otra el control
efectivo o el de su administración, a grado tal, que pueda decidir el momento
de reparto o distribución de los ingresos, utilidades o dividendos de ellas, ya
sea directamente o por interpósita persona.
II. Los contribuyentes que realicen actividades a través
de fideicomiso o asociación en participación.
III. Quienes tributen conforme al Capítulo VI, del Título II de esta Ley.
IV. Las personas morales cuyos socios, accionistas o integrantes hayan sido
socios, accionistas o integrantes de otras personas morales que hayan tributado
conforme a este Capítulo.
V. Los contribuyentes que dejen de aplicar la opción prevista en este
Capítulo.
Artículo adicionado DOF 30-11-2016
Artículo 197. Para efectos de este Capítulo, los ingresos se
consideran acumulables en el momento en que sean efectivamente percibidos.
Los ingresos se consideran efectivamente percibidos
cuando se reciban en efectivo, en bienes o en servicios, aun cuando aquéllos
correspondan a anticipos, a depósitos o a cualquier otro concepto, sin importar
el nombre con el que se les designe. Igualmente se considera percibido el
ingreso cuando el contribuyente reciba títulos de crédito emitidos por una
persona distinta de quien efectúa el pago; tratándose de cheques, se
considerará percibido el ingreso en la fecha de cobro del mismo o cuando los
contribuyentes transmitan los cheques a un tercero, excepto cuando dicha
transmisión sea en procuración. También se entenderá que el ingreso es
efectivamente percibido, cuando el interés del acreedor quede satisfecho
mediante cualquier forma de extinción de las obligaciones.
Tratándose de condonaciones, quitas o remisiones, de
deudas, o de las deudas que se dejen de pagar por prescripción de la acción del
acreedor, se considerará ingreso acumulable la diferencia que resulte de restar
del principal actualizado por inflación, el monto de la quita, condonación o
remisión, al momento de su liquidación o reestructuración, siempre y cuando la
liquidación total sea menor al principal actualizado y se trate de quitas,
condonaciones o remisiones otorgadas por instituciones del sistema financiero.
En el caso de condonaciones, quitas o remisiones de
deudas otorgadas por personas distintas a instituciones del sistema financiero,
se acumulará el monto total en dichas condonaciones, quitas o remisiones.
Los contribuyentes sujetos a un procedimiento de
concurso estarán a lo previsto en el artículo 15 de esta Ley.
Tratándose de los ingresos derivados de las
condonaciones, quitas, remisiones o de deudas que hayan sido otorgadas por
personas distintas a instituciones del sistema financiero, o de deudas
perdonadas conforme al convenio suscrito con los acreedores reconocidos sujetos
a un procedimiento de concurso mercantil, se considerarán efectivamente
percibidos en la fecha en que se convenga la condonación, la quita o la
remisión, o en la que se consuma la prescripción.
En el caso de enajenación de bienes que se exporten se
deberá acumular el ingreso cuando efectivamente se perciba. Si el ingreso no se
percibe dentro de los doce meses siguientes a aquél en el que se realice la
exportación se deberá acumular el ingreso transcurrido en dicho plazo.
Artículo adicionado DOF 30-11-2016
Artículo 198. Los contribuyentes que opten por aplicar lo dispuesto
en este Capítulo, deberán efectuar las deducciones establecidas en el Título
II, Capítulo II, Sección I de esta Ley.
Para los efectos del párrafo anterior, en lugar de
aplicar la deducción del costo de lo vendido, deberán deducir las adquisiciones
de mercancías; así como de materias primas, productos semiterminados
o terminados que utilicen para prestar servicios, para fabricar bienes o para
enajenarlos, disminuidas con las devoluciones, descuentos y bonificaciones
sobre las mismas efectuadas, inclusive, en ejercicios posteriores, cuando aún
no hayan aplicado dicha deducción.
No serán deducibles conforme al párrafo anterior, los
activos fijos, los terrenos, las acciones, partes sociales, obligaciones y
otros valores mobiliarios, así como los títulos valor que representen la
propiedad de bienes, excepto certificados de depósito de bienes o mercancías;
la moneda extranjera, las piezas de oro o de plata que hubieran tenido el
carácter de moneda nacional o extranjera ni las piezas denominadas onzas troy.
Para los efectos de las deducciones autorizadas a que
se refiere este artículo, deberán cumplir con el requisito de que hayan sido
efectivamente erogadas en el ejercicio de que se trate. Se entenderán como
efectivamente erogadas cuando hayan sido pagadas en efectivo, mediante
transferencias electrónicas de fondos desde cuentas abiertas a nombre del
contribuyente en instituciones que componen el sistema financiero y las
entidades que para tal efecto autorice el Banco de México; o en otros bienes
que no sean títulos de crédito. Tratándose de pagos con cheque, se considerará
efectivamente erogado en la fecha en la que el mismo haya sido cobrado o cuando
los contribuyentes transmitan los cheques a un tercero, excepto cuando dicha
transmisión sea en procuración; de igual forma, se considerarán efectivamente
erogadas cuando el contribuyente entregue títulos de crédito suscritos por una
persona distinta. También se entiende
que es efectivamente erogado cuando el interés del acreedor queda satisfecho
mediante cualquier forma de extinción de las obligaciones.
Cuando los pagos a que se refiere el párrafo anterior
se efectúen con cheque, la deducción se efectuará en el ejercicio en que éste
se cobre, siempre que entre la fecha consignada en el comprobante fiscal que se
haya expedido y la fecha en que efectivamente se cobre dicho cheque no hayan
transcurrido más de cuatro meses, excepto cuando ambas fechas correspondan al
mismo ejercicio.
Tratándose de inversiones, éstas deberán deducirse en
el ejercicio en el que inicie su utilización o en el ejercicio siguiente, aun
cuando en dicho ejercicio no se haya erogado en su totalidad el monto original
de la inversión y estarán a lo dispuesto en el Título II, Capítulo II, Sección
II de esta Ley.
Las personas morales a que se refiere este Capítulo no
tendrán la obligación de determinar al cierre del ejercicio el ajuste anual por
inflación a que se refiere el Título II, Capítulo III de esta Ley.
Artículo adicionado DOF 30-11-2016
Artículo 199. Los contribuyentes a que se refiere este Capítulo
efectuarán pagos provisionales mensuales a cuenta del impuesto del ejercicio a
más tardar el día 17 del mes inmediato posterior a aquél al que corresponda el
pago, mediante declaración que presentarán ante las oficinas autorizadas. El
pago provisional se determinará restando de la totalidad de los ingresos a que
se refiere el Título II de esta Ley, obtenidos en el periodo comprendido desde
el inicio del ejercicio y hasta el último día del mes al que corresponde el
pago, las deducciones autorizadas a que se refiere el citado Titulo II,
correspondientes al mismo periodo y la participación de los trabajadores en las
utilidades de las empresas pagada en el ejercicio, en los términos del artículo
123 de la Constitución Política de los Estados Unidos Mexicanos y, en su caso,
las pérdidas fiscales ocurridas en ejercicios anteriores que no se hubieran
disminuido.
Para los efectos del párrafo anterior, los
contribuyentes podrán optar por determinar los pagos provisionales aplicando al
ingreso acumulable del periodo de que se trate, el coeficiente de utilidad que
corresponda en los términos de lo dispuesto en el artículo 14 de esta Ley,
considerando la totalidad de sus ingresos en el periodo de pago de que se
trate. Esta opción no se podrá variar en el ejercicio.
Al resultado que se obtenga conforme a lo señalado en
los párrafos anteriores, se le aplicará la tasa establecida en el artículo 9 de
esta Ley.
Contra el pago provisional determinado conforme a este
artículo, se acreditarán los pagos provisionales del mismo ejercicio efectuados
con anterioridad.
Las declaraciones de pagos provisionales del ejercicio
y el registro de operaciones se podrán realizar a través de los medios y
formatos que señale el Servicio de Administración Tributaria mediante reglas de
carácter general.
Artículo adicionado DOF 30-11-2016
Artículo 200. Los contribuyentes a que se refiere este Capítulo
deberán calcular el impuesto del ejercicio a su cargo en los términos del
Título II de esta Ley.
Cuando las personas morales que tributen en los
términos de este Capítulo distribuyan a sus socios, accionistas o integrantes
dividendos o utilidades, estarán a lo dispuesto en el artículo 140 de esta Ley.
Artículo adicionado DOF 30-11-2016
Artículo 201. Los contribuyentes que dejen de aplicar lo dispuesto
en este Capítulo deberán cumplir con las obligaciones previstas en el Título II
de esta Ley a partir del ejercicio inmediato siguiente a aquél en que decidan
dejar dicha opción o no cumplan los requisitos para continuar ejerciendo esta
opción.
Para los efectos del párrafo anterior, respecto de los
pagos provisionales que se deban efectuar en términos del artículo 14 de esta
Ley, correspondientes al primer ejercicio inmediato siguiente a aquél en que se
dejó de aplicar lo dispuesto en este Capítulo, se deberá considerar como
coeficiente de utilidad el que corresponda a la actividad preponderante de los
contribuyentes conforme al artículo 58 del Código Fiscal de la Federación.
Los contribuyentes a que se refiere este artículo
deberán presentar a más tardar el día 31 de enero del ejercicio inmediato
siguiente a aquél en que dejen de aplicar lo dispuesto en este Capítulo un
aviso ante el Servicio de Administración Tributaria en el que señalen que dejan
de ejercer la opción de aplicar este Capítulo.
Los contribuyentes a que se refiere este artículo no
deberán efectuar la acumulación de los ingresos que hubieran percibido hasta
antes de la fecha en que dejen de aplicar lo dispuesto en este Capítulo,
siempre que los mismos hubieran sido acumulados de conformidad con el artículo
197 de esta Ley. En caso de que los contribuyentes hubieran efectuado las
deducciones en los términos de este Capítulo, no podrán volver a efectuarlas.
El Servicio de Administración Tributaria podrá
instrumentar, mediante reglas de carácter general, los mecanismos operativos de
transición para la presentación de declaraciones, avisos y otro tipo de
información para los contribuyentes que dejen de aplicar la opción prevista en
este Capítulo y tengan que pagar el impuesto en los términos del Título II de
esta Ley, así como para los contribuyentes que se encuentren tributando
conforme al Título II de la citada Ley y opten por aplicar lo dispuesto en este
Capítulo.
Artículo adicionado DOF 30-11-2016
CAPÍTULO IX
DEL ESTÍMULO FISCAL A LA INVESTIGACIÓN Y
DESARROLLO DE TECNOLOGÍA
Capítulo adicionado DOF 30-11-2016
Artículo 202. Se otorga un estímulo fiscal a los contribuyentes del
impuesto sobre la renta que efectúen proyectos de investigación y desarrollo
tecnológico, consistente en aplicar un crédito fiscal equivalente al 30% de los
gastos e inversiones realizados en el ejercicio en investigación o desarrollo
de tecnología, contra el impuesto sobre la renta causado en el ejercicio en que
se determine dicho crédito. El crédito fiscal no será acumulable para efectos
del impuesto sobre la renta.
Para los efectos del párrafo anterior, el crédito
fiscal sólo podrá aplicarse sobre la base incremental de los gastos e
inversiones efectuados en el ejercicio correspondiente, respecto al promedio de
aquéllos realizados en los tres ejercicios fiscales anteriores.
Cuando dicho crédito fiscal sea mayor al impuesto
sobre la renta que tengan a su cargo en el ejercicio fiscal en el que se
aplique el estímulo, los contribuyentes podrán acreditar la diferencia que
resulte contra el impuesto sobre la renta que tengan a su cargo en los diez
ejercicios siguientes hasta agotarla. En el caso de que el contribuyente no
aplique el crédito en el ejercicio en el que pudiera hacerlo, perderá el
derecho a acreditarlo en los ejercicios posteriores y hasta por la cantidad en
la que pudo haberlo efectuado.
Para los efectos de este artículo, se consideran
gastos e inversiones en investigación y desarrollo de tecnología, los
realizados en territorio nacional, destinados directa y exclusivamente a la
ejecución de proyectos propios que se encuentren dirigidos al desarrollo de
productos, materiales o procesos de producción, que representen un avance
científico o tecnológico, de conformidad con las reglas generales que publique
el Comité Interinstitucional.
Para la aplicación del estímulo fiscal a que se
refiere el presente artículo, se estará a lo siguiente:
I. Se creará un Comité Interinstitucional que estará
formado por un representante del Consejo Nacional de Ciencia y Tecnología, uno
de la Secretaría de Economía, uno del Servicio de Administración Tributaria y
uno de la Secretaría de Hacienda y Crédito Público, quien presidirá el Comité
Interinstitucional y tendrá voto de calidad. La Secretaría Técnica del Comité
estará a cargo del Consejo Nacional de Ciencia y Tecnología.
Fracción reformada DOF 09-12-2019
II. El monto total del estímulo a distribuir entre los
aspirantes del beneficio, no excederá de 1,500 millones de pesos por cada
ejercicio fiscal ni de 50 millones de pesos por contribuyente.
III. El Comité Interinstitucional publicará a más tardar el último día de
febrero de cada ejercicio fiscal, los proyectos y montos autorizados durante el
ejercicio anterior, así como los contribuyentes beneficiados.
IV. Los contribuyentes deberán cumplir lo dispuesto en las reglas generales
que para el otorgamiento del estímulo publique el Comité Interinstitucional.
Estas reglas también establecerán compromisos de desarrollo de prototipos y
otros entregables equivalentes, así como de generación de patentes que se
deberán registrar en México.
El estímulo fiscal a que se refiere este artículo, no
podrá aplicarse conjuntamente con otros tratamientos fiscales que otorguen
beneficios o estímulos fiscales.
Reforma DOF 09-12-2019: Derogó del
artículo el entonces párrafo sexto
Artículo adicionado DOF 30-11-2016
CAPÍTULO X
DEL ESTÍMULO FISCAL AL DEPORTE DE ALTO
RENDIMIENTO
Capítulo adicionado DOF 30-11-2016
Artículo 203. Se otorga un estímulo fiscal a los contribuyentes del
impuesto sobre la renta, consistente en aplicar un crédito fiscal equivalente
al monto que, en el ejercicio fiscal de que se trate, aporten a proyectos de
inversión en infraestructura e instalaciones deportivas altamente
especializadas, así como a programas diseñados para el desarrollo,
entrenamiento y competencia de atletas mexicanos de alto rendimiento, contra el
impuesto sobre la renta del ejercicio y de los pagos provisionales del mismo
ejercicio, causado en el ejercicio
en que se determine el crédito. Este crédito fiscal no será acumulable para
efectos del impuesto sobre la renta. En ningún caso, el estímulo podrá exceder
del 10% del impuesto sobre la renta causado en el ejercicio inmediato anterior
al de su aplicación.
Párrafo reformado DOF 09-12-2019
Cuando dicho crédito fiscal sea mayor al impuesto
sobre la renta que tengan a su cargo en el ejercicio fiscal en el que se
aplique el estímulo, los contribuyentes podrán acreditar la diferencia que
resulte contra el impuesto sobre la renta que tengan a su cargo en los diez
ejercicios siguientes hasta agotarla. En el caso de que el contribuyente no
aplique el crédito en el ejercicio en el que pudiera hacerlo, perderá el
derecho a acreditarlo en los ejercicios posteriores y hasta por la cantidad en
la que pudo haberlo efectuado.
Para los efectos de este artículo, se considerarán
como proyectos de inversión, las inversiones en territorio nacional que se
destinen al desarrollo de infraestructura e instalaciones deportivas altamente
especializadas, las cuales no deberán tener fines preponderantemente económicos
o de lucro y no estar vinculadas directa o indirectamente con la práctica
profesional del deporte, así como los gastos de operación y mantenimiento de
las citadas instalaciones deportivas. Asimismo, se considerarán como programas
aquéllos diseñados para su aplicación en el territorio nacional, dirigidos al
desarrollo, entrenamiento y competencia de los atletas mexicanos de alto
rendimiento.
Para la aplicación del estímulo fiscal a que se
refiere el presente artículo, se estará a lo siguiente:
I. Se creará un Comité Interinstitucional que estará
formado por un representante de la Comisión Nacional de Cultura Física y
Deporte, uno del Comité Olímpico Mexicano, uno del Servicio de Administración
Tributaria y uno de la Secretaría de Hacienda y Crédito Público, quien
presidirá el Comité Interinstitucional y tendrá voto de calidad.
II. El monto total del estímulo a distribuir entre los
aspirantes del beneficio, no excederá de 400 millones de pesos por cada
ejercicio fiscal ni de 20 millones de pesos por cada contribuyente aportante, proyecto de inversión o programa.
El
Comité podrá autorizar un monto superior al límite de 20 millones de pesos a
que se refiere el párrafo anterior, cuando se trate de proyectos o programas
que por su naturaleza e importancia dentro del ámbito del deporte de alto
rendimiento requieran inversiones superiores a dicho monto.
III. El Comité Interinstitucional publicará a más tardar el último día de
febrero de cada ejercicio fiscal, el nombre de los contribuyentes beneficiados,
los montos autorizados durante el ejercicio anterior, así como los proyectos de
inversión y los programas correspondientes.
IV. Los contribuyentes deberán cumplir con lo dispuesto en las reglas
generales que para el otorgamiento del estímulo publique el Comité
Interinstitucional.
El estímulo fiscal a que se refiere este artículo, no
podrá aplicarse conjuntamente con otros tratamientos fiscales que otorguen
beneficios o estímulos fiscales.
Reforma DOF 09-12-2019: Derogó del
artículo el entonces párrafo quinto
Artículo adicionado DOF 30-11-2016
CAPÍTULO XI
DE LOS EQUIPOS DE ALIMENTACIÓN PARA VEHÍCULOS
ELÉCTRICOS
Capítulo adicionado DOF 30-11-2016
Artículo 204. Se otorga un estímulo fiscal a los
contribuyentes del impuesto sobre la renta, consistente en aplicar un crédito fiscal equivalente al 30%
del monto de las inversiones que en el ejercicio fiscal de que se trate, realicen
en equipos
de alimentación para vehículos eléctricos, siempre que éstos se encuentren
conectados y sujetos de manera fija en lugares públicos, contra el impuesto sobre la renta que tengan a su
cargo en el ejercicio en el que se determine el crédito. El crédito fiscal no
será acumulable para efectos del impuesto sobre la renta.
Cuando dicho crédito sea mayor al impuesto sobre la
renta que tengan a su cargo en el ejercicio fiscal en el que se aplique el
estímulo, los contribuyentes podrán acreditar la diferencia que resulte contra
el impuesto sobre la renta que tengan a su cargo en los diez ejercicios
siguientes hasta agotarla. En el caso de que el contribuyente no aplique el
crédito en el ejercicio en el que pudiera hacerlo, perderá el derecho a acreditarlo
en los ejercicios posteriores y hasta por la cantidad en la que pudo haberlo
efectuado.
Artículo adicionado DOF 30-11-2016
Artículo 205. Las figuras jurídicas extranjeras que administren
inversiones de capital de privado que inviertan en personas morales residentes
en México, que se consideren transparentes fiscales en el país o jurisdicción
de su constitución, gozarán de dicha transparencia para efectos de esta Ley.
Los socios de dichas figuras tributarán de conformidad con el Título de esta
Ley que les corresponda. Lo señalado en este artículo será aplicable solo por
los ingresos que obtengan por intereses, dividendos, ganancias de capital o por
el arrendamiento de bienes inmuebles. Lo dispuesto en el párrafo anterior será
aplicable siempre que:
I. El
administrador de dicha figura jurídica o su represente legal en el país,
presente ante el Servicio de Administración Tributaria, un registro de todos
los integrantes o miembros de dicha figura en el ejercicio fiscal anterior. Si
durante el ejercicio fiscal hay una variación respecto a los integrantes o
miembros de dicha figura, esto deberá ser reportado por el administrador o su
representante legal, a más tardar en el mes de febrero del siguiente año de
calendario. El registro referido deberá incluir la documentación que acredite
la residencia fiscal de cada uno de los integrantes o miembros de dicha figura,
incluyendo el administrador. En caso que el integrante o miembro sea un
organismo internacional o un fondo de pensiones y jubilaciones, podrán presentar
su acuerdo sede o convenio constitutivo. En caso de no contar con dicha
documentación de alguno de los integrantes o miembros, la figura jurídica no
gozará de la transparencia fiscal en la proporción de su participación.
II. Que la
figura jurídica haya sido constituida en un país o jurisdicción con el que
México tenga un acuerdo amplio de intercambio de información.
III. Que los
integrantes o miembros de dicha figura jurídica, incluyendo el administrador,
residan en un país o jurisdicción con el que México tenga un acuerdo amplio de
intercambio de información. En caso que un integrante o miembro no resida en un
país o jurisdicción con el que México tenga un acuerdo amplio de intercambio de
información, la figura jurídica no gozará de la transparencia fiscal en la
proporción de su participación.
IV. Que los
integrantes o miembros que integren dicha figura, incluyendo el administrador,
sean los beneficiarios efectivos de los ingresos percibidos por dicha figura.
En caso que un integrante o miembro no sea efectivamente el beneficiario
efectivo de dichos ingresos, la figura jurídica no gozará de la transparencia
fiscal en la proporción de su participación.
V. Que los
ingresos señalados en esta Ley, atribuibles a los integrantes o miembros
residentes en el extranjero, sean acumulados por los mismos. En caso contrario,
la figura jurídica no gozará de la transparencia fiscal en la proporción a la
participación del integrante o miembro cuyo ingreso no fue acumulado.
VI. Que los
ingresos que obtengan los integrantes o miembros residentes en México o
establecimientos permanentes de residentes en el extranjero, se acumulen de
conformidad con los artículos 4-B o 177 de esta Ley, incluso si los integrantes
o miembros hubiesen estado exentos del impuesto respecto de dichos ingresos. En
caso contrario, la figura jurídica no gozará de la transparencia fiscal en la
proporción de la participación del integrante o miembro cuyo ingreso no fue
acumulado en virtud de los artículos 4-B o 177 de esta Ley.
Artículo adicionado DOF 09-12-2019
DISPOSICIONES
DE VIGENCIA TEMPORAL DE LA LEY DEL IMPUESTO SOBRE LA RENTA
ARTÍCULO
OCTAVO. Para los efectos de
lo dispuesto en la fracción I, inciso a), numeral 2 del artículo 166 de la Ley
del Impuesto sobre la Renta, durante el ejercicio fiscal de 2014, los intereses
a que hace referencia dicha disposición podrán estar sujetos a una tasa del 4.9
por ciento, siempre que el beneficiario efectivo de esos intereses sea
residente de un país con el que se encuentre en vigor un tratado para evitar la
doble tributación celebrado con México y se cumplan los requisitos previstos en
dicho tratado para aplicar las tasas que en el mismo se prevean para este tipo
de intereses.
DISPOSICIONES TRANSITORIAS DE LA
LEY DEL IMPUESTO SOBRE LA RENTA
ARTÍCULO
NOVENO. En relación con la
Ley del Impuesto sobre la Renta a que se refiere el Artículo Séptimo de este
Decreto, se estará a lo siguiente:
I. La Ley
del Impuesto sobre la Renta a que se refiere el Artículo Primero del presente
Decreto entrará en vigor el 1 de enero de 2014, salvo que en otros artículos
del mismo se establezcan fechas de entrada en vigor diferentes.
II. Se
abroga la Ley del Impuesto sobre la Renta publicada en el Diario Oficial de la
Federación el 1 de enero de 2002. El Reglamento de la Ley del Impuesto sobre la
Renta de fecha 17 de octubre de 2003 continuará aplicándose en lo que no se
oponga a la presente Ley del Impuesto sobre la Renta y hasta en tanto se expida
un nuevo Reglamento.
Las
obligaciones y derechos derivados de la Ley del Impuesto sobre la Renta que se
abroga conforme a esta fracción, que hubieran nacido durante su vigencia, por
la realización de las situaciones jurídicas o de hecho previstas en dicha Ley,
deberán ser cumplidas en las formas y plazos establecidos en el citado ordenamiento
y conforme a las disposiciones, resoluciones a consultas, interpretaciones,
autorizaciones o permisos de carácter general o que se hubieran otorgado a
título particular, conforme a la Ley que se abroga.
III. Cuando en
la Ley del Impuesto sobre la Renta se haga referencia a situaciones jurídicas o
de hecho, relativas a ejercicios anteriores, se entenderán incluidos, cuando
así proceda, aquéllos que se verificaron durante la vigencia de la Ley del
Impuesto sobre la Renta que se abroga.
IV. A partir de
la fecha en que entre en vigor la Ley del Impuesto sobre la Renta, quedan sin
efectos las disposiciones legales, reglamentarias, administrativas,
resoluciones, consultas, interpretaciones, autorizaciones o permisos de
carácter general o que se hubieran otorgado a título particular, que
contravengan o se opongan a lo preceptuado en esta Ley.
V. Los
contribuyentes que con anterioridad a la entrada en vigor de la Ley del
Impuesto sobre la Renta, hubiesen efectuado inversiones en los términos del
artículo 38 de la Ley del Impuesto sobre la Renta que se abroga, que no
hubiesen sido deducidas en su totalidad con anterioridad a la fecha de entrada
en vigor de esta Ley, aplicarán la deducción de dichas inversiones conforme a
la Sección II del Capítulo I del Título II de la Ley del Impuesto sobre la
Renta, únicamente
sobre el saldo que conforme a la Ley del Impuesto sobre la Renta que se abroga
se encuentre pendiente por deducir, y considerando como monto original de la
inversión el que correspondió en los términos de esta última Ley.
VI. Los
contribuyentes que con anterioridad a la entrada en vigor de la Ley del
Impuesto sobre la Renta, hubiesen sufrido pérdidas fiscales en los términos del
Capítulo V del Título II de la Ley del Impuesto sobre la Renta que se abroga,
que no hubiesen sido disminuidas en su totalidad a la fecha de entrada en vigor
de esta Ley, disminuirán dichas pérdidas en los términos del Capítulo V del
Título II de la Ley del Impuesto sobre la Renta, considerando únicamente el
saldo de dicha pérdida pendiente de disminuir, conforme a la Ley del Impuesto sobre la
Renta que se abroga, se encuentre pendiente de disminuir.
VII. Hasta en
tanto entren en vigor nuevos Convenios de Colaboración Administrativa en
Materia Fiscal Federal, continuarán vigentes las facultades delegadas en
materia del impuesto sobre la renta contenidas en los Convenios de Colaboración
Administrativa en Materia Fiscal Federal celebrados por el Gobierno Federal por
conducto de la Secretaría de Hacienda y Crédito Público con las entidades
federativas en vigor y anexos correspondientes, así como sus respectivos
acuerdos modificatorios.
El
ejercicio de las facultades delegadas en materia del impuesto sobre la renta,
conforme a los convenios vigentes a que se refiere el párrafo anterior, se
entenderá referido a la Ley del Impuesto sobre la Renta a partir de la fecha de
su entrada en vigor.
Los
asuntos en materia del impuesto sobre la renta que a la fecha de entrada en
vigor de la presente Ley se encuentren en trámite ante las autoridades fiscales
de las entidades federativas, serán concluidos por éstas, en los términos de la
Ley del Impuesto sobre la Renta que se abroga.
VIII. Las
entidades federativas mantendrán vigentes las facultades de comprobación a las
que hace referencia el Código Fiscal de la Federación y la Ley del Impuesto
Sobre la Renta que se abroga, por lo que hace a las obligaciones fiscales de
los contribuyentes correspondientes al ejercicio fiscal de 2013 y anteriores.
IX. Los
contribuyentes obligados a presentar declaraciones informativas en los términos
de la Ley del Impuesto sobre la Renta que se abroga, deberán presentar las
declaraciones correspondientes al ejercicio que concluye el 31 de diciembre de
2013, a más tardar el 15 de febrero de 2014.
X. Para los
efectos de la obligación de presentar las declaraciones informativas y
constancias establecidas en los artículos 86, fracciones III, IV, VIII, IX, X,
XIV, 101, VI, 118, III, V, 143, último párrafo, 144 y 164 de la Ley del
Impuesto sobre la Renta que se abroga, se deberá cumplir con dicha obligación
en los términos de esa Ley, a partir del 1 de enero de 2014 y hasta el 31 de
diciembre de 2016.
XI. Los
contribuyentes que hubieran optado por considerar como ingreso obtenido en el
ejercicio, la parte del precio efectivamente cobrado en una enajenación a plazo
en términos del artículo 18, fracción III de la Ley del Impuesto sobre la Renta
que se abroga, que aún tengan cantidades pendientes de acumular a la entrada en
vigor de este Decreto, respecto de las enajenaciones a plazo celebradas hasta
el 31 de diciembre de 2013, estarán a lo siguiente:
a) Aplicarán lo
dispuesto en la Ley del Impuesto sobre la Renta que se abroga, hasta en tanto
acumulen la cantidad pendiente de cobro del total del precio pactado en la enajenación,
respecto de la totalidad de las enajenaciones a plazo.
El
impuesto que resulte conforme al régimen contenido en el segundo párrafo de la
fracción III del artículo 18 de la Ley del Impuesto sobre la Renta que se
abroga, se podrá enterar en dos partes iguales, el 50% en el ejercicio en el
que se acumule el ingreso y el 50% restante en el siguiente ejercicio.
El
impuesto que podrá diferirse conforme al párrafo anterior, será el que
corresponda a la proporción que representen las enajenaciones a plazo, respecto
a la totalidad de las operaciones que realice el contribuyente en el periodo de
que se trate. El impuesto que se difiera conforme a este inciso, se actualizará
desde el mes por el que se tomó la opción, y hasta por el mes en el que se pague
el mismo.
b) Cuando el
contribuyente enajene los documentos pendientes de cobro o los dé en pago,
deberá considerar la cantidad pendiente de acumular como ingreso obtenido en el
ejercicio en el que realice la enajenación o la dación en pago, en términos de
la Ley del Impuesto sobre la Renta que se abroga.
c) En el caso de
incumplimiento de los contratos de enajenaciones a plazo, el enajenante
considerará como ingreso obtenido en el ejercicio, las cantidades cobradas en
el mismo del comprador, disminuidas por las cantidades que ya hubiera devuelto
conforme al contrato respectivo, en términos de la Ley del Impuesto sobre la
Renta que se abroga.
XII. Los
contribuyentes que hubieran optado por acumular sus inventarios, para
determinar el costo de lo vendido, deberán seguir aplicando lo establecido en
las fracciones IV, V, VI, VII, IX y XI del Artículo Tercero de las
Disposiciones Transitorias de la Ley del Impuesto sobre la Renta del Decreto
por el que se reforman, adicionan, derogan y establecen diversas disposiciones
de la Ley del Impuesto sobre la Renta y de la Ley del Impuesto al Activo y
establece los Subsidios para el Empleo y para la Nivelación del Ingreso,
publicado en el Diario Oficial de la Federación el 1 de diciembre de 2004.
XIII. Las
sociedades de inversión de capitales que al 31 de diciembre de 2013, hubieren
ejercido la opción prevista en el artículo 50 de la Ley del Impuesto sobre la
Renta que se abroga, y únicamente respecto de las inversiones en sociedades
promovidas que hubieran realizado hasta dicha fecha, deberán acumular las
ganancias por enajenación de acciones, intereses y del ajuste anual por
inflación, hasta el ejercicio fiscal en el que distribuyan dividendos a sus
accionistas.
Para
efectos del párrafo anterior, las sociedades de inversión de capitales
actualizarán las ganancias por enajenación de acciones y los intereses, desde
el mes en el que los obtengan y hasta el mes en el que los distribuyan a sus
integrantes. Las sociedades que ejercieron las opciones mencionadas deducirán
el ajuste anual por inflación deducible, los intereses actualizados, así como
las pérdidas actualizadas por enajenación de acciones, en el ejercicio en el
que distribuyan la ganancia o los intereses señalados. Los intereses deducibles
y la pérdida por enajenación de acciones se actualizarán por el periodo
comprendido desde el mes en el que los intereses se hubieren devengado o la
pérdida hubiere ocurrido y hasta el último mes del ejercicio en el que se
deducirán.
Cuando
las sociedades de inversión de capitales que hayan optado por acumular el
ingreso en los términos señalados en el párrafo anterior, distribuyan
dividendos, deberán estar a lo señalado en el artículo 10 de la Ley del
Impuesto sobre la Renta.
En
los casos a que se refiere el párrafo anterior, la sociedad de inversión de que
se trate deberá disminuir de la utilidad fiscal neta que se determine en los
términos del tercer párrafo del artículo 77 de la Ley del Impuesto sobre la
Renta, correspondiente al ejercicio en que se efectuó la distribución referida,
el monto de los dividendos distribuidos en los términos de esta fracción.
Lo
dispuesto en esta fracción sólo será aplicable a las inversiones en acciones de
sociedades promovidas que se hubieran realizado hasta el 31 de diciembre de
2013.
Las
sociedades de inversión de capitales por las ganancias por enajenación de
acciones, intereses y el ajuste anual por inflación, respecto de inversiones en
sociedades promovidas realizadas a partir del 1 de enero de 2014, para su
acumulación, estarán a lo dispuesto en la Ley del Impuesto sobre la Renta.
XIV. A partir
del 1 de enero de 2014, las instituciones de crédito no podrán deducir las
pérdidas por créditos incobrables, que provengan de la creación o incremento de
las reservas preventivas globales que hayan sido deducidas conforme al artículo
53 de la Ley del Impuesto sobre la Renta que se abroga.
Cuando
el saldo acumulado de las reservas preventivas globales por las que se ejerció
la opción prevista en el artículo 53 de la Ley del Impuesto sobre la Renta que
se abroga, que de conformidad con las disposiciones fiscales o las que
establezca la Comisión Nacional Bancaria y de Valores, tengan las instituciones
de crédito al 31 de diciembre del ejercicio de que se trate, sea menor que el
saldo acumulado actualizado de las citadas reservas que se hubiera tenido al 31
de diciembre del ejercicio inmediato anterior, la diferencia se considerará
ingreso acumulable en el ejercicio de que se trate. El saldo de las reservas
preventivas globales que las instituciones de crédito tengan al 31 de diciembre
de 2013 en términos del cuarto párrafo del artículo 53 de la Ley del Impuesto
sobre la Renta que se abroga, las podrán mantener en la cuenta contable que
para estos efectos establece la Comisión Nacional Bancaria y de Valores y no
aplicar lo establecido en este párrafo sino hasta que se liquiden, quebranten,
renueven o reestructuren los créditos que les dieron origen a dichas reservas.
Los contribuyentes que apliquen lo dispuesto en este párrafo, deberán informar a
más tardar el 15 de febrero de cada año los conceptos que dedujeron en los
términos de este párrafo en el año calendario inmediato anterior, de
conformidad con las disposiciones que al efecto emita el Servicio de
Administración Tributaria.
El
saldo acumulado de las reservas preventivas globales se actualizará por el
periodo comprendido desde el último mes del ejercicio inmediato anterior y
hasta el último mes del ejercicio de que se trate. En este caso, se podrá
disminuir del ingreso acumulable a que se refiere el párrafo anterior, hasta
agotarlo, el excedente actualizado de las reservas preventivas globales
pendientes de deducir, siempre que no se hayan deducido con anterioridad en los
términos del artículo 53 de la Ley del Impuesto sobre la Renta que se abroga.
Para
el cálculo del ingreso acumulable a que se refiere el párrafo anterior, no se
considerarán las disminuciones aplicadas contra las reservas por castigos que
ordene o autorice la Comisión Nacional Bancaria y de Valores.
Las
instituciones de crédito que al 31 de diciembre de 2013 tengan excedentes de
Reservas Preventivas Globales pendientes por aplicar en términos del artículo
53 de la Ley del Impuesto sobre la Renta que se abroga, las podrán deducir en
cada ejercicio siempre que el monto de las pérdidas por créditos incobrables en
el ejercicio que correspondan sean menores al 2.5% del saldo promedio anual de
la cartera de créditos del ejercicio de que se trate. El monto deducible será
la cantidad que resulte de restar al 2.5% del saldo promedio anual de la
cartera de créditos del ejercicio el monto de las pérdidas por créditos
incobrables deducidas en el ejercicio que corresponda.
Una
vez que la institución de crédito haya deducido, de conformidad con el párrafo
anterior, el total de los excedentes de Reservas Preventivas Globales
pendientes por aplicar, podrá deducir, adicional a lo dispuesto en la fracción
XV del artículo 27 de la presente Ley, el monto de las quitas, condonaciones,
bonificaciones y descuentos sobre la cartera de créditos que representen
servicios por los que se devenguen intereses a su favor, así como el monto de
las pérdidas originadas por la venta que realicen de dicha cartera y por
aquellas pérdidas que sufran en las daciones en pago. Lo anterior siempre y
cuando no origine en el tiempo una doble deducción y no se hayan realizado
entre partes relacionadas.
XV. Los
contribuyentes que al 31 de diciembre de 2013 contaban con autorización para
determinar su resultado fiscal consolidado en los términos del Capítulo VI del
Título II de la Ley del Impuesto sobre la Renta que se abroga y hubieren
cumplido con el plazo de cinco ejercicios previsto en el tercer párrafo del
artículo 64 de la citada Ley, estarán a lo siguiente:
a) Con motivo de
la abrogación de la Ley del Impuesto sobre la Renta, la sociedad controladora
deberá desconsolidar a todas las sociedades del
grupo, incluida ella misma y pagar el impuesto diferido que tengan pendiente de
entero al 31 de diciembre de 2013, aplicando para tales efectos el
procedimiento previsto en el artículo 71 de la Ley del Impuesto sobre la Renta
que se abroga, o bien, el siguiente procedimiento:
1. Reconocerá
los efectos de la desconsolidación al cierre del
ejercicio de 2013, mediante declaración complementaria de dicho ejercicio, para
lo cual, sumará o restará, según sea el caso, a la utilidad fiscal consolidada
o a la pérdida fiscal consolidada de dicho ejercicio lo siguiente:
i) Los
conceptos especiales de consolidación, que en su caso, hubiere continuado
determinando por las operaciones correspondientes a ejercicios fiscales
anteriores al ejercicio fiscal de 2002 en los términos del segundo párrafo de
la fracción XXXIII del Artículo Segundo de las Disposiciones Transitorias de la
Ley del Impuesto sobre la Renta, publicadas en el Diario Oficial de la
Federación el 1 de enero de 2002 y que con motivo de la desconsolidación
deben considerarse como efectuadas con terceros, desde la fecha en que se
realizó la operación que los hizo calificar como conceptos especiales de
consolidación, calculados en los términos del artículo 57-J de la Ley del
Impuesto sobre la Renta y demás disposiciones aplicables vigentes hasta el 31
de diciembre de 2001.
ii) El
monto de las pérdidas fiscales de ejercicios anteriores que las sociedades
controladas y que la controladora tengan derecho a disminuir al momento de la desconsolidación, considerando para estos efectos sólo
aquellos ejercicios en que se restaron las pérdidas fiscales de dichas
sociedades para determinar el resultado fiscal consolidado.
Las
pérdidas pendientes de disminuir a que se refiere el párrafo anterior y las
referidas en el artículo 71, párrafo segundo de la Ley del Impuesto sobre la
Renta que se abroga, incluirán tanto las determinadas al 31 diciembre de 2012,
como las generadas en el ejercicio de 2013.
iii) El
monto de las pérdidas que provengan de la enajenación de acciones de sociedades
controladas y de la controladora, cuando dichas pérdidas hubieran sido restadas
para determinar el resultado fiscal consolidado del ejercicio en el que se generaron
y siempre que dichas pérdidas no hubieran podido deducirse por la sociedad que
las generó.
Para los
efectos de este numeral, los conceptos especiales de consolidación y las
pérdidas fiscales de ejercicios anteriores, así como las pérdidas en enajenación
de acciones correspondientes a las sociedades controladas y a la controladora,
se sumarán o restarán, según corresponda, en la participación consolidable del
ejercicio de 2013. Los conceptos especiales de consolidación correspondientes a
ejercicios anteriores a 1999 de las sociedades controladas y de la
controladora, se sumarán o restarán según corresponda, en la participación
accionaria promedio diaria del ejercicio de 2013. Las participaciones a que se
refiere este párrafo, son aquéllas que se determinen de conformidad con lo
dispuesto en el penúltimo párrafo de la fracción I del artículo 68 de la Ley
del Impuesto sobre la Renta que se abroga.
Los
conceptos especiales de consolidación mencionados en el párrafo anterior, se
actualizarán por el periodo comprendido desde el último mes del ejercicio
fiscal en que se realizó la operación que dio lugar a dichos conceptos
tratándose de las operaciones a que se refieren los artículos 57-F, fracción I
y 57-G, fracciones I y II de la Ley del Impuesto sobre la Renta vigente hasta
el 31 de diciembre de 2001, y desde el último mes del periodo en que se efectuó
la actualización en el caso de la deducción por la inversión de bienes objeto
de las operaciones referidas y hasta el mes en que se realice la desconsolidación. Las pérdidas que provengan de la
enajenación de acciones se actualizarán desde el mes en que ocurrieron y hasta
el mes en que se realice la desconsolidación. En el
caso de las pérdidas fiscales pendientes de disminuir de las sociedades
controladas y de la controladora, se actualizarán desde el primer mes de la
segunda mitad del ejercicio en que ocurrieron y hasta el mes en que se realice
la desconsolidación.
Una vez
determinada la utilidad fiscal consolidada del ejercicio de 2013 que resulte
conforme a lo dispuesto en este numeral, la controladora determinará el
impuesto que resulte en los términos del artículo 10 de la Ley del Impuesto
sobre la Renta que se abroga. Dicha controladora determinará la utilidad fiscal
neta consolidada que corresponda y el excedente de ésta respecto de la utilidad
fiscal neta del ejercicio que se manifestó en la declaración anterior a la que
se deba presentar conforme a lo dispuesto en el primer párrafo de este numeral,
podrá incrementar el saldo de la cuenta de utilidad fiscal neta consolidada
para efectos de la mecánica prevista en el numeral 3 siguiente.
2. La sociedad
controladora deberá pagar el impuesto que se cause en los términos del artículo
78, primer párrafo de la Ley del Impuesto sobre la Renta que se abroga, por los
dividendos o utilidades no provenientes de su cuenta de utilidad fiscal neta,
ni de su cuenta de utilidad fiscal neta reinvertida, que hubieren pagado las
sociedades controladas a otras sociedades del mismo grupo de consolidación. El
impuesto se determinará aplicando la tasa establecida en el artículo 10 de la
citada Ley, a la cantidad que resulte de multiplicar por el factor de 1.4286 el
monto actualizado de dichos dividendos o utilidades por el periodo transcurrido
desde el mes de su pago hasta el mes en que se realice la desconsolidación.
Para los
efectos del párrafo anterior, la sociedad controladora no considerará los
dividendos o utilidades en efectivo o en bienes pagados o distribuidos con
anterioridad al 1 de enero de 1999 que no provinieron de la cuenta de utilidad
fiscal neta.
Los
dividendos o utilidades distribuidos en efectivo o en bienes, conforme al
párrafo anterior, no incrementarán las referidas cuentas de las sociedades que
los hayan recibido.
Para
efectos del primer párrafo de este numeral, se podrá optar por que el impuesto
que corresponda sea enterado por la sociedad que teniendo el carácter de
controlada llevó a cabo la distribución de dividendos o utilidades, en cuyo
caso dicho entero deberá efectuarse dentro de los cinco meses siguientes a
aquél en que se realice la desconsolidación a que se
refiere el inciso a) de esta fracción. En este supuesto, la sociedad que
realice el entero podrá acreditar el impuesto en términos de lo dispuesto en la
fracción I del artículo 10 de la Ley del Impuesto sobre la Renta vigente a
partir del 1 de enero de 2014 y deberá disminuir del saldo de la cuenta de
utilidad fiscal neta al 1 de enero del 2014 la cantidad que resulte de dividir
el impuesto efectivamente pagado en los términos de este párrafo entre el
factor de 0.4286.
En el caso
de que la cantidad que se disminuya sea mayor al saldo de la citada cuenta, la
diferencia se disminuirá del saldo de la cuenta de utilidad fiscal neta que se
determine en los siguientes ejercicios hasta agotarla.
Una vez
efectuado el entero del impuesto a que se refiere el párrafo anterior, la
sociedad que hubiere percibido el dividendo o utilidad de que se trate podrá
incrementar el saldo de su cuenta de utilidad fiscal neta con el importe
actualizado de los dividendos o utilidades por los cuales se haya pagado el
impuesto. Para tales efectos, la sociedad que hubiere tenido el carácter de
controlada y que efectúe el entero deberá expedir una constancia a la sociedad
perceptora del citado dividendo o utilidad, conteniendo los datos que señale el
Servicio de Administración Tributaria mediante reglas de carácter general.
La
aplicación de la opción antes prevista se encontrará sujeta a que la sociedad
que hubiere tenido el carácter de controladora presente un aviso ante el
Servicio de Administración Tributaria a más tardar el último día del mes de
febrero de 2014, mediante un escrito libre en el que se señale la denominación
o razón social de cada una de las sociedades que efectuarán el pago del
impuesto, indicando tanto el monto del dividendo o utilidad como del impuesto
que corresponda a cada una de ellas, así como la denominación o razón social de
la sociedad o sociedades que hubieren percibido el dividendo o utilidad de que
se trata y que incrementarán el saldo de su cuenta de utilidad fiscal neta con
motivo de la opción ejercida.
3. La
controladora determinará, en su caso, la utilidad que corresponde a la
comparación de los saldos de la cuenta de utilidad fiscal neta, conforme a lo
siguiente:
Comparará
el saldo de las cuentas de utilidad fiscal neta individuales de las sociedades
controladas y el de la controladora en la participación que corresponda, con el
de la cuenta de utilidad fiscal neta consolidada, incluyendo, en su caso, los
efectos señalados en el numeral 1 de este inciso. En caso de que este último
saldo sea superior al primero sólo se disminuirán del saldo de la cuenta de
utilidad fiscal neta consolidada el saldo individual de las controladas y de la
propia controladora. Si por el contrario, el saldo de la cuenta de utilidad
fiscal neta consolidada fuera inferior a la suma de los saldos individuales de
las controladas y de la propia controladora, se considerará utilidad el
resultado de multiplicar la diferencia entre ambos saldos por el factor de
1.4286. Sobre dicha utilidad la controladora determinará el impuesto que
resulte en los términos del artículo 10 de la Ley del Impuesto sobre la Renta
que se abroga y se disminuirá del saldo de la cuenta de utilidad fiscal neta
consolidada el saldo de las cuentas individuales de las controladas y de la
propia controladora, hasta llevarla a cero.
Para
efectos de la comparación a que se refiere el presente numeral, únicamente se
considerarán los saldos de las cuentas de utilidad fiscal neta individual de la
controladora y de las controladas, así como de la cuenta de utilidad fiscal
neta consolidada que se hubieren generado a partir del 1 de enero de 2008 y
hasta el 31 de diciembre de 2013.
El
impuesto sobre la renta a pagar con motivo de la desconsolidación
será la suma del impuesto determinado conforme a los numerales 1, 2 y 3 de este
inciso.
El
procedimiento que se señala en el presente inciso no procederá respecto de los
conceptos por los que el contribuyente ya hubiere enterado el impuesto diferido
a que se refiere la fracción VI del Artículo Cuarto de las Disposiciones
Transitorias de la Ley del Impuesto sobre la Renta, publicadas en el Diario
Oficial de la Federación el 7 de diciembre de 2009, o a que se refiere el
artículo 70-A de la misma Ley, o bien cuando dicho impuesto se encuentre
pendiente de entero por encontrarse sujeto al esquema de pagos establecido en
las disposiciones fiscales antes mencionadas.
La
sociedad controladora que cuente con conceptos especiales de consolidación a
los que se refiere el inciso i) del numeral 1 del presente inciso a), podrá
pagar el impuesto diferido correspondiente a los mismos, hasta que los bienes
que dieron origen a dichos conceptos sean enajenados a personas ajenas al grupo
en términos del Capítulo VI del Título II de la Ley que se abroga.
b) Con
independencia del procedimiento elegido para determinar el impuesto que resulte
de la desconsolidación a que se refiere el inciso a)
de esta fracción, cuando la sociedad controladora en los ejercicios de 2010,
2011, 2012 ó 2013 hubiere optado por aplicar lo dispuesto en la regla I.3.5.17.
de la Resolución Miscelánea Fiscal para 2009, publicada en el Diario Oficial de
la Federación el 31 de marzo de 2010; I.3.6.16. de la Resolución Miscelánea
Fiscal para 2010, publicada en el Diario Oficial de la Federación el 28 de
diciembre de 2010 ó I.3.6.13. de las Resoluciones Misceláneas Fiscales para
2011, 2012 y 2013, publicadas en el Diario Oficial de la Federación el 1 de
julio de 2011, el 28 de diciembre de 2011 y el 28 de diciembre de 2012,
respectivamente; deberá determinar y enterar el impuesto sobre la renta
correspondiente a la comparación de los saldos del registro de la cuenta de
utilidad fiscal neta consolidada que con motivo de la opción ejercida no fue
determinado ni enterado en el ejercicio correspondiente.
Para los
efectos de lo dispuesto en el párrafo anterior, la sociedad que hubiere tenido
el carácter de controladora podrá incrementar al registro de la cuenta de
utilidad fiscal neta consolidada la cantidad que resulte de disminuir al monto
de las pérdidas fiscales por las que se determinó el impuesto diferido a que se
refiere el inciso a) de la fracción VIII del Artículo Cuarto de las
Disposiciones Transitorias de la Ley del Impuesto sobre la Renta, publicadas en
el Diario Oficial de la Federación el 7 de diciembre de 2009 o la fracción I
del artículo 71-A de la misma Ley, el impuesto sobre la renta que les hubiere
correspondido en términos de lo establecido en las disposiciones que se
indican.
c) El impuesto
que se determine de conformidad con lo dispuesto en los incisos a) y b) de la
presente fracción se deberá enterar por la sociedad que tuvo el carácter de
controladora en cinco ejercicios fiscales, conforme al siguiente esquema de
pagos:
1. 25%, a más
tardar el último día del mes de mayo de 2014.
2. 25%, a más
tardar el último día del mes de abril de 2015.
3. 20%, a más
tardar el último día del mes de abril de 2016.
4. 15%, a más
tardar el último día del mes de abril de 2017.
5. 15%, a más
tardar el último día del mes de abril de 2018.
Los pagos
a que se refieren los numerales 2 al 5 de este inciso, se deberán enterar
actualizados con el factor que corresponda al periodo comprendido desde el mes
en el que se debió efectuar el pago a que se refiere el numeral 1 de este
inciso y hasta el mes inmediato anterior a aquél en el que se realice el pago
de que se trate.
d) Las
sociedades que al 31 de diciembre de 2013 hubieren tenido el carácter de
controladoras y que a esa fecha se encuentren sujetas al esquema de pagos
contenido en la fracción VI del Artículo Cuarto de las Disposiciones
Transitorias de la Ley del Impuesto sobre la Renta, publicadas en el Diario
Oficial de la Federación el 7 de diciembre de 2009, o en el artículo 70-A de la
Ley del Impuesto sobre la Renta que se abroga, deberán continuar enterando el
impuesto que hubieren diferido con motivo de la consolidación fiscal en los
ejercicios de 2007 y anteriores conforme a las disposiciones citadas, hasta
concluir su pago conforme al esquema señalado.
e) La sociedad
controladora para determinar el impuesto al activo que con motivo de la desconsolidación deberá enterar, así como el que podrán
recuperar las sociedades controladas y ella misma, deberá estar a lo dispuesto
en la fracción III del Artículo Tercero del Decreto por el que se reforman,
adicionan y derogan diversas disposiciones de la Ley del Impuesto sobre la
Renta, del Código Fiscal de la Federación, de la Ley del Impuesto Especial
sobre Producción y Servicios y de la Ley del Impuesto al Valor Agregado, y se
establece el Subsidio para el Empleo, publicado en el Diario Oficial de la
Federación el 1 de octubre de 2007.
El
saldo de la cuenta de utilidad fiscal neta consolidada al 31 de diciembre de
2013, que en su caso resulte después de efectuar la desconsolidación
a que se refiere la presente fracción, no tendrá ningún efecto fiscal
posterior.
XVI. Los
contribuyentes que al 31 de diciembre de 2013, cuenten con autorización para
determinar su resultado fiscal consolidado en los términos del Capítulo VI del
Título II de la Ley del Impuesto sobre la Renta que se abroga, y se encuentren
dentro del periodo de cinco ejercicios que señala el tercer párrafo del
artículo 64 de la referida Ley, podrán continuar determinando el impuesto sobre
la renta consolidado durante los ejercicios fiscales pendientes de transcurrir
para concluir dicho periodo, conforme a las disposiciones establecidas en el
citado Capítulo, así como en el Capítulo V del Título II del Reglamento de la
Ley del Impuesto sobre la Renta y demás disposiciones que se encontraron
vigentes al 31 de diciembre 2013. Asimismo, dichos contribuyentes deberán
cumplir con las obligaciones relativas a la presentación de los avisos
referidos en el citado Capítulo VI, resultándoles aplicables las infracciones y
multas a que se refieren las fracciones XI y XII de los artículos 81 y 82 del
Código Fiscal de la Federación, vigente hasta el 31 de diciembre de 2013.
Para
efectos de lo anterior, una vez transcurrido el periodo de cinco ejercicios, la
sociedad controladora deberá determinar el impuesto diferido conforme a las
disposiciones de la fracción XV anterior y enterarlo de conformidad con el
esquema de pagos siguiente:
a) 25% en el mes
de mayo del primer ejercicio fiscal posterior al de la conclusión del plazo de
los cinco ejercicios.
b) 25% en el mes
de abril del siguiente ejercicio fiscal al mencionado en el inciso anterior.
c) 20% en el mes
de abril del siguiente ejercicio fiscal al mencionado en el inciso anterior.
d) 15% en el mes
de abril del siguiente ejercicio fiscal al mencionado en el inciso anterior.
e) 15% en el mes
de abril del siguiente ejercicio fiscal al mencionado en el inciso anterior.
Los
enteros a que se refieren los incisos b) a e) de esta fracción, se actualizarán
con el factor de actualización que corresponda al periodo comprendido desde el
mes en el que se debió efectuar el pago a que se refiere el inciso a) de esta
fracción y hasta el mes inmediato anterior a aquél en el que se realice el
entero de la parcialidad de que se trate.
XVII. Los
contribuyentes que al 31 de diciembre de 2013, contaban con autorización para
determinar su resultado fiscal consolidado en los términos del Capítulo VI del
Título II de la Ley del Impuesto sobre la Renta que se abroga, podrán ejercer a
partir del 1 de enero de 2014, la opción a que se refiere el Capítulo VI del
Título II de la Ley del Impuesto sobre la Renta, sin que para ello sea
necesario obtener la autorización a que se refiere el artículo 63 de la Ley del
Impuesto sobre la Renta; lo anterior, siempre que a más tardar el 15 de febrero
de 2014 la sociedad integradora presente un aviso en el cual señale que
ejercerá dicha opción y manifieste la denominación o razón social de la
totalidad de las sociedades que conformarán el grupo así como el porcentaje de
participación integrable de la sociedad integradora en cada sociedad integrada.
Para
efectos de lo dispuesto en el párrafo anterior, el grupo de sociedades deberá
reunir los requisitos a que se refieren los artículos 60 y 61 de la Ley del
Impuesto sobre la Renta y además no ubicarse en alguno de los supuestos a que
se refiere el artículo 62 de dicha Ley. La sociedad integradora que al 1 de
enero de 2014, no cuente con la participación establecida en el artículo 61 de
esta Ley en sus sociedades integradas, podrá ejercer la opción en comento,
siempre que al 31 de diciembre de 2014 cumpla con la participación requerida en
dichos artículos y no se trate de una sociedad de las referidas en el artículo
62 de la misma Ley. En caso de no cumplir con dicha participación a esta última
fecha, la sociedad integradora deberá desincorporar a la sociedad de que se
trate de conformidad con lo dispuesto en el artículo 68 de dicha Ley,
considerando como fecha de desincorporación el 1 de enero de 2014, y tendrá la
obligación de pagar el impuesto sobre la renta que se difirió en los pagos
provisionales del ejercicio con actualización y recargos, calculados desde que
debieron efectuarse dichos pagos y hasta que los mismos se realicen.
Las
sociedades a que se refiere el primer párrafo de esta fracción que cuenten con
pérdidas fiscales de ejercicios anteriores pendientes de disminuir en términos
de lo dispuesto por el artículo 57 de la Ley del Impuesto sobre la Renta que se
hubieren generado hasta el 31 de diciembre de 2013, podrán incorporarse a este
régimen opcional para grupos de sociedades, sin que por ello puedan disminuir
dichas pérdidas.
XVIII. Las sociedades
controladoras que en el ejercicio de 2013 hubieren optado por determinar su
impuesto sobre la renta diferido conforme al procedimiento previsto en el
artículo 71-A de la Ley del Impuesto sobre la Renta que se abroga, podrán optar
por determinar los efectos de la desconsolidación,
conforme a lo siguiente:
a) Deberán
determinar el impuesto diferido de los ejercicios de 2008 a 2013 aplicando lo
dispuesto en el artículo 71-A de la Ley del Impuesto sobre la Renta que se
abroga y efectuar su entero en términos de lo establecido en el artículo 70-A
de la citada Ley.
b) Determinarán
el impuesto al activo que con motivo de la desconsolidación
deba enterarse así como el que puedan recuperar las sociedades que hubieren
tenido el carácter de controladas y de controladora, para lo cual aplicarán lo
dispuesto en el inciso e) de la fracción XV del presente artículo transitorio.
c) Cuando la
sociedad que hubiere tenido el carácter de controladora, haya optado en los
ejercicios de 2010, 2011, 2012 ó 2013 por aplicar lo dispuesto en la regla
I.3.5.17. de la Resolución Miscelánea Fiscal para 2009, publicada en el Diario Oficial
de la Federación el 31 de marzo de 2010; I.3.6.16. de la Resolución Miscelánea
Fiscal para 2010, publicada en el Diario Oficial de la Federación el 28 de
diciembre de 2010 ó I.3.6.13. de las Resoluciones Misceláneas Fiscales para
2011, 2012 y 2013, publicadas en el Diario Oficial de la Federación el 1 de
julio de 2011, el 28 de diciembre de 2011 y el 28 de diciembre de 2012,
respectivamente; deberá determinar y enterar con motivo de la desconsolidación el impuesto sobre la renta correspondiente
a la comparación de los saldos del registro de la cuenta de utilidad fiscal
neta consolidada que no fue determinado ni enterado en el respectivo ejercicio.
Para
efectos de lo dispuesto en el párrafo anterior, la sociedad que hubiere tenido
el carácter de controladora podrá incrementar al registro de la cuenta de
utilidad fiscal neta consolidada la cantidad que resulte de disminuir al monto
de las pérdidas fiscales por las que se determinó el impuesto diferido a que se
refiere el inciso a) de la fracción VIII del Artículo Cuarto de las
Disposiciones Transitorias de la Ley del Impuesto sobre la Renta, publicadas en
el Diario Oficial de la Federación el 7 de diciembre de 2009 o la fracción I
del artículo 71-A de la misma Ley, el impuesto sobre la renta que les hubiere
correspondido en términos de lo establecido en las disposiciones que se
indican.
XIX. Las
sociedades que hubieran tenido el carácter de controladoras podrán efectuar el
pago del impuesto a que se refiere el inciso e) de la fracción XV o el inciso
b) de la fracción XVIII del presente artículo transitorio, según sea el caso,
en términos de lo dispuesto en las fracciones I a la V del sexto párrafo del
artículo 70-A de la Ley del Impuesto sobre la Renta que se abroga y
considerando la actualización a que se refiere el séptimo párrafo de dicho
artículo.
XX. Para los
efectos de lo dispuesto en la fracción IX del artículo 62 de la Ley del
Impuesto sobre la Renta, se considerarán aquellas pérdidas fiscales que no
hubiesen sido disminuidas en su totalidad y que se obtuvieron conforme a lo
dispuesto en el artículo 61 de la Ley del Impuesto sobre la Renta que se
abroga.
XXI. Las
personas morales que antes de la entrada en vigor de esta Ley tributaron de
conformidad con el Título II, Capítulo VII de la Ley del Impuesto sobre la
Renta que se abroga, deberán cumplir por cuenta de sus integrantes con las
obligaciones pendientes que se hayan generado hasta el 31 de diciembre de 2013
en términos de la Ley del Impuesto sobre la Renta que se abroga.
A
partir de la entrada en vigor de la presente Ley, las personas físicas o
morales integrantes de las personas morales mencionadas en el párrafo anterior,
deberán cumplir individualmente las obligaciones establecidas en esta Ley, en
los términos del Título que les corresponda.
XXII. Las
sociedades o asociaciones de carácter civil que se dediquen a la enseñanza, con
autorización o reconocimiento de validez oficial de estudios en términos de la
Ley General de Educación, así como las instituciones creadas por decreto
presidencial o por ley cuyo objeto sea la enseñanza, que no cuenten con
autorización para recibir donativos deducibles, así como las asociaciones o
sociedades civiles organizadas con fines deportivos, a partir de la entrada en
vigor de este Decreto deberán cumplir las obligaciones del Título II de la
nueva Ley del Impuesto sobre la Renta, no obstante, deberán determinar el
remanente distribuible generado con anterioridad a la entrada en vigor de este
Decreto en los términos del Título III de la Ley del Impuesto sobre la Renta
que se abroga y sus socios e integrantes considerarán como ingreso a dicho
remanente cuando las personas morales mencionadas se los entreguen en efectivo
o en bienes.
XXIII. El Servicio
de Administración Tributaria, mediante reglas de carácter general, podrá
otorgar facilidades administrativas y de comprobación para el cumplimiento de
las obligaciones fiscales de los contribuyentes del Régimen de las actividades
agrícolas, ganaderas, silvícolas o pesqueras. Las facilidades administrativas
en materia de comprobación de erogaciones por concepto de mano de obra de
trabajadores eventuales del campo, alimentación de ganado y gastos menores no
podrán exceder del 10% de sus ingresos propios con un límite de 800 mil pesos.
XXIV. Para los
efectos del artículo 78 de la Ley del Impuesto sobre la Renta, los
contribuyentes que hubieran iniciado sus actividades antes del 1 de enero de
2014, podrán considerar como saldo inicial de la cuenta de capital de
aportación, el saldo que de dicha cuenta hubieran determinado al 31 de
diciembre de 2013, conforme al artículo 89 de la Ley del Impuesto sobre la
Renta vigente hasta dicha fecha.
XXV. Para los
ejercicios de 2001 a 2013, la utilidad fiscal neta se determinará en los
términos de la Ley del Impuesto sobre la Renta vigente en el ejercicio fiscal
de que se trate. Asimismo, por dicho periodo se sumarán los dividendos o
utilidades percibidas y se restarán los dividendos distribuidos conforme a lo
dispuesto en la Ley vigente en los ejercicios señalados.
Cuando
la suma del impuesto sobre la renta pagado en el ejercicio de que se trate, de
las partidas no deducibles para los efectos de dicho impuesto y, en su caso, de
la participación de los trabajadores en las utilidades de las empresas, ambos
del mismo ejercicio, sea mayor al resultado fiscal de dicho ejercicio, la
diferencia se disminuirá de la suma de las utilidades fiscales netas que se
tengan al 31 de diciembre de 2013 o, en su caso, de la utilidad fiscal neta que
se determine en los siguientes ejercicios, hasta agotarlo. En este último caso,
el monto que se disminuya se actualizará desde el último mes del ejercicio en
el que se determinó y hasta el último mes del ejercicio en el que se disminuya.
Para
los efectos del párrafo anterior, el impuesto sobre la renta será el pagado en
los términos del artículo 10 de la Ley del Impuesto sobre la Renta vigente
hasta el 31 de diciembre de 2013, y dentro de las partidas no deducibles no se
considerarán las señaladas en las fracciones VIII y IX del artículo 32 de la
Ley del Impuesto sobre la Renta vigente hasta el 31 de diciembre de 2013.
Las
utilidades fiscales netas obtenidas, los dividendos o utilidades percibidos y
los dividendos o utilidades distribuidos en efectivo o en bienes se
actualizarán por el periodo comprendido desde el último mes del ejercicio en
que se obtuvieron, del mes en que se percibieron o del mes en que se pagaron,
según corresponda, hasta el 31 de diciembre de 2013.
XXVI. Los
contribuyentes que al 31 de diciembre de 2013, tributaron conforme a la Sección
III del Capítulo II del Título IV de la Ley del Impuesto sobre la Renta que se
abroga y, que a partir del 1 de enero de 2014, no reúnan los requisitos para
tributar en los términos de la Sección II del Capítulo II, del Título IV de la
Ley del Impuesto sobre la Renta, pagarán el impuesto conforme a la Sección I
del último Capítulo mencionado.
Para
efectos de los pagos provisionales que les corresponda efectuar en el primer
ejercicio conforme a la Sección I señalada en el párrafo anterior, se
considerará como coeficiente de utilidad el que corresponda a su actividad
preponderante en los términos del artículo 58 del Código Fiscal de la
Federación.
Los
contribuyentes a que se refiere el primer párrafo de esta fracción, a partir de
la fecha en que comiencen a tributar en la Sección I citada en el párrafo
anterior, podrán deducir las inversiones realizadas durante el tiempo que
estuvieron tributando en la Sección III del Capítulo II del Título IV de la Ley
del Impuesto sobre la Renta que se abroga, siempre que no se hubieran deducido
con anterioridad y se cuente con la documentación comprobatoria de dichas
inversiones que reúna los requisitos fiscales.
Tratándose
de bienes de activo fijo, la inversión pendiente de deducir se determinará
restando al monto original de la inversión, la cantidad que resulte de
multiplicar dicho monto por la suma de los por cientos máximos autorizados por
Ley del Impuesto sobre la Renta que se abroga para deducir la inversión de que
se trate, que correspondan a los ejercicios en los que el contribuyente haya
tenido dichos activos.
En el
primer ejercicio que paguen el impuesto conforme a la Sección I del Capítulo
II, Título IV de la Ley del Impuesto sobre la Renta, al monto original de la
inversión de los bienes, se le aplicará el por ciento que señale esta Ley para
el bien de que se trate, en la proporción que representen, respecto de todo el
ejercicio, los meses transcurridos a partir de que se pague el impuesto
conforme a la Sección I mencionada.
Los
contribuyentes que hubieran obtenido ingresos por operaciones en crédito por
los que no se hubiese pagado el impuesto en los términos del penúltimo párrafo
del artículo 138 de la Ley del Impuesto sobre la Renta que se abroga, y que
dejen de tributar conforme a la Sección III del Capítulo II del Título IV de la
Ley del Impuesto sobre la Renta que se abroga, para hacerlo en los términos de
las Sección I del Capítulo II del Título IV de la Ley del Impuesto sobre la
Renta, acumularán dichos ingresos en el mes en que se cobren en efectivo, en
bienes o en servicios.
XXVII. Las sociedades
cooperativas de producción que con anterioridad a la fecha de entrada en vigor
de la Ley del Impuesto sobre la Renta, hayan tributado en términos del Capítulo
VII-A del Título II de la Ley del Impuesto sobre la Renta que se abroga, que
hayan optado por diferir el impuesto correspondiente a los ejercicios, seguirán
aplicando lo dispuesto por el artículo 85-A de la Ley del Impuesto sobre la
Renta que se abroga, hasta que se cubra el impuesto que hubieran diferido
únicamente por los ingresos percibidos hasta el 31 de diciembre de 2013.
A
partir de la entrada en vigor del presente Decreto, las personas físicas
integrantes de las personas morales mencionadas en el párrafo anterior, no
podrán cumplir individualmente las obligaciones establecidas en la nueva Ley
del Impuesto sobre la Renta, siendo la sociedad cooperativa la que calcule y
entere el impuesto sobre la renta como un solo ente jurídico en términos de
dicha Ley.
Los
contribuyentes a que se refiere el primer párrafo de esta fracción que hubieran
acumulado sus ingresos conforme a la Ley del Impuesto sobre la Renta que se
abroga, cuando efectivamente se percibieron, y que a la entrada en vigor de
esta Ley tengan ingresos pendientes de cobro, continuarán aplicando lo
dispuesto en la Ley del Impuesto sobre la Renta que se abroga, hasta que
efectivamente perciban la cantidad pendiente de cobro, únicamente por los
ingresos percibidos hasta el 31 de diciembre de 2013.
XXVIII. Las sociedades
cooperativas de producción que hayan tributado en términos del Capítulo VII-A
del Título II de la Ley del Impuesto sobre la Renta que se abroga, y que hayan
diferido el impuesto respecto de los ejercicios anteriores al 1 de enero de
2014, deberán pagar dicho impuesto en el ejercicio fiscal en el que se
distribuya a sus socios la utilidad gravable que les corresponda, para estos
efectos, el impuesto diferido se pagará aplicando al monto de la utilidad
distribuida al socio de que se trate, la tarifa a que se refiere el artículo
152 de la Ley del Impuesto sobre la Renta.
Las
sociedades cooperativas de producción, a partir de la entrada en vigor del
presente Decreto, deberán cumplir con sus obligaciones fiscales en términos del
Título II de la Ley del Impuesto sobre la Renta.
XXIX. Los
intermediarios financieros no efectuarán retención sobre los ingresos por
intereses que paguen a personas físicas, provenientes de los títulos y valores,
a que se refiere el Artículo Segundo, fracciones LII, LXXII, quinto párrafo de
las Disposiciones Transitorias de la Ley del Impuesto sobre la Renta,
publicadas en el Diario Oficial de la Federación el 1 de enero de 2002, y
Artículo Segundo, fracciones XI y XV de las Disposiciones Transitorias de la
citada Ley, publicadas en el referido Diario Oficial el 30 de diciembre de
2002, hasta que la tasa de interés se pueda revisar o se revise, de acuerdo con
las condiciones establecidas en su emisión.
XXX. El impuesto
adicional establecido en el segundo párrafo del artículo 140, y las fracciones
I y IV del artículo 164 de esta Ley, sólo será aplicable a las utilidades
generadas a partir del ejercicio 2014 que sean distribuidas por la persona
moral residente en México o establecimiento permanente. Para tal efecto, la
persona moral o establecimiento permanente que realizará dicha distribución
estará obligado a mantener la cuenta de utilidad fiscal neta con las utilidades
generadas hasta el 31 de diciembre de 2013 e iniciar otra cuenta de utilidad
fiscal neta con las utilidades generadas a partir del 1º de enero de 2014, en
los términos del artículo 77 de esta Ley. Cuando las personas morales o
establecimientos permanentes no lleven las dos cuentas referidas por separado o
cuando éstas no identifiquen las utilidades mencionadas, se entenderá que las
mismas fueron generadas a partir del año 2014.
XXXI. Para los
efectos de lo dispuesto en el último párrafo del artículo 152 de la Ley del
Impuesto sobre la Renta, el mes más antiguo del periodo que se considerará,
será el mes de diciembre de 2013.
XXXII. Para efectos
del inciso a) del párrafo tercero del artículo 129 y del párrafo noveno del
artículo 161 de esta Ley, en el caso de la enajenación de acciones emitidas por
sociedades mexicanas o de títulos que representen exclusivamente a dichas
acciones, cuando su enajenación se realice en las bolsas de valores
concesionadas o mercados de derivados reconocidos en los términos de la Ley del
Mercado de Valores o de acciones emitidas por sociedades extranjeras cotizadas
en dichas bolsas de valores o mercados de derivados, la enajenación de títulos
que representen índices accionarios enajenados en dichas bolsas de valores o
mercados de derivados, y la enajenación de acciones emitidas por sociedades
mexicanas o de títulos que representen exclusivamente a dichas acciones, siempre
que la enajenación de las acciones o títulos citados se realice en bolsas de
valores o mercados de derivados ubicados en mercados reconocidos a que se
refiere la fracción II del artículo 16-C del Código Fiscal de la Federación de
países con los que México tenga en vigor un tratado para evitar la doble
tributación; cuando las adquisiciones de dichas acciones o títulos se hayan
efectuado con anterioridad a la entrada en vigor de esta Ley, en lugar de
considerar el costo promedio de adquisición, a que se refiere el inciso a) del
párrafo tercero del artículo 129 de esta Ley, para realizar la determinación de
las ganancias o pérdidas derivadas de la enajenación de acciones y títulos por
cada sociedad emisora o títulos que representen dichos índices accionarios, se
podrá optar por realizar dicha determinación disminuyendo al precio de venta de
las acciones o títulos, disminuido con las comisiones por concepto de
intermediación pagadas por su enajenación, el valor promedio de adquisición que
resulte de los últimos veintidós precios de cierre de dichas acciones o títulos
inmediatos anteriores a la entrada en vigor de esta Ley. Si los últimos
veintidós precios de cierre son inhabituales en relación con el comportamiento
de las acciones de que se trate en los seis meses anteriores respecto de número
y volumen de operaciones, así como su valor, en lugar de tomar los veintidós
últimos precios de cierre se considerarán los valores observados en los últimos
hechos de los seis meses anteriores. Cuando se opte por el anterior
procedimiento, el valor promedio de adquisición de las acciones o títulos se
podrá actualizar desde la fecha del 31 de diciembre de 2013 hasta el mes
inmediato anterior a la fecha de la primera enajenación.
XXXIII. Para efectos del párrafo tercero del artículo
88 y del párrafo décimo segundo del artículo 151 de esta Ley, en el caso de que
las adquisiciones de las acciones emitidas por las sociedades de inversión de
renta variable se hayan efectuado con anterioridad a la entrada en vigor de
esta Ley, en lugar de considerar el precio de los activos objeto de inversión
de renta variable en la fecha de adquisición, a que se refiere el párrafo
tercero del artículo 88 de esta Ley, para realizar la determinación de las
ganancias o pérdidas derivadas de la enajenación de dichas acciones, se podrá
optar por realizar dicha determinación disminuyendo al precio de los activos
objeto de inversión de renta variable en la fecha de venta de las acciones de
dicha sociedad de inversión, el valor promedio que resulte de los últimos
veintidós precios de cierre de los activos objeto de inversión de renta
variable inmediatos anteriores a la entrada en vigor de esta Ley. Si los
últimos veintidós precios de cierre son inhabituales en relación con el
comportamiento de los activos objeto de inversión de renta variable de que se
trate en los seis meses anteriores respecto del número y volumen de
operaciones, así como su valor, en lugar de tomar los veintidós últimos precios
de cierre se considerarán los valores observados en los últimos hechos de los
activos objeto de inversión de renta variable de los seis meses anteriores.
XXXIV. Los
contribuyentes que con anterioridad a la entrada en vigor de la presente Ley
hubieren optado por efectuar la deducción inmediata de bienes nuevos de activo
fijo, conforme al Capítulo II, del Título VII, de la Ley del Impuesto sobre la
Renta que se abroga, no podrán deducir la parte no deducida de los mismos.
Cuando
enajenen los bienes a los que aplicaron la deducción inmediata, los pierdan o
dejen de ser útiles, calcularán la deducción por la cantidad que resulte de
aplicar, al monto original de la inversión ajustado con el factor de
actualización correspondiente al periodo comprendido desde el mes en el que se
adquirió el bien y hasta el último mes de la primera mitad del periodo en el
que se haya efectuado la deducción señalada conforme al artículo 220 de la Ley
del Impuesto sobre la Renta que se abroga, los por cientos que resulten
conforme al número de años transcurridos desde que se efectuó la deducción y el
por ciento de deducción inmediata aplicado al bien de que se trate, conforme a
la tabla prevista en el artículo 221 de la Ley del Impuesto sobre la Renta que
se abroga.
Para
los efectos de la participación de los trabajadores en las utilidades de las
empresas, los contribuyentes que hubieran optado por aplicar la deducción
inmediata de los bienes a que se refiere esta fracción, deberán considerar la
deducción de dichos activos que les hubiera correspondido, en la cantidad que
resulte de aplicar al monto original de la inversión, los porcientos
establecidos en los artículos 34, 35, 36 y 37 de la Ley del Impuesto sobre la
Renta.
XXXV. Las sociedades
mercantiles que al 31 de diciembre de 2013, hubieran aplicado el estímulo
establecido en el artículo 224-A de la Ley del Impuesto sobre la Renta que se
abroga, estarán a lo siguiente:
1. Los
accionistas que aportaron bienes inmuebles a la sociedad, acumularán la
ganancia por la enajenación de los bienes aportados, cuando se actualice
cualquiera de los siguientes supuestos:
a) Enajenen las
acciones de dicha sociedad, en la proporción que dichas acciones representen
del total de las acciones que recibió el accionista por la aportación del
inmueble a la sociedad, siempre que no se hubiera acumulado dicha ganancia
previamente.
b) La sociedad
enajene los bienes aportados, en la proporción que la parte que se enajene
represente de los mismos bienes, siempre que no se hubiera acumulado dicha
ganancia previamente.
Si al 31
de diciembre de 2016 no se han dado los supuestos a que se refieren los incisos
anteriores, los accionistas a que se refiere este numeral deberán acumular la
totalidad de la ganancia por la enajenación de los bienes aportados que no se
haya acumulado previamente.
2. La ganancia
que se acumule conforme al numeral anterior, se actualizará desde el mes en el
que se obtuvo y hasta el mes en el que se acumule.
XXXVI. Los
contribuyentes que hasta antes de la entrada en vigor de la presente Ley hayan
optado por deducir el costo de adquisición de los terrenos en el ejercicio en
el que los adquirieron, conforme al artículo 225, de la Ley del Impuesto sobre
la Renta que se abroga, deberán al momento de la enajenación del terreno,
considerar como ingreso acumulable el valor total de la enajenación del terreno
de que se trate, en lugar de la ganancia a que se refiere el artículo 20
fracción IV de la Ley del Impuesto sobre la Renta que se abroga.
Cuando
la enajenación del terreno se efectúe en cualquiera de los ejercicios
siguientes a aquél en el que se efectuó la deducción a que se refiere esta
fracción, se considerará adicionalmente como ingreso acumulable un monto
equivalente al 3% del monto deducido conforme a esta fracción, en cada uno de
los ejercicios que transcurran desde el ejercicio en el que se adquirió el
terreno y hasta el ejercicio inmediato anterior a aquél en el que se enajene el
mismo. Para los efectos de este párrafo, el monto deducido conforme a esta
fracción se actualizará multiplicándolo por el factor de actualización correspondiente
al periodo comprendido desde el último mes del ejercicio en el que se dedujo el
terreno y hasta el último mes del ejercicio en el que se acumule el 3% a que se
refiere el presente párrafo.
XXXVII. Los patrones que durante la vigencia del Capítulo VIII,
del Título VII de la Ley del Impuesto sobre la Renta que se abroga, hubieran
establecido puestos de nueva creación para ser ocupados por trabajadores de
primer empleo en los términos y condiciones establecidos en dichos Capítulos,
tendrán el beneficio a que se refiere el mismo respecto de dicho empleos hasta
por un periodo de 36 meses, conforme a los previsto por el artículo 232 de la
Ley del Impuesto sobre la Renta que se abroga.
XXXVIII. Los contribuyentes que hubieran estado
obligados al pago del impuesto al activo, que en el ejercicio fiscal de que se
trate efectivamente paguen el impuesto sobre la renta, podrán continuar
aplicando, en sus términos, el Artículo Tercero Transitorio de la Ley del
Impuesto Empresarial a Tasa Única, publicada en el Diario Oficial de la
Federación el 1 de octubre de 2007.
XXXIX. Para los efectos
del artículo 189 de la Ley del Impuesto sobre la Renta, el Comité
Interinstitucional publicará las reglas generales para el otorgamiento del
estímulo a los proyectos de inversión en la distribución de películas
cinematográficas nacionales, a más tardar el 15 de enero de 2014.
XL. Las
personas morales residentes en México que hayan acumulado ingresos por
dividendos distribuidos por residentes en el extranjero en ejercicios fiscales
anteriores al 2014 y que tengan pendiente por acreditar los montos
proporcionales impuestos sobre la renta pagados por las sociedades extranjeras
en primer y segundo nivel corporativo por dichos ingresos, estarán obligados a
llevar el registro a que se refiere el artículo 5 de esta Ley. Sin embargo, el
incumplimiento de esta obligación no causará la pérdida del derecho al acreditamiento previsto en el citado artículo.
XLI. El Servicio
de Administración Tributaria, mediante reglas de carácter general, podrá
otorgar facilidades administrativas y de comprobación para el cumplimiento de
las obligaciones fiscales de los contribuyentes dedicados exclusivamente al
autotransporte terrestre de carga federal, foráneo de pasaje y turismo hasta
por un monto de 4% de sus ingresos propios. Respecto de dicha facilidad de
comprobación se podrá establecer que sobre las cantidades erogadas se efectúe
una retención del impuesto sobre la renta, sin que ésta no exceda del 17%.
XLII. Son
territorios por los que se debe presentar la declaración informativa a que se
refieren el Título VI de la Ley del Impuesto sobre la Renta y el Título IV
Capítulo II del Código Fiscal de la Federación, los siguientes:
Anguila
Antigua
y Barbuda
Antillas
Neerlandesas
Archipiélago
de Svalbard
Aruba
Ascensión
Barbados
Belice
Bermudas
Brunei
Darussalam
Campione D´Italia
Commonwealth
de Dominica
Commonwealth
de las Bahamas
Emiratos
Árabes Unidos
Estado
de Bahrein
Estado
de Kuwait
Estado
de Qatar
Estado
Independiente de Samoa Occidental
Estado
Libre Asociado de Puerto Rico
Gibraltar
Granada
Groenlandia
Guam
Hong
Kong
Isla
Caimán
Isla
de Christmas
Isla
de Norfolk
Isla
de San Pedro y Miguelón
Isla
del Hombre
Isla Qeshm
Islas
Azores
Islas
Canarias
Islas
Cook
Islas
de Cocos o Kelling
Islas
de Guernesey, Jersey, Alderney, Isla Great Sark, Herm, Little Sark, Brechou, Jethou Lihou (Islas del Canal)
Islas
Malvinas
Islas
Pacífico
Islas
Salomón
Islas
Turcas y Caicos
Islas
Vírgenes Británicas
Islas
Vírgenes de Estados Unidos de América
Kiribati
Labuán
Macao
Madeira
Malta
Montserrat
Nevis
Niue
Patau
Pitcairn
Polinesia
Francesa
Principado
de Andorra
Principado
de Liechtenstein
Principado
de Mónaco
Reino
de Swazilandia
Reino
de Tonga
Reino
Hachemita de Jordania
República
de Albania
República
de Angola
República
de Cabo Verde
República
de Costa Rica
República
de Chipre
República
de Djibouti
República
de Guyana
República
de Honduras
República
de las Islas Marshall
República
de Liberia
República
de Maldivas
República
de Mauricio
República
de Nauru
República
de Panamá
República
de Seychelles
República
de Trinidad y Tobago
República
de Túnez
República
de Vanuatu
República
del Yemen
República
Oriental del Uruguay
República
Socialista Democrática de Sri Lanka
Samoa
Americana
San Kitts
San
Vicente y las Granadinas
Santa
Elena
Santa
Lucía
Serenísima
República de San Marino
Sultanía
de Omán
Tokelau
Trieste
Tristán
de Cunha
Tuvalu
Zona
Especial Canaria
Zona
Libre Ostrava
XLIII. El Ejecutivo
Federal deberá expedir en un plazo no mayor de 30 días a partir de la entrada
en vigor del presente Decreto reglas de carácter general en las que se
establezcan incentivos económicos para facilitar la incorporación de
contribuyentes al régimen al que se refiere la Sección II de la Ley del
Impuesto sobre la Renta.
Los
incentivos deberán contemplar esquemas de financiamiento a través de la banca
de desarrollo, de otras instituciones o de particulares, para la modernización
de las operaciones de estos contribuyentes; flexibilización en las tarifas por
el uso de servicios públicos en función de las ganancias; programas de
capacitación, emprendimiento y crecimiento empresarial o del negocio, así como
de cultura contributiva.
ARTÍCULO
DÉCIMO. Se otorga el subsidio
para el empleo en los términos siguientes:
I. Los
contribuyentes que perciban ingresos de los previstos en el primer párrafo o la
fracción I del artículo 94 de la Ley del Impuesto sobre la Renta, excepto los
percibidos por concepto de primas de antigüedad, retiro e indemnizaciones u
otros pagos por separación, gozarán del subsidio para el empleo que se aplicará
contra el impuesto que resulte a su cargo en los términos del artículo 96 de la
misma Ley. El subsidio para el empleo se calculará aplicando a los ingresos que
sirvan de base para calcular el impuesto sobre la renta que correspondan al mes
de calendario de que se trate, la siguiente:
TABLA
|
Subsidio
para el empleo mensual |
||
|
Límite
Inferior |
Límite
Superior |
Subsidio
para el Empleo |
|
0.01 |
1,768.96 |
407.02 |
|
1,768.97 |
1,978.70 |
406.83 |
|
1,978.71 |
2,653.38 |
359.84 |
|
2,653.39 |
3,472.84 |
343.60 |
|
3,472.85 |
3,537.87 |
310.29 |
|
3,537.88 |
4,446.15 |
298.44 |
|
4,446.16 |
4,717.18 |
354.23 |
|
4,717.19 |
5,335.42 |
324.87 |
|
5,335.43 |
6,224.67 |
294.63 |
|
6,224.68 |
7,113.90 |
253.54 |
|
7,113.91 |
7,382.33 |
217.61 |
|
7,382.34 |
En adelante |
0.00 |
En
los casos en que el impuesto a cargo del contribuyente que se obtenga de la
aplicación de la tarifa del artículo 96 de la Ley del Impuesto sobre la Renta
sea menor que el subsidio para el empleo mensual obtenido de conformidad con la
tabla anterior, el retenedor deberá entregar al contribuyente la diferencia que
se obtenga. El retenedor podrá acreditar contra el impuesto sobre la renta a su
cargo o del retenido a terceros las cantidades que entregue a los
contribuyentes en los términos de este párrafo. Los ingresos que perciban los
contribuyentes derivados del subsidio para el empleo no serán acumulables ni
formarán parte del cálculo de la base gravable de cualquier otra contribución
por no tratarse de una remuneración al trabajo personal subordinado.
En
los casos en los que los empleadores realicen pagos por salarios, que
comprendan periodos menores a un mes, para calcular el subsidio para el empleo
correspondiente a cada pago, dividirán las cantidades correspondientes a cada
una de las columnas de la tabla contenida en esta fracción, entre 30.4. El
resultado así obtenido se multiplicará por el número de días al que corresponda
el periodo de pago para determinar el monto del subsidio para el empleo que le
corresponde al trabajador por dichos pagos.
Cuando
los pagos por salarios sean por periodos menores a un mes, la cantidad del
subsidio para el empleo que corresponda al trabajador por todos los pagos que
se hagan en el mes, no podrá exceder de la que corresponda conforme a la tabla
prevista en esta fracción para el monto total percibido en el mes de que se
trate.
Cuando
los empleadores realicen en una sola exhibición pagos por salarios que
comprendan dos o más meses, para calcular el subsidio para el empleo
correspondiente a dicho pago, multiplicarán las cantidades correspondientes a
cada una de las columnas de la tabla contenida en esta fracción por el número
de meses a que corresponda dicho pago.
Cuando
los contribuyentes presten servicios a dos o más empleadores deberán elegir,
antes de que alguno les efectúe el primer pago que les corresponda por la
prestación de servicios personales subordinados en el año de calendario de que
se trate, al empleador que les entregará el subsidio para el empleo, en cuyo
caso, deberán comunicar esta situación por escrito a los demás empleadores, a
fin de que ellos ya no les den el subsidio para el empleo correspondiente.
II. Las
personas obligadas a efectuar el cálculo anual del impuesto sobre la renta a
que se refiere el artículo 97 de la Ley del Impuesto sobre la Renta, por los
conceptos a que se refieren el primer párrafo o la fracción I del artículo 94
de la misma Ley, que hubieran aplicado el subsidio para el empleo en los
términos de la fracción anterior, estarán a lo siguiente:
a) El impuesto
anual se determinará disminuyendo de la totalidad de los ingresos obtenidos en
un año de calendario, por los conceptos previstos en el primer párrafo o la
fracción I del artículo 94 de la Ley del Impuesto sobre la Renta, el impuesto
local a los ingresos por salarios y en general por la prestación de un servicio
personal subordinado que hubieran retenido en el año calendario, al resultado
obtenido se le aplicará la tarifa del artículo 152 de la misma Ley. El impuesto
a cargo del contribuyente se disminuirá con la suma de las cantidades que por
concepto de subsidio para el empleo mensual le correspondió al contribuyente.
b) En el caso de
que el impuesto determinado conforme al artículo 152 de la Ley del Impuesto
sobre la Renta exceda de la suma de las cantidades que por concepto de subsidio
para el empleo mensual le correspondió al contribuyente, el retenedor
considerará como impuesto a cargo del contribuyente el excedente que resulte.
Contra el impuesto que resulte a cargo será acreditable el importe de los pagos
provisionales efectuados.
c) En el caso de
que el impuesto determinado conforme al artículo 152 de la Ley del Impuesto
sobre la Renta sea menor a la suma de las cantidades que por concepto de
subsidio para el empleo mensual le correspondió al contribuyente, no habrá
impuesto a cargo del contribuyente ni se entregará cantidad alguna a este
último por concepto de subsidio para el empleo.
Los
contribuyentes a que se refieren el primer párrafo y la fracción I del artículo
94 de la Ley del Impuesto sobre la Renta, que se encuentren obligados a
presentar declaración anual en los términos de la citada Ley, acreditarán
contra el impuesto del ejercicio determinado conforme al artículo 152 de la
misma Ley el monto que por concepto de subsidio para el empleo se determinó
conforme a la fracción anterior durante el ejercicio fiscal correspondiente,
previsto en el comprobante fiscal que para tales efectos les sea proporcionado
por el patrón, sin exceder del monto del impuesto del ejercicio determinado
conforme al citado artículo 152.
En el
caso de que el contribuyente haya tenido durante el ejercicio dos o más
patrones y cualquiera de ellos le haya entregado diferencias de subsidio para
el empleo en los términos del segundo párrafo de la fracción anterior, esta
cantidad se deberá disminuir del importe de las retenciones efectuadas
acreditables en dicho ejercicio, hasta por el importe de las mismas.
III. Quienes
realicen los pagos a los contribuyentes que tengan derecho al subsidio para el
empleo sólo podrán acreditar contra el impuesto sobre la renta a su cargo o del
retenido a terceros, las cantidades que entreguen a los contribuyentes por
dicho concepto, cuando cumplan con los siguientes requisitos:
a) Lleven los registros
de los pagos por los ingresos percibidos por los contribuyentes a que se
refieren el primer párrafo o la fracción I del artículo 94 de la Ley del
Impuesto sobre la Renta, identificando en ellos, en forma individualizada, a
cada uno de los contribuyentes a los que se les realicen dichos pagos.
b) Conserven los
comprobantes fiscales en los que se demuestre el monto de los ingresos pagados
a los contribuyentes, el impuesto sobre la renta que, en su caso, se haya
retenido y las diferencias que resulten a favor del contribuyente con motivo
del subsidio para el empleo.
c) Cumplan con
las obligaciones previstas en las fracciones I, II y V del artículo 99 de la
Ley del Impuesto sobre la Renta.
d) Conserven los
escritos que les presenten los contribuyentes en los términos del sexto párrafo
de la fracción I de este precepto, en su caso.
e) Presenten
ante las oficinas autorizadas, a más tardar el 15 de febrero de cada año,
declaración proporcionando información de las cantidades que paguen por el
subsidio para el empleo en el ejercicio inmediato anterior, identificando por
cada trabajador la totalidad de los ingresos obtenidos durante el ejercicio de
que se trate, que sirvió de base para determinar el subsidio para el empleo,
así como el monto de este último conforme a las reglas generales que al efecto
expida el Servicio de Administración Tributaria.
f) Paguen las
aportaciones de seguridad social a su cargo por los trabajadores que gocen del
subsidio para el empleo y las mencionadas en el artículo 93, fracción X, de la
Ley del Impuesto sobre la Renta, que correspondan por los ingresos de que se
trate.
g) Anoten en los
comprobantes fiscales que entreguen a sus trabajadores, por los ingresos por
prestaciones por servicios personales subordinados, el monto del subsidio para
el empleo identificándolo de manera expresa y por separado.
h) Proporcionen
a las personas que les hubieran prestado servicios personales subordinados el
comprobante fiscal del monto de subsidio para el empleo que se determinó
durante el ejercicio fiscal correspondiente.
i) Entreguen, en
su caso, en efectivo el subsidio para el empleo, en los casos a que se refiere
el segundo párrafo de la fracción I de este precepto.
ARTÍCULOS
DÉCIMO PRIMERO A DÉCIMO TERCERO.
……….
Primero. El presente Decreto entrará en vigor el 1 de
enero de 2014.
Segundo. A
la entrada en vigor del presente Decreto quedarán abrogadas la Ley del Impuesto
Sobre la Renta, publicada en el Diario Oficial de la Federación el 1 de enero
de 2002; la Ley del Impuesto Empresarial a Tasa Única, y la Ley del Impuesto a
los Depósitos en Efectivo.
México, D.F., a 31 de octubre de 2013.- Sen. Raúl Cervantes
Andrade, Presidente.- Dip. Ricardo Anaya Cortés, Presidente.- Sen. Lilia Guadalupe Merodio
Reza, Secretaria.- Dip. Magdalena del Socorro Núñez Monreal, Secretaria.- Rúbricas."
En cumplimiento de lo dispuesto por la fracción I del
Artículo 89 de la Constitución Política de los Estados Unidos Mexicanos, y para
su debida publicación y observancia, expido el presente Decreto en la
Residencia del Poder Ejecutivo Federal, en la Ciudad de México, Distrito
Federal, a seis de diciembre de dos mil trece.- Enrique Peña Nieto.- Rúbrica.- El Secretario de Gobernación, Miguel Ángel Osorio Chong.-
Rúbrica.
ARTÍCULOS TRANSITORIOS DE DECRETOS
DE REFORMA
DECRETO
por el que se reforman, adicionan y derogan diversas disposiciones de la Ley
del Impuesto sobre la Renta, de la Ley del Impuesto Especial sobre Producción y
Servicios, del Código Fiscal de la Federación y de la Ley Federal de Presupuesto
y Responsabilidad Hacendaria.
Publicado
en el Diario Oficial de la Federación el 18 de noviembre de 2015
LEY DEL IMPUESTO SOBRE
LA RENTA
ARTÍCULO
PRIMERO.- Se reforman los artículos 7, tercero y
último párrafos; 8, último párrafo; 27, fracciones VII, primer párrafo, VIII,
primer párrafo y XI, quinto y séptimo párrafos; 28, fracción XXVII, sexto
párrafo; 29, fracciones II primer párrafo y III; 36, fracción II, primer
párrafo; 45, primer párrafo; 50, segundo párrafo; 54, fracciones IV y VI; 55, fracción
I, primer párrafo; 62, fracción II; 72, primer párrafo; 74, décimo primero y
décimo segundo párrafos; 78, sexto párrafo; 79, segundo párrafo; 80, cuarto
párrafo; 81, último párrafo; 85, primer párrafo; 86, fracción V, y tercer
párrafo del artículo; 87; 88, primero, segundo, tercero, quinto, décimo y
décimo primero párrafos; 89, primer párrafo, fracción I y último párrafo del
artículo; 93, fracción XIX, inciso a), segundo párrafo; 111, tercer párrafo,
actual cuarto párrafo, fracción I, y los actuales séptimo y décimo párrafos del
artículo; 112, fracciones V y VIII y tercer párrafo del artículo; 124, quinto
párrafo; 126, cuarto párrafo; 142, fracción XVI, primer párrafo; 148, fracción
XI; 151, fracción V, segundo párrafo y último párrafo del artículo; 161, décimo
segundo y décimo tercero párrafos; 163, tercer párrafo; 166, segundo, tercero,
cuarto, séptimo, fracción II, inciso a) y décimo tercer párrafos; 171, segundo
párrafo; 185, primer párrafo, fracciones I, segundo párrafo, y II, y segundo
párrafo del artículo; 187, fracciones I y III; 192, fracciones I, III y V; se adicionan los artículos 72, con un
segundo y tercer párrafos, pasando los actuales segundo a sexto párrafos a ser
cuarto a octavo párrafos; 74-A; 76-A; 77-A; 111, con un cuarto y décimo segundo
párrafos, pasando los actuales cuarto a décimo párrafos a ser quinto a décimo
primer párrafos, y los actuales décimo primero a décimo tercero a ser décimo
tercero a décimo quinto párrafos; 112, fracción IV, con un segundo párrafo;
113, con un segundo párrafo, y 151, fracción I, con un tercero, cuarto y quinto
párrafos, y se deroga el artículo 27, fracción XI, cuarto y último párrafos de la
Ley del Impuesto sobre la Renta, para quedar como sigue:
………
DISPOSICIONES TRANSITORIAS DE LA LEY DEL
IMPUESTO SOBRE LA RENTA
ARTÍCULO
SEGUNDO.- En relación con la
Ley del Impuesto sobre la Renta a que se refiere el Artículo Primero de este
Decreto, se estará a lo siguiente:
I. Lo
dispuesto en el décimo primer párrafo del artículo 74 de la Ley del Impuesto
sobre la Renta respecto de los ejidos y comunidades, será aplicable desde el 1
de enero de 2014. Los ejidos y comunidades, que hubieran pagado el impuesto
sobre la renta del ejercicio fiscal de 2014, podrán aplicar lo dispuesto en el
mencionado precepto, y en caso de obtener algún saldo a favor el mismo podrá
ser compensado en términos del artículo 23 del Código Fiscal de la Federación,
sin que dicho beneficio dé lugar a devolución alguna.
II. Lo
dispuesto en el artículo 74-A de la Ley del Impuesto sobre la Renta, será
aplicable desde el 1 de enero de 2014. Los contribuyentes que hubieran pagado
el impuesto sobre la renta del ejercicio fiscal de 2014, podrán aplicar lo
dispuesto en el mencionado artículo 74-A, y en caso de obtener algún saldo a
favor el mismo podrá ser compensado en términos del artículo 23 del Código
Fiscal de la Federación, sin que dicho beneficio dé lugar a devolución alguna.
III. Para los
efectos de la obligación establecida en el artículo 76-A de la Ley del Impuesto
sobre la Renta, se deberán presentar las declaraciones informativas
correspondientes al ejercicio fiscal de 2016, a más tardar el 31 de diciembre
de 2017.
IV. Para los
efectos del artículo 77-A de la Ley del Impuesto sobre la Renta, el saldo de la
cuenta de utilidad por inversión en energías renovables se actualizará en
términos del artículo 77, segundo párrafo de dicha Ley. Para efectos de la
primera actualización, se considerará como el mes en que se efectuó la última
actualización, el mes en que se constituya dicha cuenta.
V. Para los
efectos de lo dispuesto en el décimo segundo párrafo del artículo 111 de la Ley
del Impuesto sobre la Renta, el mes más antiguo del periodo que se considerará,
será el mes de diciembre de 2013.
VI. Para efectos
de lo dispuesto en la fracción I, inciso a), numeral 2 del artículo 166 de la
Ley del Impuesto sobre la Renta, los intereses podrán estar sujetos a una tasa
del 4.9%, siempre que el beneficiario efectivo de esos intereses sea residente
de un país con el que México tenga en vigor un tratado para evitar la doble
tributación y se cumplan los requisitos previstos en dicho tratado para aplicar
las tasas que en el mismo se prevean para este tipo de intereses.
VII. Para efectos
del artículo 185, fracción II de la Ley del Impuesto sobre la Renta, los
contribuyentes que hubieran restado el importe de los depósitos, pagos o
adquisiciones a los que hace referencia el citado artículo durante los años de
2014 o 2015, deberán considerar como ingresos acumulables en su declaración,
correspondiente a los años calendario en que sean recibidas o retiradas de su
cuenta personal especial para el ahorro, del contrato de seguro de que se trate
o de la sociedad o fondo de inversión de la que se hayan adquirido las
acciones, aquéllas cantidades que se hubieran considerado como deducibles en
términos del artículo 151, último párrafo de la citada Ley vigente durante los
ejercicios 2014 y 2015, al momento del depósito, pago o adquisición
correspondiente.
VIII. Los
contribuyentes que dejaron de consolidar con motivo de la entrada en vigor de
la Ley del Impuesto sobre la Renta a partir del 1 de enero de 2014 y que
calcularon el impuesto aplicando lo dispuesto en el artículo 71 de la Ley del
Impuesto sobre la Renta o en la regla I.3.6.4. de la Resolución Miscelánea Fiscal,
vigentes al 31 de diciembre de 2013, así como para los que aplicaron el
procedimiento establecido en el Artículo Noveno, fracción XV, inciso a),
numeral 1, subinciso ii) o
fracción XVIII, inciso a) de las Disposiciones Transitorias de la Ley del
Impuesto sobre la Renta vigente a partir del 1 de enero de 2014, en relación
con el artículo 71-A, fracción I, de la Ley del Impuesto sobre la Renta en
vigor hasta el 31 de diciembre de 2013, podrán optar por aplicar un crédito
contra el 50% del impuesto sobre la renta diferido determinado por concepto de
pérdidas fiscales que con motivo de la desconsolidación
se encuentre pendiente de enterar al 1 de enero de 2016.
El
crédito a que se refiere el párrafo anterior se determinará multiplicando el
factor de 0.15 por el monto de las pérdidas fiscales individuales actualizadas
de ejercicios anteriores de las sociedades que hubieran tenido el carácter de
controladas o de controladoras, que se hubieren considerado en la determinación
del impuesto sobre la renta por desconsolidación y
que al 1 de enero de 2016 la sociedad que las generó tenga pendientes de
disminuir conforme a lo dispuesto en el artículo 57 de la Ley del Impuesto
sobre la Renta vigente, siempre que:
a) A la fecha de
aplicación del crédito, la sociedad que tuvo el carácter de controladora
mantenga en la sociedad controlada de que se trate una participación
consolidable igual o superior a la que tuvo al momento de la desconsolidación.
b) La pérdida
fiscal de ejercicios anteriores pendiente de disminuir por la sociedad que la
generó se considere en la misma participación consolidable en que se utilizó al
momento de la desconsolidación.
Para la
determinación de dicho crédito no se considerarán las pérdidas por enajenación de
acciones a que se refiere la fracción IX de este artículo.
El
importe de las pérdidas fiscales que se consideren para el cálculo del acreditamiento se actualizará multiplicándolo por el factor
de actualización correspondiente al periodo comprendido desde el mes en que se
actualizó por última vez y hasta el último mes de la primera mitad del
ejercicio inmediato anterior a aquél en que se aplicará.
Las
pérdidas fiscales consideradas en la determinación del crédito mencionado en
este artículo ya no podrán disminuirse contra las utilidades fiscales del
ejercicio de 2016 y posteriores o contra cualquier otro concepto que establezca
la Ley del Impuesto sobre la Renta, por ningún contribuyente, ya sea que las
generó o se le transmitan por escisión u otro acto jurídico.
El 50%
remanente del impuesto sobre la renta diferido se deberá seguir enterando
conforme al esquema de pagos que hubiera elegido la sociedad que tuvo el
carácter de controladora en términos de las fracciones XV o XVIII del citado
Artículo Noveno.
IX. Las
sociedades que tuvieron el carácter de controladoras, que hubieran restado
pérdidas por la enajenación de acciones de sus sociedades controladas, en la
determinación del resultado o pérdida fiscal consolidado de cualquiera de los
ejercicios del 2008 a 2013, y que no hubieran considerado dichas pérdidas en
términos del artículo 71 de la Ley del Impuesto sobre la Renta o en la regla
I.3.6.4. de la Resolución Miscelánea Fiscal, vigentes al 31 de diciembre del
2013, así como lo establecido en el Artículo Noveno de las Disposiciones
Transitorias de la Ley del Impuesto sobre la Renta en vigor a partir del 1 de
enero de 2014, fracción XV, inciso a), numeral 1, subinciso
iii) o fracción XVIII, inciso a) en relación con el
artículo 71-A, fracción I de la Ley del Impuesto sobre la Renta en vigor hasta
el 31 de diciembre de 2013, según sea el caso, podrán optar por pagar el
impuesto diferido que les resulte a cargo al corregir dicha situación, en 10
pagos conforme al esquema que se señala en el presente artículo.
Las
sociedades que efectuaron la determinación del impuesto diferido y que hayan
efectuado los enteros correspondientes, respecto del saldo pendiente de pago
que tengan al 1 de enero de 2016, podrán optar por continuar su pago en
parcialidades iguales ajustándose a las fechas establecidas en el esquema de
pagos referido en esta fracción.
Las
diferencias de impuesto a cargo deberán constar en declaración complementaria
del ejercicio que corresponda, misma que deberá presentarse a más tardar en el
mes de marzo de 2016.
El
esquema de pagos a que se refiere esta fracción, será el siguiente:
a) El primer y
segundo pagos deberán enterarse a más tardar el 31 de marzo de 2016 e
integrarse cada uno con el 10% de la suma total de las diferencias del impuesto
sobre la renta diferido a que se refiere el primer párrafo de esta fracción,
con actualización y recargos.
Tratándose
del primer pago, la actualización a que se refiere el párrafo anterior se
calculará con el factor de actualización que corresponda al periodo comprendido
desde el mes de mayo de 2014 y hasta el mes inmediato anterior a aquél en el
que se realice el pago de que se trate. Los recargos se computarán a partir del
mes de junio de 2014 y hasta el mes de marzo de 2016.
El segundo
pago se actualizará con el factor de actualización que corresponda al periodo
comprendido desde el mes de abril de 2015 y hasta el mes inmediato anterior a
aquél en el que se realice el pago de que se trate. Los recargos se computarán
a partir del mes de mayo de 2015 y hasta el mes de marzo de 2016.
b) El tercer pago
correspondiente al 10%, a más tardar el 31 de marzo de 2016.
c) El cuarto pago
correspondiente al 10%, a más tardar el 31 de marzo de 2017.
d) El quinto pago
correspondiente al 10%, a más tardar el 31 de marzo de 2018.
e) El sexto pago
correspondiente al 10%, a más tardar el 31 de marzo de 2019.
f) El séptimo
pago correspondiente al 10%, a más tardar el 31 de marzo de 2020.
g) El octavo pago
correspondiente al 10%, a más tardar el 31 de marzo de 2021.
h) El noveno pago
correspondiente al 10%, a más tardar el 31 de marzo de 2022.
i) El décimo pago
correspondiente al 10%, a más tardar el 31 de marzo de 2023.
Los
pagos a que se refieren los incisos c) al i) se deberán enterar actualizados
con el factor que corresponda al periodo comprendido desde el mes de abril de
2016 y hasta el mes inmediato anterior a aquél en que se realice el pago de que
se trate.
La
aplicación de este esquema de pagos quedará condicionada a que la sociedad que
tuvo el carácter de controladora haya determinado correctamente el costo
promedio por acción de conformidad con los artículos 24 y 25 de la Ley del
Impuesto sobre la Renta vigente hasta el 31 de diciembre de 2013, o bien, de no
haberlo hecho corrija su situación fiscal antes de aplicar este esquema de
pagos y se desista de los medios de impugnación interpuestos contra las
reformas en materia de consolidación fiscal.
En caso
de que la sociedad que tenía el carácter de controladora disminuya la pérdida
por enajenación de acciones en cualquier ejercicio posterior al de 2015, en
términos del artículo 28, fracción XVII de la Ley del Impuesto sobre la Renta
vigente a partir del 1 de enero del 2014, deberá liquidar la totalidad del
impuesto diferido pendiente de pago en la fecha que se tenga obligación de realizar
el pago parcial inmediato posterior.
La
opción de pago citada en esta fracción deberá ejercerse a más tardar el mes de
marzo del 2016 y para tal efecto los contribuyentes deberán presentar un aviso
en escrito libre ante el Servicio de Administración Tributaria a más tardar el
mes de enero del 2016.
X. Para
efectos de lo dispuesto en el Artículo Noveno, fracción XV, inciso a), numeral
2, y fracción XVIII de las Disposiciones Transitorias de la Ley del Impuesto
sobre la Renta publicada en el Diario Oficial de la Federación del 11 de
diciembre de 2013, en relación con los artículos 71-A y 78 de la Ley del
Impuesto sobre la Renta en vigor hasta el 31 de diciembre del 2013, las
sociedades que tuvieron el carácter de controladoras podrán acreditar el impuesto
sobre la renta que hubieren causado con motivo de la desconsolidación
a partir del 1 de enero de 2014, por concepto de dividendos o utilidades en
efectivo o en bienes, que las sociedades que consolidaban se hubieran pagado
entre sí y que no hubieren provenido de la cuenta de utilidad fiscal neta o de
la cuenta de utilidad fiscal neta reinvertida; contra el impuesto diferido
causado por este mismo concepto que se encuentre pendiente de entero al 1 de
enero de 2016 y hasta por el importe de este último. Dicho acreditamiento
no dará lugar a devolución o compensación alguna.
La
opción prevista en esta fracción quedará sujeta a que la sociedad que perciba
el dividendo o utilidad a que se refiere el párrafo anterior, no incremente su
cuenta de utilidad fiscal neta con el importe de dichos dividendos o utilidades
y la que tuvo el carácter de controladora tampoco incremente el saldo de la
cuenta de utilidad fiscal neta consolidada que hubiera tenido al 31 de
diciembre de 2013.
XI. Lo previsto
en las fracciones VIII, IX y X de este artículo, será aplicable para aquellos
contribuyentes que se encuentren en el supuesto previsto en la fracción XVI del
referido Artículo Noveno de las Disposiciones Transitorias de la Ley del
Impuesto sobre la Renta, publicada en el Diario Oficial de la Federación del 11
de diciembre de 2013, para lo cual se considerará el impuesto sobre la renta
diferido que con motivo de la desconsolidación tengan
pendiente de enterar al 1 de enero del año inmediato siguiente a aquél en que
debían desconsolidar. Asimismo, las pérdidas fiscales
a que se refiere el segundo párrafo de la fracción VIII, serán las pendientes
de disminuir a la misma fecha.
XII. Lo dispuesto
en la fracción VIII será aplicable siempre que:
a) La sociedad que
hubiera tenido el carácter de controladora presente aviso utilizando la forma
oficial que para tales efectos dé a conocer el Servicio de Administración
Tributaria mediante reglas de carácter general.
b) La sociedad que
hubiera tenido el carácter de controladora o cualquier sociedad que integraba
el grupo de consolidación hubiere pagado el impuesto diferido conforme a las
disposiciones fiscales aplicables por las pérdidas fiscales derivado de
fusiones, escisiones o liquidación de sociedades.
c) Tanto las
sociedades que hubieran tenido el carácter de controladora, así como de las
controladas que integraban el grupo de consolidación, al 31 de marzo de 2016 se
encuentren al corriente en el cumplimiento de sus obligaciones fiscales en su
carácter de contribuyente y/o retenedor al 1 de enero de 2016.
d) Durante un
periodo obligatorio de cinco años, las sociedades mencionadas en los incisos
anteriores que integraron el grupo de consolidación al 31 de diciembre de 2013
colaboren trimestralmente con la autoridad, participando en el programa de
verificación en tiempo real que tiene implementado la Administración General de
Grandes Contribuyentes del Servicio de Administración Tributaria.
e) No participen
en el Régimen Opcional de Grupos de Sociedades.
f) Se desistan de
los medios de impugnación interpuestos en materia de consolidación fiscal.
g) La sociedad que
hubiera tenido el carácter de controladora en la determinación del impuesto
diferido de los ejercicios fiscales de 2008 a 2013, hubiere considerado el
importe de las pérdidas en enajenación de acciones emitidas por sus sociedades
controladas que hayan sido disminuidas en la determinación de su resultado o
pérdida fiscal consolidados correspondientes a los mismos ejercicios, o bien,
corrija su situación fiscal aplicando lo dispuesto en la fracción IX de este
artículo.
h) La sociedad que
hubiera tenido el carácter de controladora y aquéllas que hubieran tenido el
carácter de controladas respecto de las cuales se consideraron sus pérdidas
fiscales para determinar el crédito a que se refiere la fracción VIII de este
artículo, presenten declaración anual complementaria del ejercicio 2015, en la
cual disminuyan el saldo de las pérdidas fiscales de ejercicios anteriores
pendiente de aplicar con el monto de las pérdidas que se utilizaron en los
términos de la fracción mencionada; así mismo, la sociedad controladora deberá
cancelar en sus registros contables el impuesto sobre la renta diferido de las
pérdidas fiscales utilizadas para pagarlo.
XIII. Las personas
físicas y morales residentes en México y las residentes en el extranjero con
establecimiento permanente en el país que hayan obtenido ingresos provenientes
de inversiones directas e indirectas, que hayan mantenido en el extranjero
hasta el 31 de diciembre de 2014, podrán optar por pagar, conforme a lo
establecido en esta fracción, el impuesto a que están obligados de acuerdo a lo
previsto en esta Ley.
Solamente
quedarán comprendidos dentro del beneficio a que se refiere el párrafo
anterior, los ingresos y las inversiones mantenidas en el extranjero que se
retornen al país, siempre que cumplan con lo siguiente:
a) Los ingresos
derivados de inversiones mantenidas en el extranjero por los que se podrá
ejercer la opción prevista en esta fracción, son los gravados
en los términos de los Títulos II, IV y VI de esta Ley, a excepción de aquéllos
que correspondan a conceptos que hayan sido deducidos por un residente en
territorio nacional o un residente en el extranjero con establecimiento
permanente en el país.
b) Se pague el
impuesto sobre la renta que corresponda a los ingresos provenientes de
inversiones mantenidas en el extranjero, dentro de los quince días siguientes a
la fecha en que se retornen al país los recursos provenientes del extranjero.
Los
contribuyentes que paguen el impuesto sobre la renta en los términos de este
inciso, no pagarán las multas y recargos correspondientes y podrán efectuar el acreditamiento del impuesto sobre la renta pagado en el
extranjero en los términos del artículo 5 de esta Ley por los citados ingresos
que retornen e inviertan en el país.
c) Cuando las
inversiones mantenidas en el extranjero de las cuales derivan los ingresos a
que se refiere esta fracción constituyan conceptos por los que se debió haber
pagado el impuesto sobre la renta en México, se deberá comprobar el pago
correspondiente. En el caso de que dicho pago no se hubiere efectuado en su
oportunidad, los contribuyentes podrán optar por pagar el impuesto en los
términos del inciso b) de esta fracción y cumplir con los requisitos establecidos
en esta fracción.
d) Los ingresos
y las inversiones mantenidas en el extranjero que generaron dichos ingresos se
retornen al país en un plazo no mayor a 6 meses contados a partir de la entrada
en vigor de este artículo y dichos recursos se inviertan durante el ejercicio
fiscal de 2016 conforme a lo dispuesto en esta fracción y a las reglas de
carácter general que emita el Servicio de Administración Tributaria. Para estos
efectos, los recursos se entenderán retornados al territorio nacional en la fecha
en que se depositen o inviertan en una institución de crédito o casa de bolsa
del país.
e) El retorno de
los recursos a que se refiere esta fracción se realice a través de operaciones
realizadas entre instituciones de crédito o casas de bolsa del país y del
extranjero, para lo cual deberá de coincidir el remitente con el beneficiario
de los recursos o cuando estos sean partes relacionadas en términos de la
legislación fiscal del país.
f) A los
contribuyentes que ejerzan la opción prevista en esta fracción, no se les
hubiera iniciado facultades de comprobación conforme al artículo 42, fracciones
II, III, IV y IX del Código Fiscal de la Federación, en relación con los
ingresos a que se refiere el primer párrafo de esta fracción antes de la fecha
prevista en el inciso b) de esta fracción, o bien, que no hayan interpuesto un
medio de defensa o cualquier otro procedimiento jurisdiccional, relativo al
régimen fiscal de los ingresos a los que se refiere el citado primer párrafo,
excepto si se desisten del medio de defensa o procedimiento jurisdiccional.
Los
contribuyentes que cumplan con lo dispuesto en esta fracción, tendrán por
cumplidas las obligaciones fiscales formales relacionadas con los ingresos a
que se refiere el mismo.
Para
los efectos de esta fracción, se entiende por inversiones indirectas las que se
realicen a través de entidades o figuras jurídicas en las que los
contribuyentes participen directa o indirectamente, en la proporción que les
corresponda por su participación en dichas entidades o figuras, así como las
que se realicen en entidades o figuras extranjeras transparentes fiscalmente a
que se refiere el quinto párrafo del artículo 176 de esta Ley.
Se
considera que las personas morales residentes en México y las residentes en el
extranjero con establecimiento permanente en territorio nacional invierten los
recursos en el país, cuando se destinen a cualquiera de los siguientes fines:
1. Adquisición de
bienes de activo fijo que utilicen los contribuyentes para la realización de
sus actividades en el país, sin que se puedan enajenar por un periodo de tres
años contados a partir de la fecha de su adquisición.
2. Investigación y
desarrollo de tecnología. Para efectos de este numeral, se consideran
inversiones en investigación y desarrollo de tecnología las inversiones
destinadas directa y exclusivamente a la ejecución de proyectos propios del
contribuyente que se encuentren dirigidos al desarrollo de productos,
materiales o procesos de producción, que representen un avance científico o
tecnológico.
3. El pago de
pasivos que hayan contraído con partes independientes con anterioridad a la
entrada en vigor del presente artículo.
La
persona moral deberá acreditar que la inversión incrementó el monto de sus
inversiones totales en el país. Asimismo, la cantidad que resulte de sumar el
monto total de las inversiones de la persona moral en el país y el monto de lo
retornado para su inversión, no deberá disminuirse por un periodo de tres años.
Se
considera que las personas físicas residentes en territorio nacional y las
residentes en el extranjero con establecimiento permanente en México invierten
recursos en el país, cuando la inversión se realice a través de instituciones
que componen el sistema financiero de México en instrumentos financieros emitidos
por residentes en el país o en acciones emitidas por personas morales
residentes en México, siempre que dicha inversión se mantenga por un periodo
mínimo de tres años, contados a partir de la fecha en que se efectúe la misma y
el contribuyente acredite que esta inversión incrementó el monto de sus
inversiones financieras totales en el país. Asimismo, la cantidad que resulte
de sumar el monto total de las inversiones financieras del contribuyente en el
país y el monto de lo retornado para su inversión, no deberá disminuirse por el
periodo referido en este párrafo.
También
se considera que las personas físicas invierten en el país cuando destinen
estos recursos a cualquiera de los fines mencionados en los numerales 1 y 2 de
esta fracción.
Los
contribuyentes que no cumplan con cualquiera de las condiciones previstas en
esta fracción o no retornen para su inversión en el país los recursos referidos
en esta fracción, estarán sujetos a las disposiciones legales que procedan.
Para
los efectos de esta fracción, se aplicará el tipo de cambio del día en que los
recursos de que se trate se retornen a territorio nacional, de conformidad con
lo establecido por el Código Fiscal de la Federación.
Las
personas que apliquen la opción prevista en esta fracción deberán estar en
posibilidad de demostrar que los recursos de que se trate se retornaron del
extranjero y que el pago del impuesto respectivo se efectuó en los términos
previstos en esta fracción y deberán conservar los comprobantes de los
depósitos o inversiones realizados en territorio nacional, así como del pago
del impuesto correspondiente, durante un plazo de cinco años, contado a partir
de la fecha del pago de dicho impuesto, de conformidad con lo previsto en el
artículo 30 del Código Fiscal de la Federación.
Las
personas morales que opten por aplicar los beneficios establecidos en esta
fracción, deberán calcular la utilidad fiscal que corresponda al monto total de
los recursos repatriados de conformidad con esta Ley. La utilidad fiscal así
determinada se disminuirá con el impuesto pagado, en los términos de esta
fracción, por el total de los recursos repatriados. El resultado obtenido se
podrá adicionar al saldo de la cuenta de utilidad fiscal neta a que se refiere
el artículo 77 de esta Ley.
La
utilidad fiscal determinada conforme a lo dispuesto en el párrafo anterior
deberá considerarse para determinar la renta gravable que sirva de base para la
determinación de la participación de los trabajadores en las utilidades de las
empresas.
Los
recursos que se retornen a territorio nacional en los términos de esta fracción
no se considerarán para los efectos del artículo 91 de esta Ley.
Lo
dispuesto en esta fracción no será aplicable cuando se trate de ingresos
producto de una actividad ilícita o cuando puedan ser utilizados para este tipo
de actividades. Se entenderá por ingresos producto de una actividad ilícita lo
señalado por el artículo 400-Bis del Código Penal Federal.
El
Servicio de Administración Tributaria podrá emitir las reglas de carácter general
necesarias para la debida y correcta aplicación de esta fracción, las cuales
incluirán aquéllas para prevenir que los recursos provengan o puedan ser
utilizados para actividades ilícitas.
XIV. Lo dispuesto en
el artículo 72 de la Ley del Impuesto sobre la Renta respecto de los
integrantes de los coordinados o las personas morales dedicadas exclusivamente
al autotransporte terrestre de carga o de pasajeros, será aplicable desde el 1
de enero de 2014.
Para
efectos del párrafo anterior, los contribuyentes deberán presentar a más tardar
el 31 de marzo de 2016 el aviso de actualización de actividades económicas y
obligaciones con efectos retroactivos, así como, en su caso, las declaraciones
complementarias de pago provisional y anual correspondientes a los ejercicios
2014 y 2015.
Los
contribuyentes que hubieran pagado el impuesto sobre la renta correspondiente a
los ejercicios fiscales de 2014 y 2015 dentro del régimen general de las
personas morales y que presenten las declaraciones complementarias a que se
refiere el párrafo anterior, en caso de obtener algún saldo a favor, el mismo
podrá ser compensado en términos del artículo 23 del Código Fiscal de la
Federación, sin que dicho beneficio dé lugar a devolución alguna.
XV. Lo dispuesto en
el sexto párrafo de la fracción XXVII del artículo 28 de la Ley del Impuesto
sobre la Renta, respecto a las deudas contraídas para la construcción,
operación o mantenimiento de infraestructura productiva para la generación de
energía eléctrica, será aplicable desde el 1 de enero de 2014. Los
contribuyentes que hubieran pagado el impuesto sobre la renta del ejercicio
fiscal de 2014, considerando lo dispuesto en la fracción XXVII del artículo 28
de la Ley del Impuesto sobre la Renta, vigente hasta el 31 de diciembre de 2015,
podrán aplicar lo dispuesto en el mencionado precepto, y en caso de obtener
algún saldo a favor el mismo podrá ser compensado en términos del artículo 23
del Código Fiscal de la Federación, sin que dicho beneficio dé lugar a
devolución alguna.
XVI. Para los efectos
de los artículos 111, sexto párrafo y 112, fracciones III, IV, VI y VIII de
esta Ley, 5-E de la Ley del Impuesto al Valor Agregado y 5-D de la Ley del
Impuesto Especial sobre Producción y Servicios, el Servicio de Administración
Tributaría deberá expedir durante el primer bimestre de 2016, mediante reglas
de carácter general, un procedimiento de retención de impuestos que pueda ser
aplicado por parte de las empresas de participación estatal mayoritaria de la
Administración Pública Federal por la distribución de sus productos que
correspondan a la canasta básica que beneficie exclusivamente a los
beneficiarios de programas federales, realizada por personas físicas que estén
dadas de alta en el Régimen de Incorporación Fiscal.
Los
contribuyentes del RIF a los que se les hubiera efectuado la retención a que se
refiere el párrafo anterior, considerarán que cumplen con las obligaciones
establecidas en las fracciones III, IV, VI y VIII del artículo 112 de esta Ley.
El
comprobante fiscal de la empresa de participación estatal mayoritaria deberá
señalar expresamente el importe de la operación que corresponde al
contribuyente del régimen de incorporación fiscal por la entrega del bien a los
beneficiarios del programa, el monto del costo de los bienes que hubiese adquirido de la empresa de participación
estatal mayoritaria y la diferencia que será la base para determinar la
retención. La retención será el equivalente al impuesto que le corresponda en
los términos del artículo 111 de esta Ley, la cual deberá ser enterada por la
empresa de participación estatal mayoritaria en los plazos establecidos en la
fracción VI del artículo 112 de esta Ley.
La
empresa de participación estatal mayoritaria deberá presentar a más tardar el
15 de febrero del ejercicio inmediato siguiente declaración informativa en
donde informe la utilidad bimestral, el impuesto correspondiente, la retención
efectuada, de cada una de las personas a las que les hubiera efectuado la
retención, así como su Registro Federal de Contribuyentes, debiendo entregar la
constancia correspondiente conforme al formato que establezca el Servicio de
Administración Tributaria mediante reglas de carácter general.
XVII. El Servicio de
Administración Tributaria, deberá emitir reglas de carácter general, para
instrumentar un esquema que permita que los ejidos, comunidades y sus
integrantes se regularicen en el pago de los impuestos correspondientes, así
como en el cumplimiento de sus obligaciones formales, por los ingresos que
reciban por parte de personas morales o físicas, que deriven de actos jurídicos
que dichas comunidades o sus integrantes hayan celebrado para permitir a otra
persona física o moral, el uso, goce, o afectación de sus terrenos, bienes o
derechos, incluyendo derechos reales, ejidales o comunales de los mismos.
XVIII. El Servicio de
Administración Tributaria implementará programas de revisión continua para
evaluar el funcionamiento de los sistemas electrónicos disponibles en la página
de Internet de dicho órgano administrativo desconcentrado, así como de los
servicios de atención al contribuyente que se proporcionen en medios distintos
a Internet, a fin de mejorar la atención y fomentar de manera sencilla y
expedita el apoyo para lograr el adecuado cumplimiento de las obligaciones
fiscales de los contribuyentes que tributen en el Régimen de Incorporación
Fiscal previsto en la Sección II, Capítulo II del Título IV de la Ley del
Impuesto sobre la Renta.
DISPOSICIONES DE VIGENCIA TEMPORAL DE LA LEY
DEL IMPUESTO SOBRE LA RENTA
ARTÍCULO
TERCERO.- Para efectos de la
Ley del Impuesto sobre la Renta se aplicarán las siguientes disposiciones:
I. Se otorga
un estímulo fiscal a los contribuyentes personas físicas que se encuentren
sujetos al pago del impuesto previsto en el artículo 140, segundo párrafo de
esta Ley, derivado de los dividendos o utilidades generados en los ejercicios
2014, 2015 y 2016, en tanto dichos dividendos o utilidades sean reinvertidos
por la persona moral que los generó.
El
estímulo a que se refiere esta fracción consiste en un crédito fiscal
equivalente al monto que resulte de aplicar al dividendo o utilidad que se
distribuya, el porcentaje que corresponda conforme al año de distribución
conforme a la siguiente tabla. El crédito fiscal que se determine será
acreditable únicamente contra el impuesto sobre la renta que se deba retener y
enterar en los términos del segundo párrafo del artículo 140 de esta Ley.
|
Año
de distribución del dividendo o utilidad |
Porcentaje
aplicable al monto del dividendo o utilidad distribuido |
|
2017 |
1% |
|
2018 |
2% |
|
2019
en adelante |
5% |
Lo
dispuesto en esta fracción sólo será aplicable cuando los dividendos o
utilidades sean reinvertidos y distribuidos por personas morales que
identifiquen en su contabilidad los registros correspondientes a las utilidades
o dividendos generados en 2014, 2015 y 2016, así como las distribuciones
respectivas, y además, presenten en las notas de los estados financieros,
información analítica del periodo en el cual se generaron las utilidades, se
reinvirtieron y se distribuyeron como dividendos o utilidades. Las personas
morales también deberán presentar la información que, en su caso, establezca el
Servicio de Administración Tributaria mediante reglas de carácter general.
Las
personas morales cuyas acciones no se encuentren colocadas en bolsa de valores,
concesionadas en los términos de la Ley del Mercado de Valores, y apliquen el
estímulo a que se refiere esta disposición, deberán optar por dictaminar sus
estados financieros de conformidad con el artículo 32-A del Código Fiscal de la
Federación.
Las
personas morales que distribuyan dividendos o utilidades respecto de acciones
colocadas entre el gran público inversionista, deberán identificar e informar a
las casas de bolsa, a las instituciones de crédito, a las sociedades operadoras
de sociedades de inversión, a las personas que llevan a cabo la distribución de
acciones de sociedades de inversión, a las instituciones para el depósito de
valores que tengan en custodia y administración las acciones mencionadas, o a
cualquier otro intermediario del mercado de valores, los ejercicios de donde
provienen los dividendos para que dichos intermediarios realicen la retención
correspondiente.
El
estímulo fiscal a que se refiere la presente fracción no se considerará como
ingreso acumulable para efectos de esta Ley.
II. Se otorga el
siguiente estímulo fiscal a los contribuyentes que a continuación se señalan:
i) Quienes
tributen en los términos de los Títulos II o IV, Capítulo II, Sección I de esta
Ley, que hayan obtenido ingresos propios de su actividad empresarial en el
ejercicio inmediato anterior de hasta 100 millones de pesos.
Los
contribuyentes a que se refiere el párrafo anterior que inicien actividades,
podrán aplicar la deducción prevista en los apartados A o B de esta fracción,
según se trate, cuando estimen que sus ingresos del ejercicio no excederán del
límite previsto en el párrafo anterior. Si al final del ejercicio exceden del
límite previsto en el párrafo anterior, deberán cubrir el impuesto
correspondiente por la diferencia entre el monto deducido conforme a esta
fracción y el monto que se debió deducir en cada ejercicio en los términos de
los artículos 34 y 35 de esta Ley.
ii) Quienes
efectúen inversiones en la construcción y ampliación de infraestructura de
transporte, tales como, carretera, caminos y puentes.
iii) Quienes
realicen inversiones en las actividades previstas en el artículo 2, fracciones
II, III, IV y V de la Ley de Hidrocarburos, y en equipo para la generación,
transporte, distribución y suministro de energía.
El
estímulo consiste en efectuar la deducción inmediata de la inversión de bienes
nuevos de activo fijo, en lugar de las previstas en los artículos 34 y 35 de
esta Ley, deduciendo en el ejercicio en el que se adquieran los bienes, la
cantidad que resulte de aplicar al monto original de la inversión, únicamente
los por cientos que se establecen en esta fracción. La parte de dicho monto que
exceda de la cantidad que resulte de aplicar al mismo el por ciento que se
autoriza en esta fracción, será deducible únicamente en los términos de la
fracción III.
Los por
cientos que se podrán aplicar para deducir las inversiones a que se refiere
esta fracción, para los contribuyentes a que se refiere el inciso i) de está fracción, son los que a continuación se señalan:
|
|
%
deducción |
|
|
|
2016 |
2017 |
|
A. Los por cientos por tipo de bien serán: |
|
|
|
a) Tratándose de construcciones: |
|
|
|
1. Inmuebles declarados como monumentos
arqueológicos, artísticos, históricos o patrimoniales, conforme a la Ley
Federal sobre Monumentos y Zonas Arqueológicos, Artísticos e Históricos, que
cuenten con el certificado de restauración expedido por el Instituto Nacional
de Antropología e Historia o el Instituto Nacional de Bellas Artes y
Literatura. |
85% |
74% |
|
2. Demás casos. |
74% |
57% |
|
b) Tratándose de ferrocarriles: |
|
|
|
1. Bombas de suministro de combustible a
trenes. |
63% |
43% |
|
2. Vías férreas. |
74% |
57% |
|
3. Carros de ferrocarril, locomotoras, armones
y autoarmones. |
78% |
62% |
|
4. Maquinaria niveladora de vías,
desclavadoras, esmeriles para vías, gatos de motor para levantar la vía, removedora, insertadora y
taladradora de durmientes. |
80% |
66% |
|
5. Equipo de comunicación, señalización y
telemando. |
85% |
74% |
|
c) Embarcaciones. |
78% |
62% |
|
d) Aviones dedicados a la aerofumigación
agrícola. |
93% |
87% |
|
e) Computadoras personales de escritorio y portátiles, servidores,
impresoras, lectores ópticos, graficadores,
lectores de código de barras, digitalizadores, unidades de almacenamiento
externo y concentradores de redes de cómputo. |
94% |
88% |
|
f) Dados, troqueles, moldes, matrices y herramental. |
95% |
89% |
|
g) Comunicaciones telefónicas: |
|
|
|
1. Torres de transmisión y cables, excepto los de fibra óptica. |
74% |
57% |
|
2. Sistemas de radio, incluye equipo de transmisión y manejo que utiliza
el espectro radioeléctrico, tales como el de radiotransmisión de microonda
digital o analógica, torres de microondas y guías de onda. |
82% |
69% |
|
3. Equipo utilizado en la transmisión, tales como circuitos de la planta
interna que no forman parte de la conmutación y cuyas funciones se enfocan
hacia las troncales que llegan a la central telefónica, incluye
multiplexores, equipos concentradores y ruteadores. |
85% |
74% |
|
4. Equipo de la central telefónica destinado a la conmutación de
llamadas de tecnología distinta a la electromecánica. |
93% |
87% |
|
5. Para los demás. |
85% |
74% |
|
h) Comunicaciones satelitales: |
|
|
|
1. Segmento satelital en el espacio, incluyendo el cuerpo principal del
satélite, los transpondedores, las antenas para la
transmisión y recepción de comunicaciones digitales y análogas, y el equipo
de monitoreo en el satélite. |
82% |
69% |
|
2. Equipo satelital en tierra, incluyendo las antenas para la
transmisión y recepción de comunicaciones digitales y análogas y el equipo
para el monitoreo del satélite. |
85% |
74% |
|
B. Para la maquinaria y equipo distintos de los señalados en el apartado
anterior, se aplicarán, de acuerdo a la actividad en la que sean utilizados,
los por cientos siguientes: |
|
|
|
a) En la generación, conducción, transformación y distribución de
electricidad; en la molienda de granos; en la producción de azúcar y sus
derivados; en la fabricación de aceites comestibles; y en el transporte
marítimo, fluvial y lacustre. |
74% |
57% |
|
b) En la producción de metal obtenido en primer proceso; en la
fabricación de productos de tabaco y derivados del carbón natural. |
78% |
62% |
|
c) En la fabricación de pulpa, papel y productos similares. |
80% |
66% |
|
d) En la fabricación de partes para vehículos de motor; en la
fabricación de productos de metal, de maquinaria y de instrumentos
profesionales y científicos; en la elaboración de productos alimenticios y de
bebidas, excepto granos, azúcar, aceites comestibles y derivados. |
82% |
69% |
|
e) En el curtido de piel y la fabricación de artículos de piel; en la
elaboración de productos químicos, petroquímicos y farmacobiológicos;
en la fabricación de productos de caucho y de plástico; en la impresión y
publicación gráfica. |
84% |
71% |
|
f) En el transporte eléctrico. |
85% |
74% |
|
g) En la fabricación, acabado, teñido y estampado de productos textiles,
así como de prendas para el vestido. |
86% |
75% |
|
h) En la industria minera. Lo dispuesto en este inciso no será aplicable
a la maquinaria y equipo señalados para la producción de metal obtenido en
primer proceso; en la fabricación de productos de tabaco y derivados del
carbón natural. |
87% |
77% |
|
i) En la transmisión de los servicios de comunicación
proporcionados por las estaciones de radio y televisión. |
90% |
81% |
|
j) En restaurantes. |
92% |
84% |
|
k) En la industria de la construcción; en actividades de agricultura,
ganadería, silvicultura y pesca. |
93% |
87% |
|
l) Para los destinados directamente a la investigación
de nuevos productos o desarrollo de tecnología en el país. |
95% |
89% |
|
m) En la manufactura, ensamble y transformación de componentes
magnéticos para discos duros y tarjetas electrónicas para la industria de la
computación. |
96% |
92% |
|
n) En la actividad del autotransporte público federal de carga o de
pasajeros. |
93% |
87% |
|
o) En otras actividades no especificadas en este apartado. |
85% |
74% |
Los por
cientos que se podrán aplicar para deducir las inversiones a que se refiere
esta fracción, para los contribuyentes a que se refieren los incisos ii) y iii) de esta fracción, son
los que a continuación se señalan:
|
|
%
deducción |
|
|
|
2016 |
2017 |
|
C. Los por cientos por tipo de bien serán: |
|
|
|
a) Construcciones
en carreteras, caminos, puertos, aeropuertos y ferrocarril y para la
generación, transporte, conducción, transformación, distribución y suministro
de energía. |
74% |
57% |
|
b) Tratándose
de ferrocarriles: |
|
|
|
1. Bombas de suministro de combustible a
trenes. |
63% |
43% |
|
2. Vías férreas. |
74% |
57% |
|
3. Carros de ferrocarril, locomotoras, armones
y autoarmones. |
78% |
62% |
|
4. Maquinaria niveladora de vías,
desclavadoras, esmeriles para vías, gatos de motor para levantar la vía, removedora, insertadora y
taladradora de durmientes. |
80% |
66% |
|
5. Equipo de comunicación, señalización y
telemando. |
85% |
74% |
|
c) Dados,
troqueles, moldes, matrices y herramental. |
95% |
89% |
|
d) Oleoductos,
gasoductos, terminales, y tanques de almacenamiento de hidrocarburos. |
85% |
74% |
|
D. Para la maquinaria y equipo distintos de los señalados en el apartado
anterior, se aplicarán, de acuerdo a la actividad en la que sean utilizados,
los por cientos siguientes: |
|
|
|
a) En la
generación, transporte, conducción, transformación, distribución y suministro
de energía. |
74% |
57% |
|
b) En la
construcción de ferrocarriles. |
82% |
69% |
|
c) En el
transporte eléctrico. |
85% |
74% |
|
d) En la
industria de la construcción de carreteras, caminos, puertos, y aeropuertos. |
93% |
87% |
En el
caso de que el contribuyente se dedique a dos o más actividades de las
señaladas en esta fracción, se aplicará el por ciento que le corresponda a la
actividad en la que hubiera obtenido la mayor parte de sus ingresos en el
ejercicio inmediato anterior a aquél en el que se realice la inversión.
La
opción a que se refiere esta fracción, no podrá ejercerse cuando se trate de
mobiliario y equipo de oficina, automóviles, equipo de blindaje de automóviles,
o cualquier bien de activo fijo no identificable individualmente ni tratándose
de aviones distintos de los dedicados a la aerofumigación
agrícola.
Para
los efectos de esta fracción, se consideran bienes nuevos los que se utilizan
por primera vez en México.
Los
contribuyentes que apliquen el estímulo fiscal previsto en esta fracción, para
efectos del artículo 14, fracción I de esta Ley, adicionarán a la utilidad
fiscal o reducirán de la pérdida fiscal del ejercicio por el que se calcule el
coeficiente, según sea el caso con el importe de la deducción a que se refiere
esta fracción.
Quienes
apliquen este estímulo, podrán disminuir de la utilidad fiscal determinada de
conformidad con el artículo 14, fracción III de esta Ley, el monto de la
deducción inmediata efectuada en el mismo ejercicio, en los términos de esta
fracción. El citado monto de la deducción inmediata, se deberá disminuir, por
partes iguales, en los pagos provisionales correspondientes al ejercicio fiscal
de que se trate, a partir del mes en que se realice la inversión. La
disminución a que refiere esta fracción se realizará en los pagos provisionales
del ejercicio de manera acumulativa. Para efectos de este párrafo, no se podrá
recalcular el coeficiente de utilidad determinado en los términos del artículo
14, fracción I de esta Ley.
Se
deberá llevar un registro específico de las inversiones por las que se tomó la
deducción inmediata en los términos previstos en esta fracción, anotando los
datos de la documentación comprobatoria que las respalde y describiendo en el
mismo el tipo de bien de que se trate, el por ciento que para efectos de la
deducción le correspondió, el ejercicio en el que se aplicó la deducción y la
fecha en la que el bien se dé de baja en los activos del contribuyente.
Para
los efectos del artículo 5 de la Ley del Impuesto al Valor Agregado, la
deducción inmediata establecida en esta fracción, se considera como erogación
totalmente deducible, siempre que se reúnan los requisitos establecidos en esta
Ley.
III. Los
contribuyentes que ejerzan la opción prevista en la fracción anterior, por los
bienes a los que la aplicaron, estarán a lo siguiente:
a) El monto
original de la inversión se podrá ajustar multiplicándolo por el factor de
actualización correspondiente al periodo comprendido desde el mes en el que se
adquirió el bien y hasta el último mes de la primera mitad del periodo que
transcurra desde que se efectuó la inversión y hasta el cierre del ejercicio de
que se trate.
El
producto que resulte conforme al párrafo anterior, se considerará como el monto
original de la inversión al cual se aplica el por ciento a que se refiere la
fracción anterior por cada tipo de bien.
b) Considerarán
ganancia obtenida por la enajenación de los bienes, el total de los ingresos
percibidos por la misma.
c) Cuando los
bienes se enajenen, se pierdan o dejen de ser útiles, se podrá efectuar una
deducción por la cantidad que resulte de aplicar, al monto original de la
inversión ajustado con el factor de actualización correspondiente al periodo
comprendido desde el mes en el que se adquirió el bien y hasta el último mes de
la primera mitad del periodo en el que se haya efectuado la deducción señalada
en la fracción anterior, los por cientos que resulten conforme al número de
años transcurridos desde que se efectuó la deducción de la fracción anterior
citada y el por ciento de deducción inmediata aplicado al bien de que se trate,
conforme a lo siguiente:
Para
los contribuyentes a que se refiere el inciso i) de la fracción II, aplicarán
respectivamente para 2016 y 2017, las siguientes tablas.
TABLA


Para los contribuyentes a que se refieren los incisos ii) y iii) de la fracción II,
aplicarán respectivamente para 2016 y 2017, las siguientes tablas
TABLAS


Para
los efectos de esta fracción, cuando sea impar el número de meses del periodo a
que se refieren los incisos a) y c) de esta fracción, se considerará como
último mes de la primera mitad el mes inmediato anterior al que corresponda la
mitad del periodo.
IV. La deducción
prevista en la fracción II, únicamente será aplicable en los ejercicios
fiscales de 2016 y 2017, conforme a los porcentajes previstos en dicha
fracción.
Los
contribuyentes a que se refiere la citada fracción II, podrán aplicar la
deducción por las inversiones que efectúen entre el 1 de septiembre y el 31 de
diciembre de 2015, en los términos previstos en dicha fracción para el
ejercicio 2016, al momento de presentar la declaración anual del ejercicio
fiscal de 2015.
Para
los efectos del artículo 14, fracción I de la Ley del Impuesto sobre la Renta,
los contribuyentes que en el ejercicio 2017 apliquen la deducción inmediata de
la inversión de bienes nuevos de activo fijo, deberán calcular el coeficiente
de utilidad de los pagos provisionales que se efectúen durante el ejercicio
2018, adicionando la utilidad fiscal o reduciendo la pérdida fiscal del
ejercicio 2017, según sea el caso, con el importe de la deducción a que se
refiere la fracción II.
………
Transitorio
Único. El presente Decreto entrará en vigor el 1 de
enero de 2016.
México, D.F., a 29 de octubre de 2015.- Sen. Roberto Gil Zuarth, Presidente.- Dip. José
de Jesús Zambrano Grijalva, Presidente.- Sen. Hilda Esthela
Flores Escalera, Secretaria.- Dip. Ana Guadalupe Perea
Santos, Secretaria.- Rúbricas."
En cumplimiento de lo dispuesto por la fracción I del
Artículo 89 de la Constitución Política de los Estados Unidos Mexicanos, y para
su debida publicación y observancia, expido el presente Decreto en la
Residencia del Poder Ejecutivo Federal, en la Ciudad de México, Distrito
Federal, a trece de noviembre de dos mil quince.- Enrique Peña Nieto.- Rúbrica.- El Secretario de Gobernación, Miguel Ángel Osorio Chong.-
Rúbrica.
DECRETO
por el que se reforman, adicionan y derogan diversas disposiciones de la Ley
del Impuesto sobre la Renta, de la Ley del Impuesto al Valor Agregado, del Código
Fiscal de la Federación y de la Ley Federal del Impuesto sobre Automóviles
Nuevos.
Publicado
en el Diario Oficial de la Federación el 30 de noviembre de 2016
LEY DEL IMPUESTO SOBRE
LA RENTA
Artículo
Primero.- Se reforman los artículos 27, fracción VIII,
primer párrafo; 28, fracción XIII, tercer párrafo; 35, fracciones III y VI; 36,
fracción II, primer párrafo; 76, fracción IX, segundo párrafo; 80, séptimo
párrafo; 82, fracción V; 86, quinto párrafo; 151, fracciones I, primer párrafo
y V, segundo párrafo; 190, y se adicionan
los artículos 16, con un tercer y cuarto párrafos pasando los actuales tercero
y cuarto párrafos a ser quinto y sexto párrafos, respectivamente; 27, fracción
V con un tercer párrafo; 34, con una fracción XIV; 79, fracción XXV con un
inciso j); 82, fracciones VI con un segundo párrafo, y IX; 82-Bis; 82-Ter; 90,
con un quinto y sexto párrafos pasando los actuales quinto a décimo párrafos a
ser séptimo a décimo segundo párrafos, respectivamente; 111, con un último
párrafo; el Título VII con el Capítulo VIII, denominado “De la Opción de
Acumulación de Ingresos por Personas Morales”, comprendiendo los artículos 196,
197, 198, 199, 200 y 201; con el Capítulo IX, denominado “Del Estímulo Fiscal a
la Investigación y Desarrollo de Tecnología”, comprendiendo el artículo 202;
con el Capítulo X, denominado “Del Estímulo Fiscal al Deporte de Alto
Rendimiento”, comprendiendo el artículo 203, y con el Capítulo XI, denominado
“De los Equipos de Alimentación para Vehículos Eléctricos”, comprendiendo el
artículo 204, de la Ley del Impuesto sobre la Renta, para quedar como sigue:
………
DISPOSICIONES TRANSITORIAS DE LA LEY DEL
IMPUESTO SOBRE LA RENTA
Artículo
Segundo.- En relación con las
modificaciones a las que se refiere el Artículo Primero de este Decreto, se
estará a lo siguiente:
I. Lo dispuesto en
el artículo 82, fracción V, segundo párrafo de la Ley del Impuesto sobre la
Renta, que entrará en vigor a partir del 1 de enero de 2017 no será aplicable a
los contribuyentes que a más tardar el 31 de diciembre de 2016, se les haya
notificado el oficio de revocación o no renovación de la autorización para
recibir donativos deducibles conforme al artículo 82, cuarto párrafo de la Ley
del Impuesto sobre la Renta, y se encuentren sujetos al procedimiento descrito
en la regla 3.10.16. de la Resolución Miscelánea Fiscal para 2016 emitida por
el Servicio de Administración Tributaria.
II. Para efectos del artículo 86, quinto párrafo de la Ley
del Impuesto sobre la Renta, las dependencias públicas podrán cumplir con su
obligación de emitir comprobantes fiscales cuatro meses después de que haya
entrado en vigor dicha obligación.
Una vez
transcurrido el plazo previsto en el párrafo anterior, las dependencias
públicas tendrán la obligación de emitir el comprobante fiscal que corresponda
a las operaciones que efectuaron durante dicho periodo cuando así se solicite
por los receptores de dichos comprobantes.
El
Servicio de Administración Tributaria, mediante reglas de carácter general,
otorgará facilidades administrativas para el cumplimiento de esta obligación a
aquellas dependencias públicas cuyo domicilio se ubique en el listado de
poblaciones rurales sin acceso a Internet, contenido en el portal de dicho
órgano administrativo.
III. Los contribuyentes que a la entrada en vigor del presente Decreto se
encuentren tributando conforme a lo dispuesto en el Título II de la Ley del
Impuesto sobre la Renta, podrán optar por aplicar lo dispuesto en el Título
VII, Capítulo VIII de esta Ley, siempre que cumplan con los requisitos
contenidos en dicho Capítulo y presenten a más tardar el 31 de enero de 2017 un
aviso ante el Servicio de Administración Tributaria en el que señalen que
ejercerán dicha opción.
IV. Los contribuyentes que hasta el 31 de diciembre de 2016 tributen en los
términos del Título II de la Ley del Impuesto sobre la Renta y opten por
aplicar la opción prevista en el Título VII, Capítulo VIII de esta Ley, no
deberán efectuar la acumulación de los ingresos percibidos efectivamente
durante 2017, cuando dichos ingresos hayan sido acumulados hasta el 31 de
diciembre de 2016, de conformidad con el citado Título II.
V. Los contribuyentes que tributen en los términos del Título II de la Ley
del Impuesto sobre la Renta y opten por aplicar la opción prevista en el Título
VII, Capítulo VIII de dicha Ley, que hubieran efectuado las deducciones
correspondientes conforme al citado Título II, no podrán volver a efectuarlas
conforme al citado Capítulo VIII.
VI. Los
contribuyentes que al 31 de diciembre de 2016 tributen en los términos del
Título II de la Ley del Impuesto sobre la Renta y a partir del 1 de enero de
2017 apliquen la opción prevista en el Título VII, Capítulo VIII de la citada
Ley, deberán seguir aplicando los porcientos máximos de deducción de
inversiones que les correspondan de acuerdo con los plazos que hayan
trascurrido, respecto de las inversiones realizadas hasta el 31 de diciembre de
2016.
VII. Los
contribuyentes que a la entrada en vigor del presente Decreto, se encuentren
tributando conforme a lo dispuesto en el Título II de la Ley del Impuesto sobre
la Renta, y opten por aplicar lo dispuesto en el Título VII, Capítulo VIII de
la Ley del Impuesto sobre la Renta, que al 31 de diciembre de 2016 tengan
inventario de mercancías, materias primas, productos semiterminados
o terminados, y que a dicha fecha estén pendientes de deducir, deberán seguir
aplicando lo dispuesto en el Título II, Sección III de la Ley del Impuesto
sobre la Renta, hasta que se agote dicho inventario.
Respecto de las materias primas, productos semiterminados o terminados que adquieran a partir del 1 de
enero de 2017, les será aplicable lo dispuesto en el artículo 198 de esta Ley.
Para efectos de lo dispuesto en esta fracción se
considerará que lo primero que se enajena es lo primero que se había adquirido
con anterioridad al 1 de enero de 2017.
VIII.
El Comité Interinstitucional a que se refiere el
artículo 202 de la Ley del Impuesto sobre la Renta, dará a conocer dentro de
los 90 días naturales siguientes a la publicación del presente Decreto, las
reglas generales para el otorgamiento del estímulo.
IX. El Comité Interinstitucional a que se refiere el artículo 203 de la Ley
del Impuesto sobre la Renta, dará a conocer dentro de los 90 días naturales
siguientes a la publicación del presente Decreto, las reglas generales para el
otorgamiento del estímulo.
X. Lo dispuesto en la fracción IX del artículo 82 de la Ley del Impuesto
sobre la Renta, entrará en vigor a partir del 1 de enero de 2018.
XI. El Comité Interinstitucional a que se refiere
el artículo 190 de la Ley del Impuesto sobre la Renta, dará a conocer dentro de
los 120 días naturales contados a partir de la entrada en vigor del presente
Decreto, las reglas generales para el otorgamiento del estímulo aplicable a los
proyectos de inversión en la producción de artes visuales; danza; música
en los campos específicos de dirección de orquesta, ejecución instrumental y
vocal de la música de concierto, y jazz.
……….
Transitorio
Único. El presente Decreto entrará en vigor el 1 de
enero de 2017.
Ciudad de México, a 26 de octubre de 2016.- Dip. Edmundo Javier
Bolaños Aguilar, Presidente.- Sen. Pablo Escudero Morales, Presidente.- Dip. Raúl Domínguez Rex, Secretario.- Sen. Itzel S. Ríos
de la Mora, Secretaria.- Rúbricas."
En cumplimiento de lo dispuesto por la fracción I del
Artículo 89 de la Constitución Política de los Estados Unidos Mexicanos, y para
su debida publicación y observancia, expido el presente Decreto en la
Residencia del Poder Ejecutivo Federal, en la Ciudad de México, a veintiocho de
noviembre de dos mil dieciséis.- Enrique
Peña Nieto.- Rúbrica.- El Secretario de Gobernación, Miguel Ángel Osorio Chong.- Rúbrica.
DECRETO
por el que se reforman, adicionan y derogan diversas disposiciones de la Ley
del Impuesto sobre la Renta, de la Ley del Impuesto al Valor Agregado, de la
Ley del Impuesto Especial sobre Producción y Servicios y del Código Fiscal de
la Federación.
Publicado
en el Diario Oficial de la Federación el 9 de diciembre de 2019
LEY DEL IMPUESTO SOBRE
LA RENTA
Artículo
Primero.- Se reforman los artículos 2, segundo y
quinto párrafos; 3, primer párrafo, y fracción IV; 14, fracción II; 27,
fracciones V, primer párrafo y VI, primer párrafo; 28, fracciones XXIII y XXIX;
46, tercer párrafo; 106, actual último párrafo; 116, actual último párrafo;
158, quinto, sexto, séptimo y octavo párrafos; 167, fracción I; la denominación
del Título VI y la denominación de su Capítulo I; 176; 177; 178, segundo
párrafo; 183; 186; 187, fracción V; 189, primer párrafo y fracción I; 190, primer
y tercer párrafos y fracciones I y II; 202, fracción I; 203, primer párrafo; se
adicionan los artículos 2, con un
tercer y séptimo párrafos, pasando los actuales tercero a quinto párrafos a ser
cuarto a sexto párrafos y los actuales sexto a noveno párrafos a ser octavo a
décimo primer párrafos; 3, con un segundo y tercer párrafos; 4-A; 4-B; 5, con
un último párrafo; 28 con una fracción XXXII; 74-B; 96-Bis; 106, con un último
párrafo; 111, con una fracción VI; el Título IV, Capítulo II, con una Sección III
denominada “De los ingresos por la enajenación de bienes o la prestación de
servicios a través de Internet, mediante plataformas tecnológicas, aplicaciones
informáticas y similares”, comprendiendo los artículos 113-A, 113-B y 113-C;
116, con un último párrafo; 118, fracción III, con un segundo y tercer
párrafos; 167, con una fracción III; 183-Bis; 187, con una fracción IX; 189,
con un último párrafo; 190, fracción II, con un segundo y tercer párrafos; 205
y se derogan los artículos 27,
fracción V, tercer párrafo; 28, fracción XXXI; 202, sexto párrafo y 203, quinto
párrafo, de la Ley del Impuesto sobre la Renta, para quedar como sigue:
……….
DISPOSICIONES TRANSITORIAS DE LA LEY DEL
IMPUESTO SOBRE LA RENTA
Artículo
Segundo.- En relación con las
modificaciones a las que se refiere el Artículo Primero de este Decreto, se
estará a lo siguiente:
I. Las
personas morales de derecho agrario que al 31 de diciembre de 2019 tributen en
los términos del Título II de la Ley del Impuesto sobre la Renta y cumplan con
los requisitos a que se refiere el artículo 74-B de dicha Ley, podrán optar por
aplicar lo dispuesto en el citado artículo siempre que presenten, a más tardar
el 31 de enero de 2020, un aviso ante el Servicio de Administración Tributaria
en los términos que para tales efectos se establezcan mediante reglas de
carácter general, en el que manifiesten que aplicarán lo dispuesto en dicho
artículo.
Las
personas morales de derecho agrario a que se refiere esta fracción deberán
estar a lo siguiente:
a) No deberán
efectuar la acumulación de los ingresos que perciban efectivamente a partir del
1 de enero de 2020, cuando dichos ingresos hayan sido acumulados hasta el 31 de
diciembre de 2019, de conformidad con el Título II, Capítulo I de la Ley del
Impuesto sobre la Renta.
b) Las
deducciones que hubieran efectuado al 31 de diciembre de 2019, conforme al
Título II, Capítulo II, Sección I de la Ley del Impuesto sobre la Renta, no se
podrán volver a deducir a partir del ejercicio en el que opten por aplicar lo
dispuesto en el artículo 74-B de la Ley del Impuesto sobre la Renta.
c) En caso de
que al 31 de diciembre de 2019, tengan inventario de mercancías, materias
primas, productos semiterminados o terminados, y que
a dicha fecha estén pendientes de deducir, deberán seguir aplicando lo
dispuesto en el Título II, Capítulo II, Sección III de la Ley del Impuesto
sobre la Renta, hasta que se agote dicho inventario.
Para
efectos de lo dispuesto en este inciso se considerará que lo primero que se
enajena es lo primero que se había adquirido con anterioridad al 1 de enero de
2020.
II. La
Secretaría de Hacienda y Crédito Público podrá, mediante reglas de carácter
general, implementar un esquema que permita facilitar el cumplimiento de las
obligaciones fiscales de las personas físicas que realicen actividades
empresariales con el público en general como vendedores independientes de
productos al menudeo por catálogo o similares.
III. La Sección
III, denominada “De los ingresos por la enajenación de bienes o la prestación
de servicios a través de Internet, mediante plataformas tecnológicas,
aplicaciones informáticas y similares”, del Capítulo II del Título IV de la Ley
del Impuesto sobre la Renta, entrará en vigor a partir del 1 de junio de 2020.
El
Servicio de Administración Tributaria emitirá las reglas de carácter general a
que se refiere la Sección III del Capítulo mencionado en el párrafo anterior, a
más tardar el 31 de enero de 2020.
IV. Los
contribuyentes personas físicas que al 31 de diciembre de 2019, tributen en los
términos de la Sección II del Capítulo II del Título IV de la Ley del Impuesto
sobre la Renta, deberán aplicar lo dispuesto en el artículo 111, fracción VI de
la Ley del Impuesto sobre la Renta.
No
obstante lo dispuesto en el párrafo anterior, y hasta en tanto entren en vigor
las disposiciones a que hace referencia la fracción III de este artículo,
dichos contribuyentes deberán pagar el impuesto sobre la renta por dichos
ingresos conforme a la Sección II del Capítulo II del Título IV de la Ley del
Impuesto sobre la Renta.
V. Los
contribuyentes personas físicas distintas a las que se refiere la fracción
anterior, que a partir del 1 de enero de 2020, perciban ingresos por la
enajenación de bienes o la prestación de servicios a través de Internet,
mediante plataformas tecnológicas, aplicaciones informáticas y similares, y
hasta en tanto entren en vigor las disposiciones a que hace referencia la
fracción III de este artículo, deberán pagar el impuesto sobre la renta por
dichos ingresos conforme a la Sección I del Capítulo II del Título IV de la Ley
del Impuesto sobre la Renta.
VI. Para los
efectos de lo dispuesto en el artículo 113-B, inciso d) de la Ley del Impuesto
sobre la Renta, las personas físicas que a la fecha de entrada en vigor de las
disposiciones a que se refiere la fracción III de las presentes disposiciones
Transitorias ya estén recibiendo ingresos por las actividades celebradas
mediante plataformas tecnológicas, aplicaciones informáticas y similares,
deberán presentar el aviso a más tardar el 30 de junio de 2020.
VII. Para los
efectos de lo dispuesto en el artículo 113-C, fracción II de la Ley del
Impuesto sobre la Renta, durante 2020 los residentes en el extranjero sin
establecimiento permanente en el país, así como las entidades o figuras jurídicas
extranjeras, en sustitución del comprobante fiscal a que se refiere dicha
fracción, podrán expedir un comprobante de la retención efectuada que reúna los
requisitos que establezca el Servicio de Administración Tributaria mediante
reglas de carácter general que permitan identificar, entre otros aspectos, el
monto, concepto, el tipo de operación y el Registro Federal de Contribuyentes
de la persona a la que se le retiene el impuesto.
VIII. Para los
efectos del cuarto párrafo del artículo 113-A de la Ley del Impuesto sobre la
Renta, la primera actualización de las cantidades en moneda nacional de las
tablas previstas en dicho artículo, deberá realizarse en la fecha en que se
actualicen las cantidades en moneda nacional de la tarifa contenida en el artículo
152 de la citada Ley.
IX. Los
residentes en el extranjero sin establecimiento permanente en el país que
realicen actividades de maquila a través de empresas con programas de maquila
bajo la modalidad de albergue de conformidad con lo previsto en el artículo 183
de la Ley del Impuesto sobre la Renta vigente hasta el 31 de diciembre de 2019,
que a la entrada en vigor del presente Decreto se encuentren dentro del periodo
de aplicación de 4 años a que se refiere el último párrafo de dicho artículo,
podrán seguir aplicando lo dispuesto en el referido artículo hasta que concluya
el periodo referido. Cuando se agote el periodo mencionado deberán aplicar lo
dispuesto en los artículos 183 y 183-Bis de la Ley del Impuesto sobre la Renta
vigente a partir del 1 de enero de 2020, a partir del mes siguiente al en que
concluyan los 4 años.
X. Para
efectos del artículo 187 de la Ley del Impuesto sobre la Renta, los
certificados de participación que hayan sido adquiridos por un grupo de
inversionistas integrado por al menos diez personas, que no sean partes
relacionadas entre sí, en el que ninguna de ellas en lo individual hubiera sido
propietaria de más del 20% de la totalidad de los certificados de participación
emitidos, que al 31 de diciembre de 2019, hubieran aplicado el estímulo
establecido en el artículo 187 de la Ley del Impuesto sobre la Renta que se
abroga, estarán a lo siguiente:
1. Los
fideicomitentes que aportaron bienes inmuebles al fideicomiso, acumularán la
ganancia por la enajenación de los bienes aportados, cuando se actualice
cualquiera de los siguientes supuestos:
a) Enajenen los
certificados de participación obtenidos por su aportación al fideicomiso, en la
proporción que dichos certificados representen del total de los certificados
que recibió el tenedor por la aportación del inmueble al fideicomiso, siempre
que no se hubiera acumulado dicha ganancia previamente.
b) El
fideicomiso enajene los bienes aportados, en la proporción que la parte que se
enajene represente de los mismos bienes, siempre que no se hubiera acumulado
dicha ganancia previamente.
Si al 31
de diciembre de 2021 no se han dado los supuestos a que se refieren los incisos
anteriores, los tenedores de los certificados a que se refiere este numeral
deberán acumular la totalidad de la ganancia por la enajenación de los bienes
aportados que no se haya acumulado previamente, debiendo actualizar el impuesto
que corresponda a la ganancia por la enajenación de los citados bienes, desde
la aportación de los mismos y hasta que se presente la declaración anual
correspondiente al ejercicio de 2021.
2. El impuesto
correspondiente a la ganancia a que se refiere el primer párrafo del numeral
anterior, se actualizará desde la aportación de los bienes inmuebles y hasta el
mes en el que se acumule.
XI. Las
referencias que otras disposiciones, ordenamientos, reglamentos o acuerdos
hagan al artículo 106, último párrafo de la Ley del Impuesto sobre la Renta, se
entenderán referidas al artículo 106, penúltimo párrafo, del mismo
ordenamiento; en tanto que las que se hagan al artículo 116, último párrafo, de
la Ley del Impuesto sobre la Renta, se entenderán referidas al artículo 116,
penúltimo párrafo, del mismo ordenamiento.
XII. Los artículos
4-A y 205 de la Ley del Impuesto sobre la Renta entrarán en vigor el 1 de enero
de 2021.
XIII. Las Entidades
Federativas adheridas al Sistema Nacional de Coordinación Fiscal en las que se
enajenen bienes inmuebles y que por dichas operaciones se cause el impuesto a
que se refiere el artículo 126 de la Ley del Impuesto sobre la Renta, podrán
recibir como incentivo el 100% de la recaudación neta del citado impuesto, que
se hubiera causado por las enajenaciones realizadas en la Entidad Federativa de
que se trate, siempre que celebren convenio de colaboración administrativa en
materia fiscal federal, en los términos establecidos en el Capítulo III de la
Ley de Coordinación Fiscal. La recaudación de este impuesto no formará parte de
la recaudación federal participable a que se refiere el artículo 2o. de la Ley
de Coordinación Fiscal.
Las
Entidades Federativas deberán participar cuando menos el 20% del incentivo
señalado en el párrafo anterior, a sus municipios o demarcaciones territoriales
que se distribuirá entre ellos en la forma que determine la legislatura
respectiva.
……….
Transitorio
Único. El presente Decreto entrará en vigor el 1 de
enero de 2020.
Ciudad de México, a 30 de octubre de 2019.- Sen. Mónica
Fernández Balboa, Presidenta.- Dip. Laura Angélica Rojas Hernández,
Presidenta.- Sen. Citlalli Hernández Mora, Secretaria.- Dip. Lizbeth Mata Lozano, Secretaria.-
Rúbricas.”
En cumplimiento de lo dispuesto por la fracción I del
Artículo 89 de la Constitución Política de los Estados Unidos Mexicanos, y para
su debida publicación y observancia, expido el presente Decreto en la
Residencia del Poder Ejecutivo Federal, en la Ciudad de México, a 6 de
diciembre de 2019.- Andrés
Manuel López Obrador.-
Rúbrica.- La Secretaria de Gobernación, Dra. Olga María del Carmen Sánchez
Cordero Dávila.- Rúbrica.
DECRETO
por el que se reforman, adicionan y derogan diversas disposiciones de la Ley
del Impuesto sobre la Renta, de la Ley del Impuesto al Valor Agregado y del
Código Fiscal de la Federación.
Publicado
en el Diario Oficial de la Federación el 8 de diciembre de 2020
LEY DEL IMPUESTO SOBRE LA RENTA
Artículo Primero. Se reforman
los artículos 79, fracciones VIII, XI, XVII, XIX, XX y segundo párrafo; 82,
fracciones IV, V, segundo y tercer párrafos, y VI; 113-A, tercer párrafo,
fracciones I, II y III, y 182, tercer párrafo; se adicionan los artículos 80, con un octavo párrafo; 82, fracción V,
con un cuarto párrafo, y 82-Quáter, 94,
con un séptimo párrafo, y 113-D, y se derogan
los artículos 27, fracción I, inciso f); 82-Ter; 84, y 151, fracción III,
inciso f), de la Ley del Impuesto sobre la Renta, para quedar como sigue:
……..
DISPOSICIONES
TRANSITORIAS DE LA LEY DEL IMPUESTO SOBRE LA RENTA
Artículo Segundo.
En relación con las modificaciones a las que se refiere el artículo Primero de
este Decreto, se estará a lo siguiente:
I. Cuando a la
fecha de su entrada en vigor las personas morales mencionadas en las fracciones
XI, XVII, XIX y XX del artículo 79 de la Ley del Impuesto sobre la Renta, no
cuenten con autorización para recibir donativos deducibles, a partir de esa
fecha deberán tributar en los términos del Título II de la citada Ley. No
obstante, deberán determinar el remanente distribuible generado al 31 de
diciembre de 2020 en los términos del Título III de la Ley del Impuesto sobre
la Renta vigente hasta esta última fecha, y sus socios e integrantes acumularán
el remanente que las personas morales mencionadas les entreguen en efectivo o
en bienes.
II.
La reforma a las fracciones XI, XVII, XIX y XX del artículo 79 de la Ley del
Impuesto sobre la Renta entrará en vigor el 1 de julio de 2021.
………
Transitorio
Único. El presente Decreto entrará en vigor el 1 de enero de 2021.
Ciudad de México, a 5 de noviembre de 2020.- Sen. Eduardo Ramírez
Aguilar, Presidente.- Dip. Dulce María Sauri Riancho, Presidenta.- Sen. Lilia Margarita
Valdez Martínez, Secretaria.- Dip. Martha Hortencia
Garay Cadena, Secretaria.- Rúbricas."
En cumplimiento de lo dispuesto por la fracción I del
Artículo 89 de la Constitución Política de los Estados Unidos Mexicanos, y para
su debida publicación y observancia, expido el presente Decreto en la
Residencia del Poder Ejecutivo Federal, en la Ciudad de México, a 2 de diciembre de 2020.- Andrés
Manuel López Obrador.-
Rúbrica.- La Secretaria de Gobernación, Dra. Olga María del Carmen Sánchez
Cordero Dávila.- Rúbrica.
DECRETO por el que se reforman, adicionan y
derogan diversas disposiciones de
Publicado
en el Diario Oficial de la Federación el 23 de abril de 2021
Artículo Quinto. Se adiciona un tercer
párrafo a la fracción V del artículo 27 y la fracción XXXIII al artículo 28, de
………
Transitorios
Primero. El presente Decreto entrará
en vigor el día siguiente al de su publicación en el Diario Oficial de
Segundo. Dentro de los 30 días
naturales siguientes a la entrada en vigor del presente Decreto,
Tercero. A la fecha de entrada en
vigor del presente Decreto, las personas físicas o morales que presten
servicios de subcontratación, deberán obtener el registro ante
Cuarto. Para fines de lo dispuesto
en el párrafo tercero del artículo 41 de
Quinto. Aquellos patrones que, en
términos del segundo párrafo del artículo 75 de
Una vez concluido dicho
plazo, aquellos registros patronales por clase que no hayan sido dados de baja,
serán dados de baja por el Instituto Mexicano del Seguro Social.
Sexto. Las personas físicas o
morales que presten servicios especializados o ejecuten obras especializadas,
deberán empezar a proporcionar la información a que se refieren las fracciones
I y II del artículo
Séptimo. Para efectos de
En estos supuestos aplicarán
las siguientes reglas, para efectos de la determinación de la clase, fracción y
prima del Seguro de Riesgos de Trabajo:
1.- La empresa que absorba a los trabajadores
deberá auto clasificarse conforme a los criterios que se establecen en los
artículos 71, 73 y 75 de
2.- Tratándose de una empresa que absorba a los
trabajadores de otra u otras empresas, con la misma o distintas clases, y que
en virtud de ello deban ajustar su clasificación a las nuevas actividades que
llevará a cabo; la clase y fracción se determinará atendiendo a los riesgos
inherentes a la actividad de la negociación de que se trate y la prima se
obtendrá de aplicar el procedimiento siguiente:
a) Por cada registro patronal, tanto de la
empresa que absorbe como de la otra u otras empresas a sustituir, se
multiplicará la prima asignada por el total de los salarios base de cotización
de los trabajadores comprendidos en el mismo. El salario base de cotización a
considerar, será el del mes previo al que se comunique la sustitución al Instituto.
b) Se sumarán los productos obtenidos conforme
al inciso anterior y el resultado se dividirá entre la suma de los salarios
base de cotización del total de los trabajadores comprendidos en todos los
registros patronales.
c) La prima así obtenida se aplicará al registro
patronal de la empresa que absorbe a los trabajadores y estará vigente hasta el
último día del mes de febrero posterior a la sustitución.
d) Para efectos de la determinación de la prima
del ejercicio siguiente, la empresa que absorbe a los trabajadores deberá
considerar los riesgos de trabajo terminados que les hubiesen ocurrido a dichos
trabajadores en el ejercicio correspondiente.
Lo anterior, siempre y
cuando las empresas que se pretendan sustituir hayan estado correctamente clasificadas
conforme a los riesgos inherentes a la actividad de la o las negociaciones de
que se trataban y a las disposiciones normativas aplicables, en caso contrario
deberán cotizar a la prima media de la clase que les corresponda.
Las empresas que cuenten a
la fecha de la entrada en vigor de las presentes disposiciones con un Convenio
de Subrogación de Servicios Médicos con Reversión de Cuotas vigente, y que en
términos de estas disposiciones lleven a cabo una sustitución patronal, no
serán objeto de modificación de las condiciones pactadas en el mismo. Vencido
el plazo de 90 días naturales aplicarán las reglas previstas tanto en
Octavo. Dentro del plazo de 60 días
naturales contados a partir de la entrada en vigor del presente Decreto, el
Instituto del Fondo Nacional de
Las personas físicas o
morales que presten servicios especializados o ejecuten obras especializadas,
deberán empezar a proporcionar la información a que se refiere el inciso f) del
artículo 29 Bis, una vez que
Noveno. Las conductas delictivas que
hayan sido cometidas con anterioridad a la entrada en vigor del presente
Decreto serán sancionadas de conformidad con la legislación vigente al momento
de la comisión de los hechos.
Décimo. Las dependencias y entidades
de
Ciudad de México, a 20 de
abril de 2021.- Dip. Dulce María Sauri Riancho, Presidenta.- Sen. Oscar Eduardo
Ramírez Aguilar, Presidente.- Dip. Julieta Macías Rábago,
Secretaria.- Sen. Lilia Margarita Valdez Martínez, Secretaria.- Rúbricas."
En cumplimiento de lo
dispuesto por la fracción I del Artículo 89 de